
Analysis of Physical and Cognitive Measures with Covariates
Explore the relationship between physical and cognitive measures while considering covariates and random effects. The analysis includes sex covariates, physical and cognitive constructs, specific measures, and various assessments such as grip strength, gait performance, and cognitive tests.
Download Presentation

Please find below an Image/Link to download the presentation.
The content on the website is provided AS IS for your information and personal use only. It may not be sold, licensed, or shared on other websites without obtaining consent from the author. If you encounter any issues during the download, it is possible that the publisher has removed the file from their server.
You are allowed to download the files provided on this website for personal or commercial use, subject to the condition that they are used lawfully. All files are the property of their respective owners.
The content on the website is provided AS IS for your information and personal use only. It may not be sold, licensed, or shared on other websites without obtaining consent from the author.
E N D
Presentation Transcript
b1_sex_covariateSet_physicalConstruct_cognitiveConstruct_physicalMeasure_cognitiveMeasureb1_sex_covariateSet_physicalConstruct_cognitiveConstruct_physicalMeasure_cognitiveMeasure noCog global knowledge reasoning executive speed memory fluency walking 1 intercept + linear 2 intercept + linear + quadratic empty a ae aeh aehplus full noPhys pulmonary walking muscle chair flamingo tug summary noCogSpec noCogM none Animals mmse clock digitsymbol proserecall noPhysSpec noPhysM none grip pek gait hand fvc univariate bivariate Random terms 0 - intercept
b1-sex-covariateSet-physicalMeasure-cognitiveMeasure 0 a ae aeh aehplus full 1 intercept + linear 2 intercept + linear + quadratic univariate bivariate nophys grip gait fev pef nocog animals mmse clock digitsymbol proserecall Random terms 0 - intercept
b1_sex_covariateset_physical_cognitive_physicalSpecific_cognitiveSpecificb1_sex_covariateset_physical_cognitive_physicalSpecific_cognitiveSpecific Covariate Physical Cognitive Physical Specific Cognitive Specific _empty _age _ae _aeh _aehplus _full _noPhys _pulmonary _walking _muscle _chair _flamingo _tug _summary _noCog _global _knowledge _reasoning _executive _speed _memory _fluency _noPhysSpec _noCogSpec univariate bivariate Random terms 0 - intercept 1 intercept + linear 2 intercept + linear + quadratic
