Clustering and Classification in Data Analysis

Download Presenatation
ch 7 clustering clustering groups similar n.w
1 / 35
Embed
Share

Dive into the world of clustering and classification techniques in data analysis. Explore methods of density estimation, hierarchical clustering, and approaches to clustering algorithms. Understand how clustering plays a crucial role in determining clusters for semiparametric and nonparametric estimations. Discover the differences between clustering and classification and how they are utilized in organizing and analyzing data efficiently.

  • Data Analysis
  • Clustering
  • Classification
  • Density Estimation
  • Hierarchical Clustering

Uploaded on | 0 Views


Download Presentation

Please find below an Image/Link to download the presentation.

The content on the website is provided AS IS for your information and personal use only. It may not be sold, licensed, or shared on other websites without obtaining consent from the author. If you encounter any issues during the download, it is possible that the publisher has removed the file from their server.

You are allowed to download the files provided on this website for personal or commercial use, subject to the condition that they are used lawfully. All files are the property of their respective owners.

The content on the website is provided AS IS for your information and personal use only. It may not be sold, licensed, or shared on other websites without obtaining consent from the author.

E N D

Presentation Transcript


  1. CH. 7: Clustering Clustering groups similar examples into clusters. Classification groups identical examples into classes. Classification problems are ubiquitous, while clustering problems often occur in intermediate steps. 1

  2. 7.1 Introduction Consider: Density Estimation Data points x { n } i i= 1 Density estimation Density distribution ( ) p x 2

  3. Methods of density estimation: Parametric: The sample comes from a single known distribution model , e.g., . ( ) p x ( ) x : ( , ) p N = Parameters: { , } Semiparametric: The sample consists of many groups, each with a known distribution model. The distribution of data is a mixture of known distribution models, i.e., ( ) ( ) ( ) 1 i = { ( ), i i P C = Nonparametric: No distribution model is known. Parameters: { ( ), i P C = K Assume ( p x , }K i i = ) = x x | . | : ( , ) p P C p C C N i i i i i Parameters: 1 ( ) K x | } . i = p C 1 i 3

  4. Clustering is an important step in determining #clusters in semiparametric and nonparametric estimations. 7.2 Hierarchical Clustering Cluster based on distances between instances Distance measure between instances xr and xs (1) Minkowski (Lp) (Euclidean for p = 2) ( M , d 1/ p ) ( ) p = r s r j s j x x d j x x = 1 (2) City-block distance ( CB d x x ) = r s r j s j d j , x x = 1 4

  5. Distance between two groups Gi and Gj: ( ) ( ) = r s x x ( d ( x x d ) , c c i j , min G = , Single-link: d G G d i j r s x x max G ave x i G ) = , G i j ) ( ) = r s Complete-link: x x , , d G G ( i d G G i j ) r s x x , G ) i j r s , , Average-link: j ( r s x , G j ( , Centroid distance: d G G d i j c c i , : the centroids of Gi and Gj j 5

  6. Approaches of clustering: (a) Agglomerative Clustering -- Start with N groups each with one instance and merge two closest groups at each iteration until there is a single one. (b) Divisive Clustering -- Start with a single group and dividing large group into two smaller groups, until each group contains a single instance. 6

  7. Example: Single-Link Agglomerative Clustering Start with 6 groups each with one instance and merge two closest groups at each iteration until there is a single one. Next, select a threshold to get the clusters. 7

  8. 7.3 k-Means Clustering Given a sample and #clusters k, { } X = m t N t x = 1 find the centers , i = 1, .., k, of clusters. i 8

  9. 9

  10. m Methods of initializing i 1) Randomly select k well separate examples as the m initial . i 2) Add to the mean m of data with k small random = + m m v vectors to get the initial . iv i i 3) Calculate the principal component, divide its range into k equal intervals, partition the data into k groups, take the means of these groups m as the initial . i 10

  11. Measure of goodness of clustering: Xie-Beni index S: K N 2 x m m it t i overall average compactness separation = = = = 1 1 S i t 2 m m min i j N i j , Fukuyama-Sugeno index: Classification entropy index: 11

  12. Fuzzy k-Means Clustering { } , = x t N t X Giving a set of data points = 1 K K N 2 = 1 subject to = x m Minimize c it t J it i = 1 i = = 1 1 i t K N N 2 = + x m c it t Minimize J f i t t = = = 1 1 1 i t t K = where 1 f t it = 1 i = N dJ d m = x m c it t 2 0, Let i = 1 t i = N N m x c it t c it / ----- (A) i = = 1 1 t t 12

