Algebra I Practice and Solutions
This content provides practice questions and solutions for Algebra I topics including simplifying expressions, finding quotients, solving equations, and more. Each question is accompanied by an answer with detailed explanations. Enhance your algebra skills and master key concepts with these guided exercises.
Download Presentation

Please find below an Image/Link to download the presentation.
The content on the website is provided AS IS for your information and personal use only. It may not be sold, licensed, or shared on other websites without obtaining consent from the author.If you encounter any issues during the download, it is possible that the publisher has removed the file from their server.
You are allowed to download the files provided on this website for personal or commercial use, subject to the condition that they are used lawfully. All files are the property of their respective owners.
The content on the website is provided AS IS for your information and personal use only. It may not be sold, licensed, or shared on other websites without obtaining consent from the author.
E N D
Presentation Transcript
Practice Add 3 2 +
Question 1.1 Simplify. Write answer without negative exponents. Assume all variables represent nonzero real numbers. (3 ) (3 ) (3 x 2 1 5 2 x x 1 2 2 )
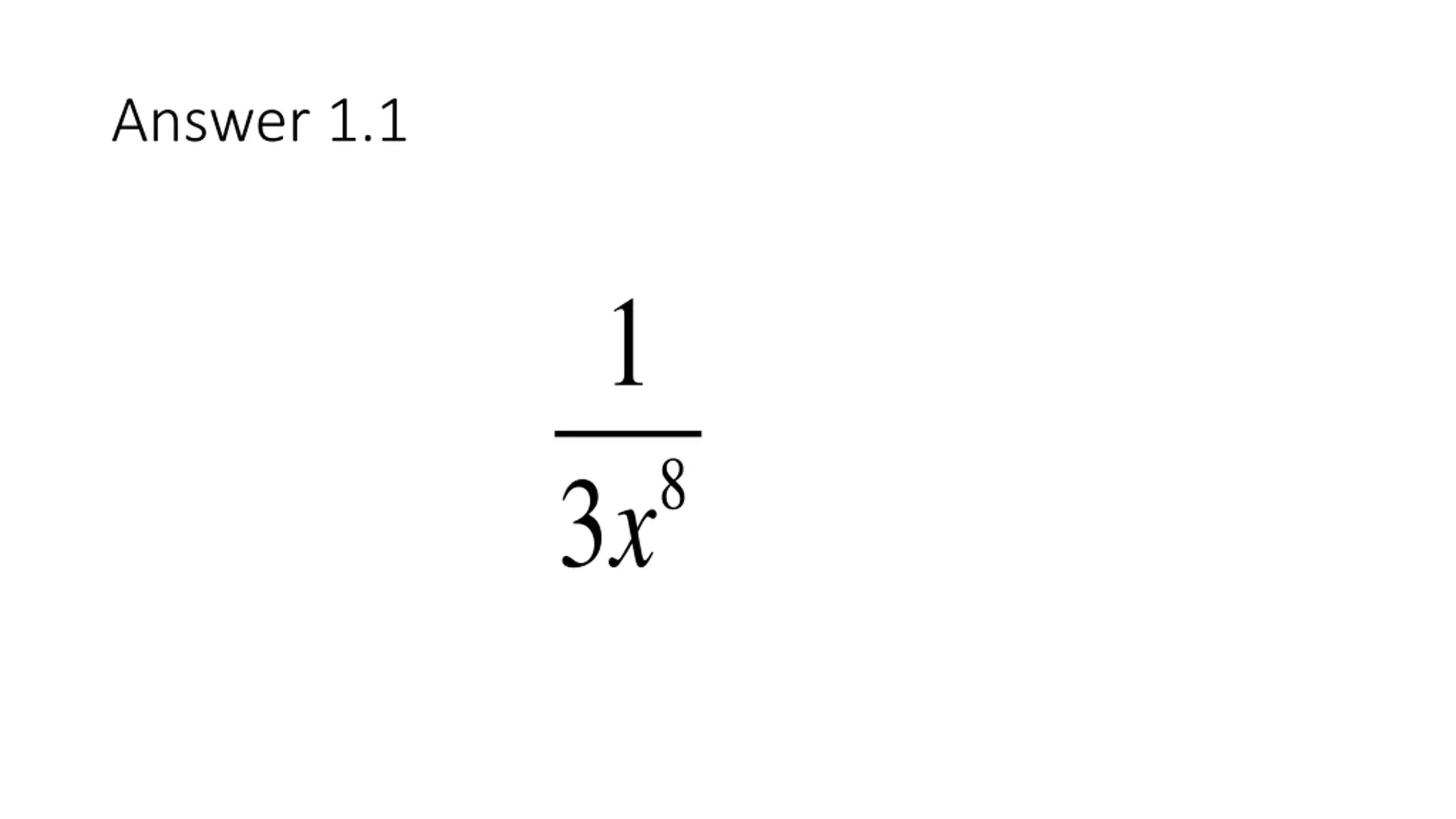
Answer 1.1 1 8 3x
