Atomic Diffusion and Interdiffusion in Metals
Delve into the fascinating world of atomic diffusion with Professor Harry Bhadeshia in this comprehensive lecture series on metals and alloys. Explore concepts like steady-state and non-steady-state diffusion, Fick's laws, thermodynamics of diffusion, and more. Gain insights into structure-sensitive diffusion, uphill diffusion, and binary solutions. Visual aids and real-world examples enhance your understanding of this essential topic in materials science and metallurgy.
Download Presentation

Please find below an Image/Link to download the presentation.
The content on the website is provided AS IS for your information and personal use only. It may not be sold, licensed, or shared on other websites without obtaining consent from the author.If you encounter any issues during the download, it is possible that the publisher has removed the file from their server.
You are allowed to download the files provided on this website for personal or commercial use, subject to the condition that they are used lawfully. All files are the property of their respective owners.
The content on the website is provided AS IS for your information and personal use only. It may not be sold, licensed, or shared on other websites without obtaining consent from the author.
E N D
Presentation Transcript
Part IB Materials Science and Metallurgy Course A: Metals & Alloys Professor Harry Bhadeshia Lecture 2: Atomic Diffusion
Revision of Lecture 1 Steady state diffusion Fick s first law Cylinder containing gas under pressure Atmosphere
Revision of Lecture 1 Non-steady state diffusion Fick s second law Constant concentration at surface, CS Average concentration far from surface, C0
Interdiffusion Structure sensitive diffusion Thermodynamics of diffusion Uphill diffusion
pure aluminium Al-7Si wt% Moreno D, Embury JD, SCRIPTA MATERIALIA 40 (7): 821-824 MAR 5 1999
Structure sensitive diffusion
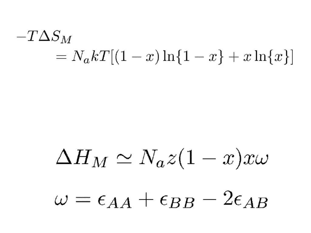
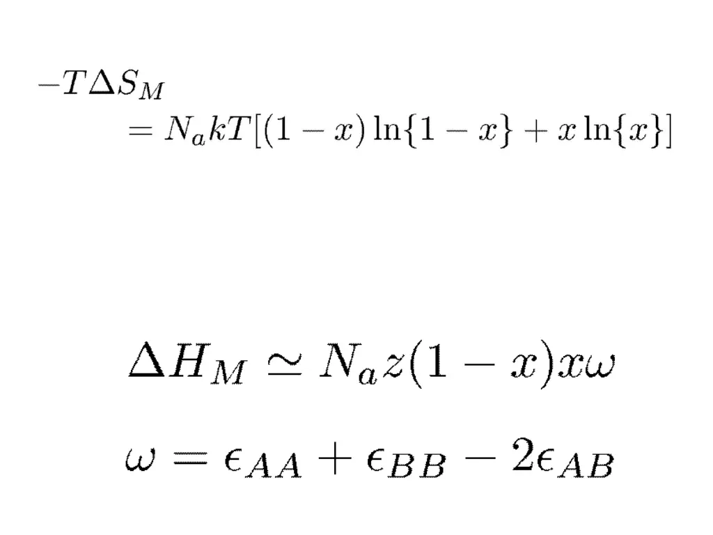
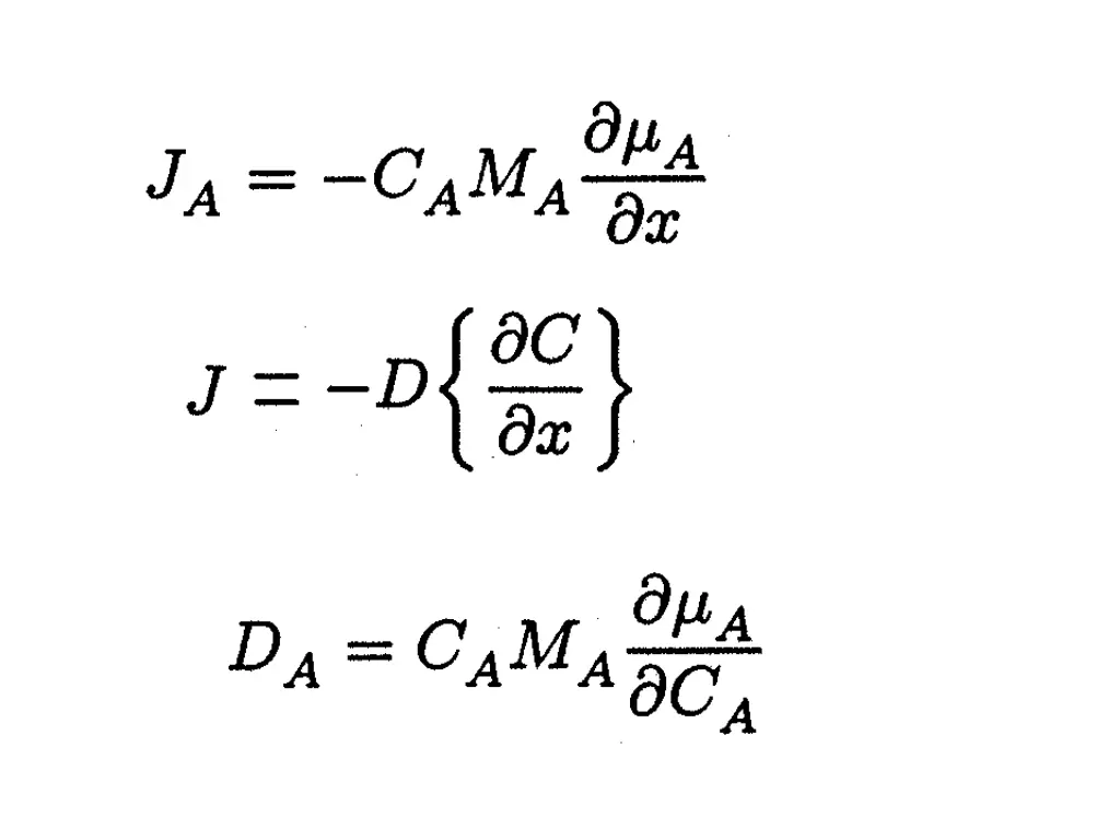
Thermodynamics of diffusion Flux proportional to solute- concentration gradient? Flux proportional to solute-free energy gradient?
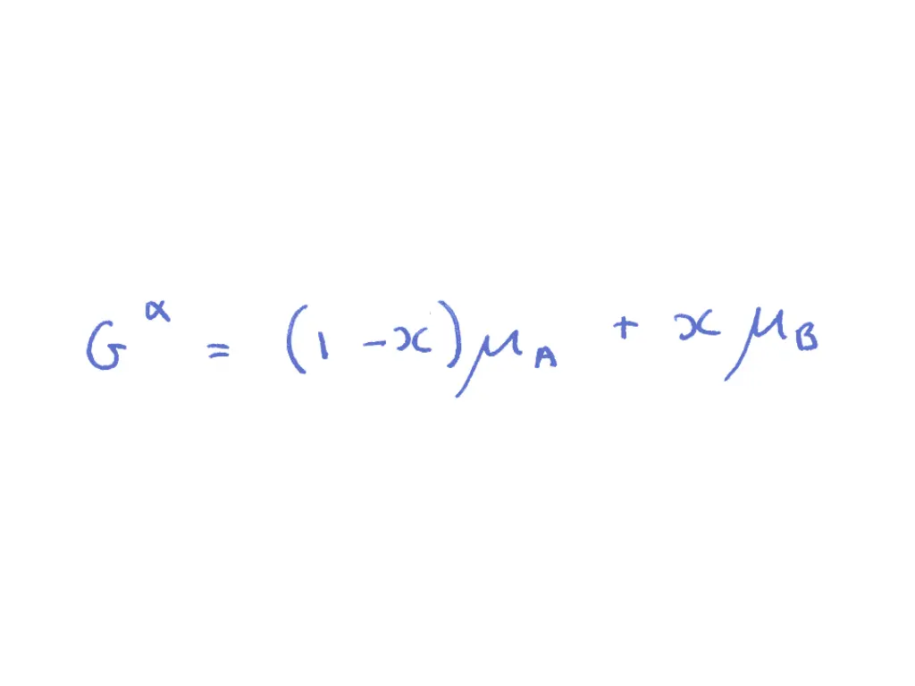
Binary A-B solution in which A is the solute
o B Gibbs free energy per mole o A A G{x} B A B x Composition