
Classical Mechanics Lecture on Lagrange's Equations and Constraints
Explore Lagrange's equations with constraints and the Lagrangian formulation of Brachistochrone motion in this lecture series. Dive into generalized coordinates, constraint equations, Lagrange multipliers, and modified Euler-Lagrange equations. Follow along with a simple example to grasp the concepts presented.
Download Presentation

Please find below an Image/Link to download the presentation.
The content on the website is provided AS IS for your information and personal use only. It may not be sold, licensed, or shared on other websites without obtaining consent from the author. If you encounter any issues during the download, it is possible that the publisher has removed the file from their server.
You are allowed to download the files provided on this website for personal or commercial use, subject to the condition that they are used lawfully. All files are the property of their respective owners.
The content on the website is provided AS IS for your information and personal use only. It may not be sold, licensed, or shared on other websites without obtaining consent from the author.
E N D
Presentation Transcript
PHY 711 Classical Mechanics and Mathematical Methods 10-10:50 AM MWF Olin 103 Plan for Lecture 9: Continue reading Chapter 3 & 6 1. Summary & review 2. Lagrange s equations with constraints 9/15/2014 PHY 711 Fall 2014 -- Lecture 9 1
9/15/2014 PHY 711 Fall 2014 -- Lecture 9 2
Comment on problem Lagrangian formulation of Brachistochrone motion: ( ( ) ) ( y = 1 ) sin x a ( = ) cos a ( ) = 4a cos s 1 2 s Lagrangian for mass traveling along : s 2 s = = 2 2 ( ( ), ( )) 2 1 L s t s t m s mgy m s mg a 1 1 2 2 4 a 9/15/2014 PHY 711 Fall 2014 -- Lecture 9 3
Lagrangian for mass traveling along : s 2 s = = 2 2 ( ( ), ( )) 2 1 L s t s t m s mgy m s mg a 1 1 2 2 4 a d L L = 0 dt s s mg 4 = m s s a g = s s 4 a g = + ( ) s t sin s A t 0 4 a 9/15/2014 PHY 711 Fall 2014 -- Lecture 9 4
Comments on generalized coordinates: ( , ) q ) = ( ( , ) t L L q t q t d L L = 0 dt q Here we have assumed that the generalized coordinates q are independent. Now consider the possibility that the coordinates are related through constraint equations of the form: ( ( ) 0 , ) ( : s Constraint = = j j t t q f f Lagrange multipliers ) = Lagrangian : ( , ) t ( , ) t L L q q t f d L L j j + = Modified Euler - Lagrange equations : 0 j dt q q q 9/15/2014 PHY 711 Fall 2014 -- Lecture 9 5
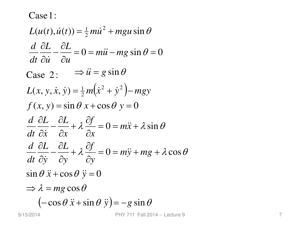