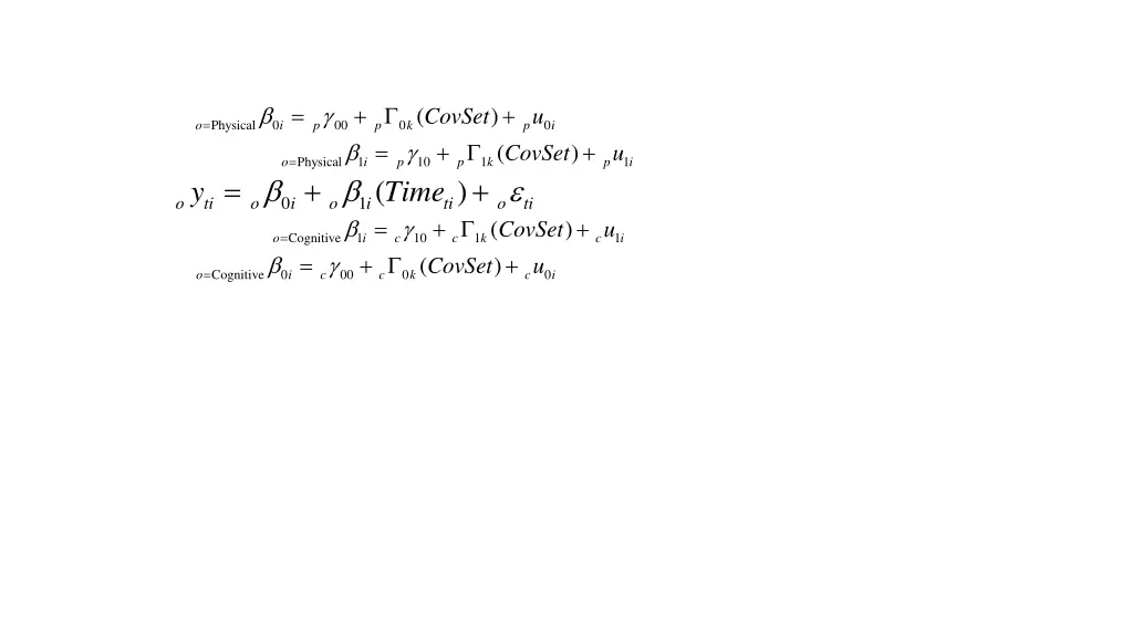
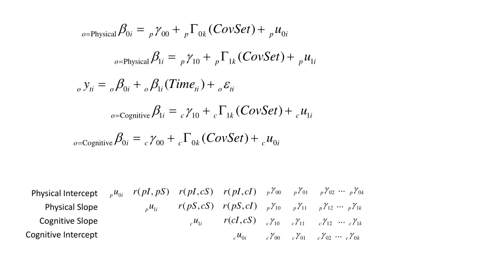
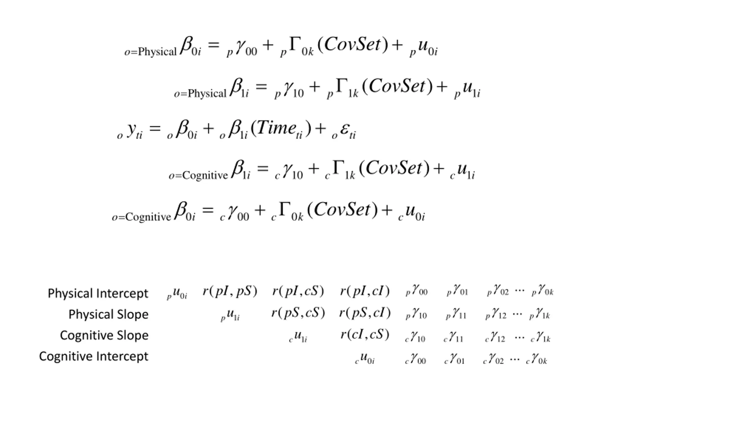
= + + ( ) CovS t e u = Physical 1 10 1 1 o i p = p k p i + = Physical 1 10 o i p = = + + + + ( ( ) ) Cov Cov Set Set u u = Physical 0 00 0 0 o i p p k p i = Physical 1 10 1 1 o i p p k p i = + + CovSet 1( i = ) y Time 0 o ti o i o t i o ( t i + + ) u = Cognitive 1 10 1 1 o i c c k c i = + + ( ) CovSet u = Cognitive 0 00 0 0 o i c c k c i Fixed Effects Random Effects Residuals ... Physical Intercept Physical Slope Cognitive Slope 00 01 02 0 p p p p k 00 01 01 00 pp pp pc pc p pc ... 11 11 10 pp p c pc 10 11 12 1 p p p p k ... ... 1 1 10 cc cc 10 11 12 1 c c c c k c Cognitive Intercept 00 cc 00 01 02 0 c c c c k Red - #d7191c, 215,25,28 Blue - #2c7bb6, 44,123,182 Copper- #fdae61, 253,174,97
Random Effects female male 00 01 01 00 00 01 01 00 pp pp pc pc pp pp pc pc 11 11 10 11 11 10 pp p c pc pp p c pc 1 1 10 1 1 10 cc cc cc cc 00 00 cc cc Residuals female male 2 2 2 2 p pc p pc 2 2 c c
= + + ( CovSet ( ) CovSet + u = Physical 0 00 0 0 o i p p = k p i + ) u = Physical 1 10 1 1 o i p p k p i = + + 1( i ) y Time = 0 o ti o i o ti o CovSet ti + + ( ) u = Cognitive 1 10 1 1 o i c c k c i = + + ( ) CovSet u = Cognitive 0 00 0 0 o i c c k c i
= + + ( ) CovSet u = Physical 0 00 0 0 o i p p k p i = + + ( ) CovSet u = Physical 1 10 1 1 o i p p k p i = + + 1( i ) y Time 0 o ti o i o ti o ti = + + ( ) CovSet u = Cognitive 1 10 1 1 o i c c k c i = + + ( ) CovSet u = Cognitive 0 00 0 0 o i c c k c i ... ( , ) ( ( , , ) ) ( ( ( , r cI cS u , , ) ) ) u r pI pS u r pI cS r pS cS u r pI cI r pS cI Physical Intercept Physical Slope Cognitive Slope 00 01 02 0 p p p p k 0 p i ... 10 11 12 1 p p p p k 1 p i ... ... 10 11 12 1 c c c c k 1 c i Cognitive Intercept 0 00 01 02 0 c i c c c c k
Formulas for CI computations + 1 2 1 1 r r = = 1 tanh ( ) log z r r e + exp(2 exp(2 exp(2 exp(2 ) 1 ) 1 ) 1 ) 1 high = = tanh( ) low low r low low + high = = tanh( ) high r 1 high = z z (1 /2) low r 3 n 1 = + z z (1 /2) high r 3 n