  13. = dJ d 2 + = x m 1 c it t 0 --- (B) c Let i t it 1 1/( 1) c 2 x m t k i = --- (C) it 2 x m t = 1 j j it according to (C) Steps: 1) Compute miaccording to (A) 2) Compute it by (C), it to obtain 3) Update it max{ i t } , stop 4) If it , = , go to step 2 otherwise it it 13

  14. 7.4 Semiparametric Density Estimation { } , = x t N t X the sample Given an unlabeled sample consists of many groups, each with a known distribution model. The distribution of data is a mixture of known distribution models, i.e., = 1 K K K ( ) ( i P C p ( p = ( | p x ) ( ) ( ) x = = = x ) ( ) P C ) i C : x | | , 1 p C p C i i i i = = = 1 1 1 i i i x | C where : cluster densities : mixture proportions i ( , ) i i N i i Assume . The model leads to the Gaussian mixture model. 14

  15. = { , }K i i , : the parameters to be estimated = 1 i i Steps of semiparametric estimation: { } , = x t N t X Given an unlabeled sample = 1 1) Estimate the label of each example x e.g., K-means method 2) Estimate parameters of the mixture model e.g., EM algorithm 15

  16. 7.5 Expectation-Maximization Algorithm { } , = x t N t X Problem: Given an unlabeled sample = 1 = { , ( ) x }K estimate the parameters of a , = ( 1 i i i i K ) = x | p p C mixture Gaussian model , i i = 1 N i x ( | p ) : ( , ). C where K is known and i i i The problem involves two sets of random variables: X : observable variables examples of the sample Z : hidden variables - class labels of examples 16

  17. The complete log-likelihood of the joint distribution of X and Z, = = t t t t x z x z ( | , ) log ( , | ) log ( , | ) L X Z p p c t t Method: Estimate by maximizing the available incomplete log-likelihood of unlabeled sample { } . = x t N t X = 1 = = t t x x ( | ) log ( | ) log ( | ) L X p p t t ) k = t x log ( | p C i i = 1 t i 17

  18. The steps of finding the parameters : l = Let 0. 1. Estimate from sample X { , i i = , } l l l l i K i = 1 using k-means technique. 0 0 0 0 Estimate by applying k-means { , , }K i i i = = , 1 i 0 i 0 i 0 i i 1, , = , , to X and then calculate for n N K 0 clusters, where and is the number of i = in i examples in cluster i. = l l ( | , ) 2. Calculate c L L X Z c l = l l c cL [ ] Q E L Compute the expectation of over Z 18

  19. + 1 = l l argmax . 3. Find Q + 1 l l 4. Return if ; l otherwise go to step 2. + 1, = = + l l 1, l l EM algorithm: 0 Initialization: estimate = = l c l l l c ( | , ) and X Z [ ] L L Q E L E-step: compute c + 1 = l l M-step: compute argmax Q Terminate when + 1 l l 19

  20. E-steps: Define indicator variables t x 1 0 if otherwise C = = t t t t K t k z ( , z z , , ), where i z z 1 2 z is a multinomial distribution of k classes ( ) 1 i i = = The likelihood of example K t t t p p C = The joint density ( x z p K K t i z t i z = = t ( ) z --- (A) P P C i i 1 tx K t i t i z z = = t x z x x ( | ) ( | ) ( ) --- (B) p i i = 1 1 i i = t t t t t x z ) ( ). --- (C) z P , ) ( | p The complete log-likelihood of the sample 20

  21. ( ) ( ) = t t x z | , log , | L X Z p c t | , ) ( x z t t t z = log ( | ) p P (C) t ( ) ( ) = + t t t x z z log | , log | p P t t K K t i t i z z + t x = log ( | ) log p i i (B)(A) = = 1 1 t i t i K K = + t i t t i x l og ( | ) log z p z i i = = 1 1 t i t i ( ) N K = + t i t x [log | log ] z p i i = = 1 1 t i 21

