Calculate Resultant Force and Angle for Coplanar Concurrent Forces

Calculate Resultant Force and Angle for Coplanar Concurrent Forces
Slide Note
Embed
Share

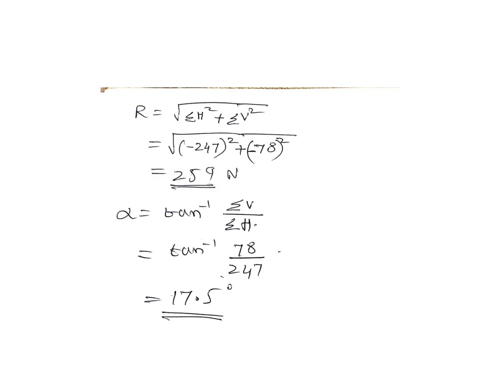
Determine the resultant force and angle of coplanar concurrent forces acting at point O in the figures provided. Solve for the magnitude, direction, and location of the resultant force in various force systems. Different scenarios of forces acting on particles are analyzed to find the overall resultant force in each case.

  • Resultant Force
  • Coplanar Forces
  • Concurrent Forces
  • Magnitude
  • Direction

Uploaded on Feb 25, 2025 | 0 Views


Download Presentation

Please find below an Image/Link to download the presentation.

The content on the website is provided AS IS for your information and personal use only. It may not be sold, licensed, or shared on other websites without obtaining consent from the author.If you encounter any issues during the download, it is possible that the publisher has removed the file from their server.

You are allowed to download the files provided on this website for personal or commercial use, subject to the condition that they are used lawfully. All files are the property of their respective owners.

The content on the website is provided AS IS for your information and personal use only. It may not be sold, licensed, or shared on other websites without obtaining consent from the author.

E N D

Presentation Transcript


  1. Find the resultant force and angle of coplanar concurrent forces acting at the point O as shown in figure.

  2. The four coplanar forces are acting at a point as shown in fig. Determine the resultant in magnitude and direction.

  3. Find the resultant force for the following figure.

  4. Five forces acting on a particle is shown in following figure. Locate the resultant force.

More Related Content