Convergence Patterns in Fourier Series

Download Presenatation
slide1 n.w
1 / 46
Embed
Share

Explore the convergence properties of piecewise continuous functions in the context of Fourier series. Understand the concept of period and its relation to function behavior. Dive into the intricacies of function continuity and its implications for convergence analysis.

  • Fourier Series
  • Convergence
  • Continuous Functions
  • Periodic Functions
  • Function Behavior

Uploaded on | 0 Views


Download Presentation

Please find below an Image/Link to download the presentation.

The content on the website is provided AS IS for your information and personal use only. It may not be sold, licensed, or shared on other websites without obtaining consent from the author. If you encounter any issues during the download, it is possible that the publisher has removed the file from their server.

You are allowed to download the files provided on this website for personal or commercial use, subject to the condition that they are used lawfully. All files are the property of their respective owners.

The content on the website is provided AS IS for your information and personal use only. It may not be sold, licensed, or shared on other websites without obtaining consent from the author.

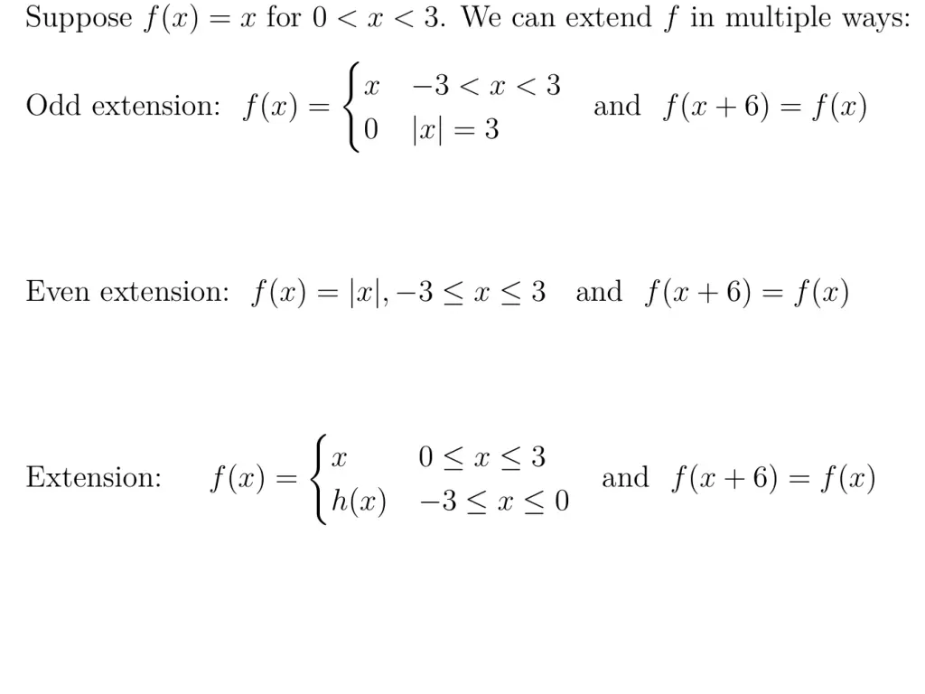
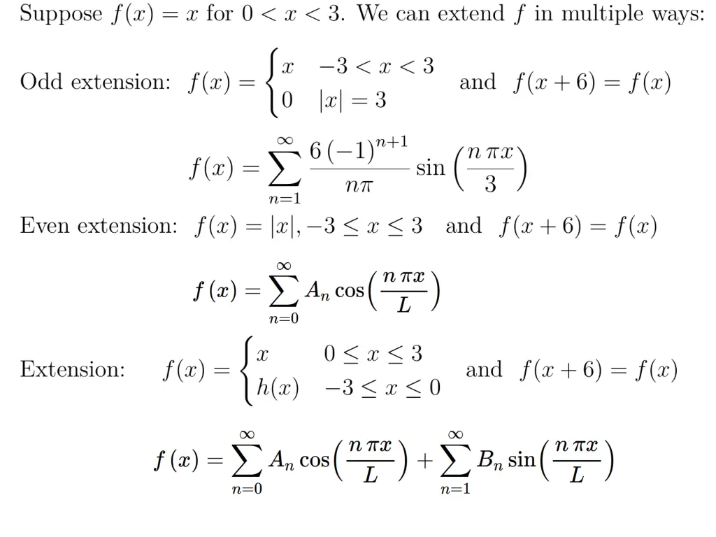
E N D

Presentation Transcript


  1. 10.2

  2. http://tutorial.math.lamar.edu/Classes/DE/FourierSeries.aspx

  3. Recall:

  4. Recall: If f(x + 6) = f(x), then period = , let L =

  5. Recall: If f(x + 6) = f(x), then period = 6, so let L = 6 2 = 3

  6. Recall: If f(x + 6) = f(x), then period = 6, so let L = 6 2 = 3

  7. fis piecewise continuous d c p 10.3 Convergence

  8. Gibbs phenomenon: Larger error near discontinuities. Overshot.

  9. 10.4 Even and Odd Functions: A function is said to be even if f( x) = f(x) A function is said to be oddif f( x) = f(x) http://tutorial.math.lamar.edu/Classes/DE/PeriodicOrthogonal.aspx