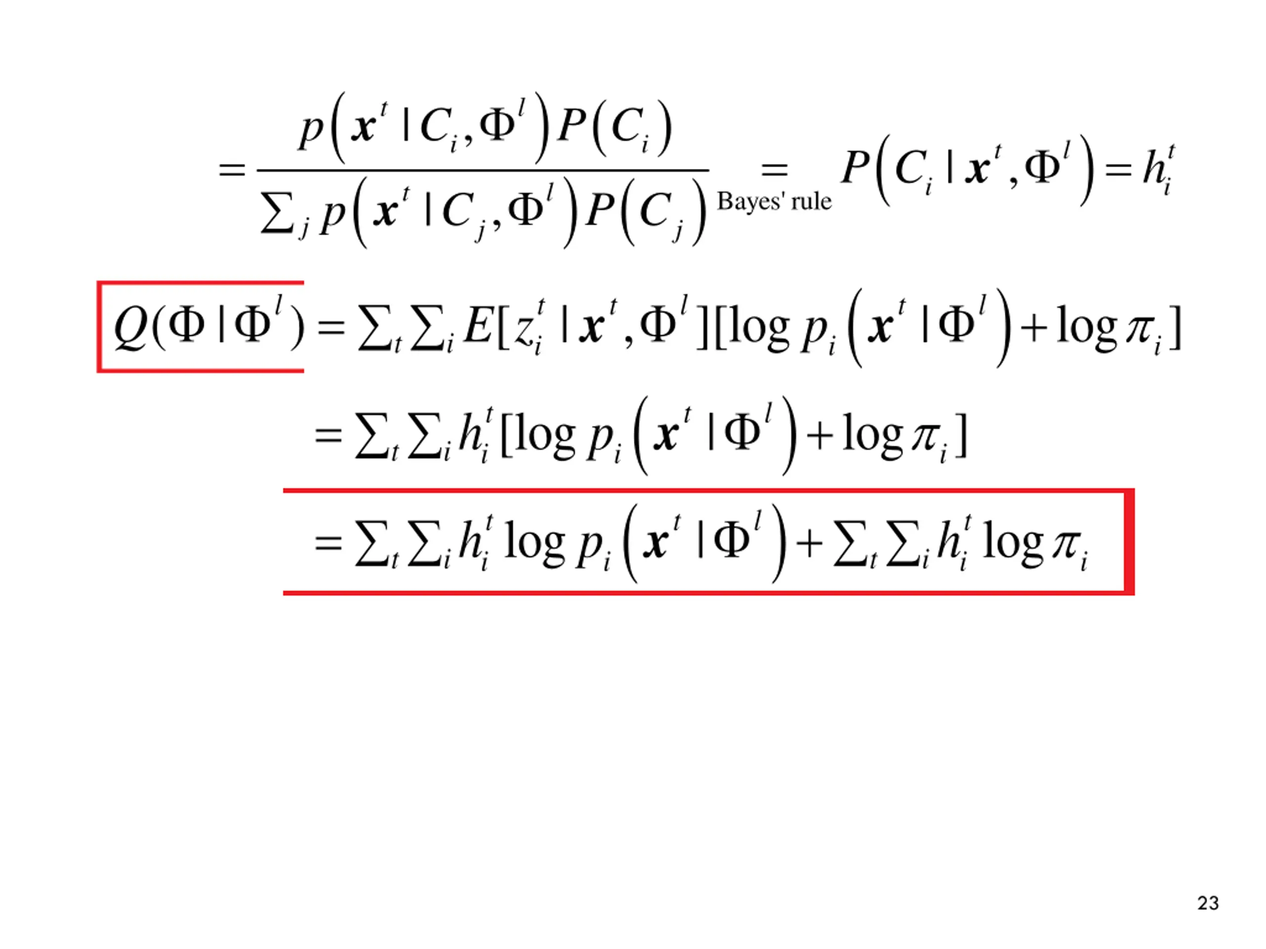
  22. ( ) | , cL X Z The expectation of over Z : ( ) = l l ( | ) [ | , | , ] Q E L X Z X c ( ) N K = + t i t x [log | log ] E z p i i = = 1 1 t i ( ) N K = + t i t l t l x x [ | , ][log | log ] E z p i i = = 1 1 t i = E z = + = t i t l t i t l t i t l x x x , 0 ( 0 , ) 1 ( 1 , ) P z P z t i : 0/1 z ( ) ( | ) = = t t i l t i l x | 1, 1| p z P z = = = t i t l x ( 1 , ) P z ( ) t l x p Bayes' rule 22