Question 1.2 Find Quotient. Write answer in standard form 6 2 1 2 i + + i
Question 1.2 Answer 2 2i
Question 1.3 Simplify 1 i 12
Question 1.4 Solve x+ = 2 (4 1) 20
Question 1.4 Answer 1 2 5 4
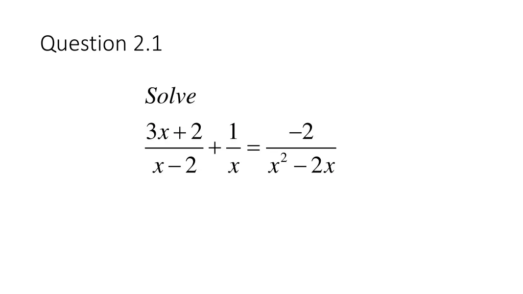
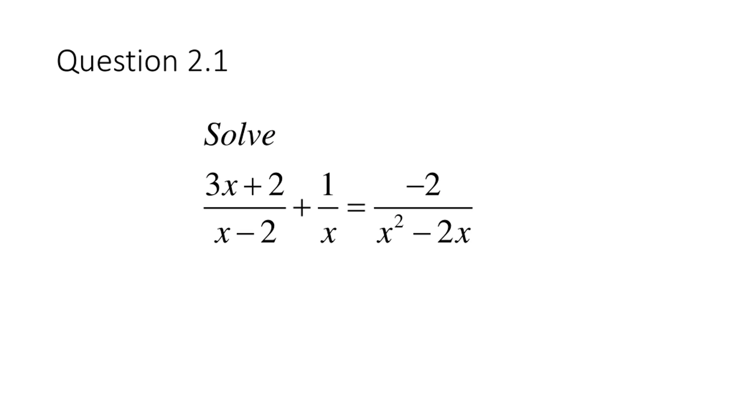
Question 2.1 Solve x x + 3 2 2 1 x 2 + = 2 2 x x
Question 2.2 Solve. Give the solution set in interval notation .01 1 .01 x+
Question 2.2 Answer ( 101, 99)
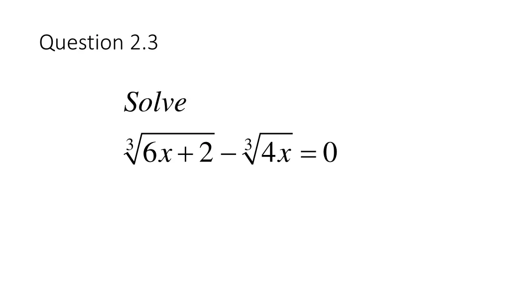
Question 2.3 Solve + = 3 3 6 2 4 0 x x
Question 2.4 Find the distance between P(-8,4) and Q(3,-2)
Question 3.1 Find the center of circle x 6 x y + + + = 2 2 10 18 0 y
Question 3.1 Answer (3, 5)
Question 3.2 4 Let f(x)=2x-1 and g(x)= x 1 Find (f g)(2)
Question 3.3 + 2 Find a value of c so that y=x has exactly one x-intercept. 10 c x
Question 3.4 Find all rational zeros of function f(x)=8x 14 x + 4 3 2 29 4 3 x x
Question 3.4 Answer 1 4 1 2 3, 1, ,
Question 4.1 If a line has slope a, what is the slope of its reflection across the line y=x?
Question 4.2 Solve 4 3 = x 81
Question 4.3 Solve the system of equations 2x-5y+3z=-1 x+4y-2z=9 -x+2y+4z=5
Question 4.3 Answer (3,2,1)
Question 4.4 5 2 2 1 1 Find A if A=
Question 4.4 Answer 1 2 2 5
Extra 1 Consider the arithmetic sequence -9,-5,-1,3,7,... Evaluate S 12
Extra 1 Answer 156
Extra 2 In how many ways can 6 students be seated in arow of 6 desks?
Extra 2 Answer 720