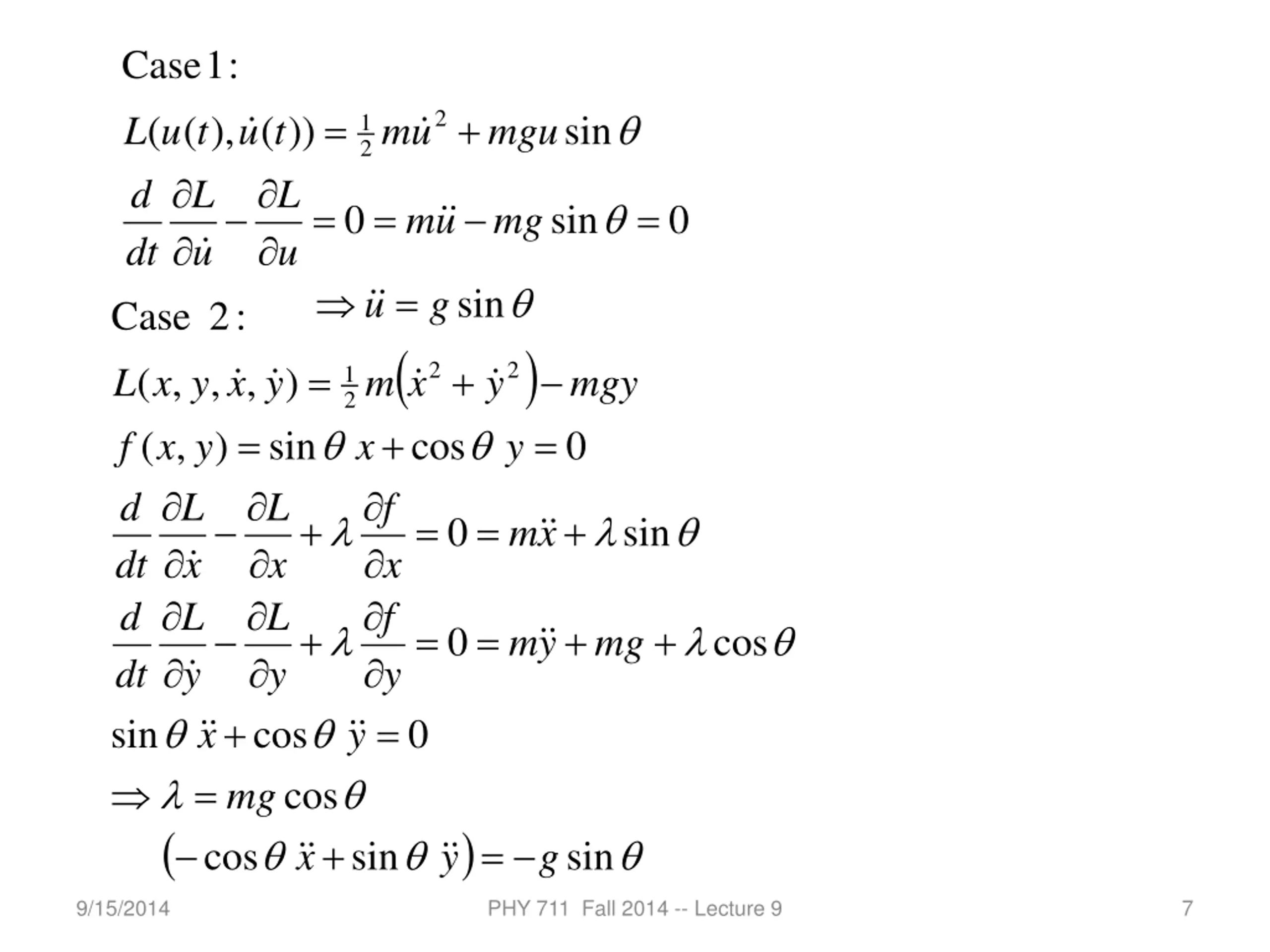
Simple example: = + 2 ( ( ), ( )) sin L u t u t m u mgu 1 2 u y ( ) = + 2 2 ( , , , ) L x y x y m x y mgy 1 x 2 = + = ( , ) sin cos 0 f x y x y 9/15/2014 PHY 711 Fall 2014 -- Lecture 9 6
Case : 1 = + 2 ( ( ), ( )) L sin L u t u t m u mgu 1 2 d L = = = 0 sin 0 m u mg dt u u = ( Case : 2 sin u g ) = + 2 2 ( , , , ) L x y x y m x y mgy 1 2 = + = ( , L ) sin L cos 0 f x y x y d f + = = + 0 sin m x dt x x x d L L f + = = + + 0 cos m y mg dt y y y = + sin cos mg 0 x = y sin + cos x ( ) = cos sin y g 9/15/2014 PHY 711 Fall 2014 -- Lecture 9 7
Rational for Lagrange multipliers Recall Hamilton' principle s : t f ( , ) ) i t = ( ( , ) S L q t q t t dt t d L L f i t = = 0 S q dt dt q q ( ) = = With constraint : s ( , ) 0 f f q t t j j Variations longer no are independen t. q f j = = 0 each at f q t j q Euler Add 0 to - Lagrange equations in the form : f j j q j q 9/15/2014 PHY 711 Fall 2014 -- Lecture 9 8
Euler-Lagrange equations with constraints: ( f , ) ( t 0 ) = Lagrangian : ( , ) t ( , ) = L L q q t t ( ) = Constraint : s f q t j j f d L L j j + = Modified Euler - Lagrange equations : 0 j dt q q q Example: ( ) = + + 2 2 2 Lagrangian : cos L m r r mgr 1 2 r r = = Constraint : s 0 f mg 9/15/2014 PHY 711 Fall 2014 -- Lecture 9 9
Example continued: ( ) = + + 2 2 2 Lagrangian : cos L m r r mgr 1 2 r = = Constraint : s 0 f d + = 2 cos 0 m r mr mg dt d + = 2 sin 0 mr mgr dt = = = 0 r r r g = sin = + 2 cos m mg 9/15/2014 PHY 711 Fall 2014 -- Lecture 9 10
Another example: = + + + 2 1 2 2 Lagrangian : L m m m g m g 1 1 1 2 1 1 2 2 2 2 = + = Constraint : s 0 f d 1 2 + = 0 m m g 1 1 1 dt d + = 0 m m g 2 2 2 dt + = = + 0 1 2 1 2 2 m m = 1 2 g + m m 1 2 m m = = 1 2 g 1 2 + m m 1 2 9/15/2014 PHY 711 Fall 2014 -- Lecture 9 11
Another example: A particle of mass m starts at rest on top of a smooth fixed hemisphere of radius R. Find the angle at which the particle leaves the hemisphere. R 9/15/2014 PHY 711 Fall 2014 -- Lecture 9 12
Example continued 1 = Constraint Equation : ( , ) f r r R ( ) , , = + 2 2 2 Lagrangian : ( , ) cos L r r m r r mgr 2 Euler r Lagrangian r dt - d equations : L L f + = 0 r + = 2 cos 0 mr mg m r L d L f r = 2 + = sin 2 0 mgr mr mr 0 dt 9/15/2014 PHY 711 Fall 2014 -- Lecture 9 13
Example continued + = 2 cos 0 mr mg m r r = 2 sin 2 0 mgr mr mr Using constraint : + = 2 cos 0 mR mg = 2 sin g 0 mgR mR 2 g ( ) = = 2 sin cos 1 R R = 3 ( cos ) 2 mg 9/15/2014 PHY 711 Fall 2014 -- Lecture 9 14