  23. ( p ) ( ) ) ( P C t l x | , p C P C ( ) i i = = = t l t x | , P C h ( ) i i t l x | , C Bayes' rule j j j ( ) = + l t i t l t l x x ( | ) [ | , ][log | log ] Q E z p t i i i ( ) = + t t l x [log | log ] h p t i i i i ( ) = + t t l t x log | log h p h t i t i i i i i 23

  24. M-steps: (i) Estimating : i ( ) t t l x Q log | is independent of and h p t i i i i = 1. i i = + t Define log (1 ). J h t i i i i i = = t Solve for by letting / 0. / . J h N i i i i i (ii) Estimating , : i i ( ) t t x Q log is independent of | . h p G t i i i i = t t Define log ( | ). J h p x t i i i 24

  25. ( ) t l x m Q | : ( , ). p N S i i i + + + 1 1 1 = m l l i l Solve for ( , ) by letting iS = = = m / 0 and / 0, 1, , . K J J S i Get i i + + 1 1 t t t t l i t l i T x x m x m ( )( t i h ) h h + + 1 1 = = l i l m i i , , where S i h i i t i i i ( p ) ( ) ) ( P C t l x | , p C P C i i = t h ( ) i t l x | , C j j j 1/2 + + 1 1 1 exp[( 1/2)(( t l i m T t l i m x m x m ) ( ))] S S = i i S i 1/2 + + 1 1 1 exp[( 1/2)(( t l j T t l j x x ) ( ))] S j j j j 25

  26. Summary of EM algorithm: X = , , { , x x x Given an unlabeled sample }, 1 2 N 0 0 i 0 i 0 i = }K 1. Estimate { , , = 1 i jx 2. E-step: Calculate for each data the probability p th jx of the Gaussian being responsible for k jk x ( | ) p C = k j k C p jk x K i = ( | ) p 1 i j i 3. M-step: Update the Gaussian parameters = new new k new k new k K k { , , } = 1 26

  27. x N j p 1 N N = = new k 1 N j = new k ; p jk p j ; jk = 1 j = 1 jk new k new T k x x N j ( )( ) p = 1 = new k jk j j . N j p = 1 jk + 1 l l 4. Stop when 27

  28. Summary Clustering groups similar examples into clusters. Classification groups identical examples into classes. Consider: Density Estimation Data points n { } i i= x 1 Density estimation Density distribut ion p x ( ) 28

  29. Methods of density estimation: Parametric: The sample comes from a single known distribution model Semiparametric: The sample consists of many groups, each with a known distribution model. Nonparametric: No distribution model is known. Clustering plays an important role in semiparametric and nonparametric estimations. 29

  30. Hierarchical Clustering (a) Agglomerative Clustering -- Start with N groups each with one instance and merge two closest groups at each iteration until there is a single one. (b) Divisive Clustering -- Start with a single group and dividing large group into two smaller groups, until each group contains a single instance. 30

  31. k-Means Clustering Given a sample and #clusters k, { } x X = m t N t = 1 find the centers , i = 1, .., k, of clusters. i 31

  32. Fuzzy k-Means Clustering { } , = x t N t X Giving a set of data points = 1 K K N 2 = 1 subject to = x m Minimize c it t J it i = 1 i = = 1 1 i t Steps: 1 1/( 1) c 2 x m t k i = 1) Compute it 2 x m t = 1 j j N N = m x c it t c it / 2) Compute i = = 1 1 t t it 3) Update 32

  33. it max{ i t } , stop 4) If it , = go to step 2 , otherwise it it Measure of goodness of clustering: Xie-Beni index S, Fukuyama-Sugeno index, Classification entropy index 33

  34. EM algorithm: Given an unlabeled sample X = , , { , x x x }, 1 2 N 1. Initialization: 0 0 0 0 Estimate by applying K-means { , , }K i i i = = 1 i 0 i 0 i 0 i i 1, , = , , , to X and calculate , for each n N K 0 cluster, where and is the number of i = i in data points in cluster i. p 2. E-step: Calculate for each data the probability jx jk of the Gaussian being responsible for k jx th 34

  35. x ( | ) p C = k j k C p jk x K i = ( | ) p 1 i j i 3. M-step: Update the Gaussian parameters = new new k new k new k K k { , , } = 1 x N j p 1 N N = = new k 1 N j = new k ; p jk p j ; jk = 1 j = 1 jk new k new T k x x N j ( )( ) p = 1 = new k jk j j . N j p = 1 jk + 1 l l 4. Stop when 35

More Related Content