  10. A function is said to be even if f(x) = f(x) A function is said to be oddif f( x) = f(x)

  11. A function is said to be even if f(x) = f(x) A function is said to be oddif f( x) = f(x)

  12. 10.4 If f(x) is an odd function:

  13. 10.4 If f(x) is an odd function: Fourier sine series

  14. 10.4 If f(x) is an even function:

  15. 10.4 If f(x) is an even function: Fourier cosine series

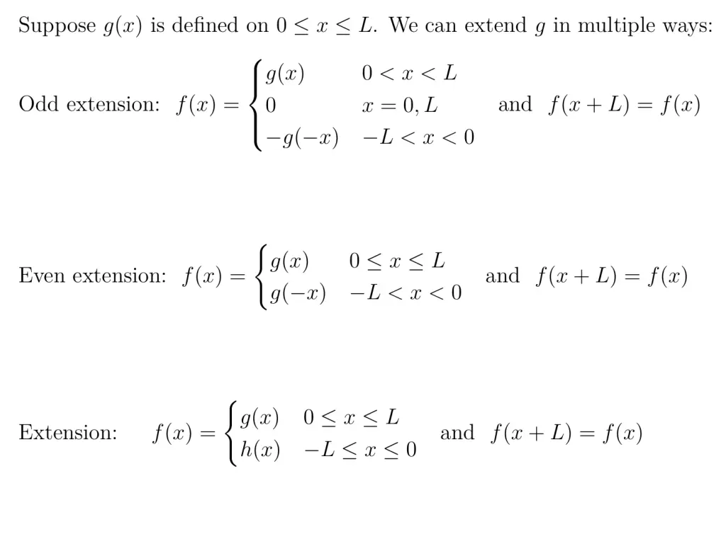
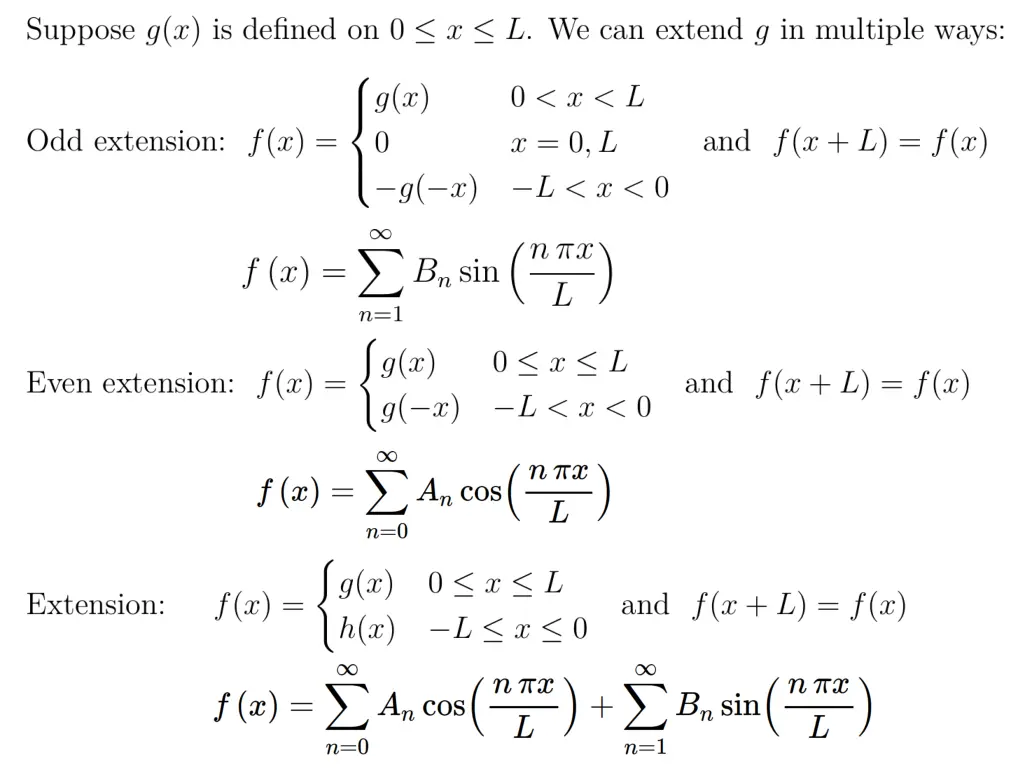
  16. Even and Odd Extensions

  17. http://tutorial.math.lamar.edu/Classes/DE/FourierSeries.aspx

  18. Periodic extension: Extend function f(x) = x, -3 < x < 3, via a periodic function.

  19. http://tutorial.math.lamar.edu/Classes/DE/FourierSeries.aspx 10.2

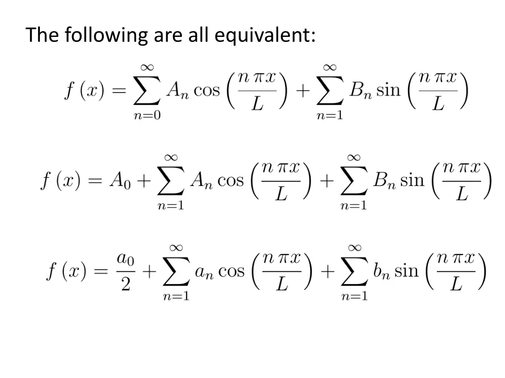
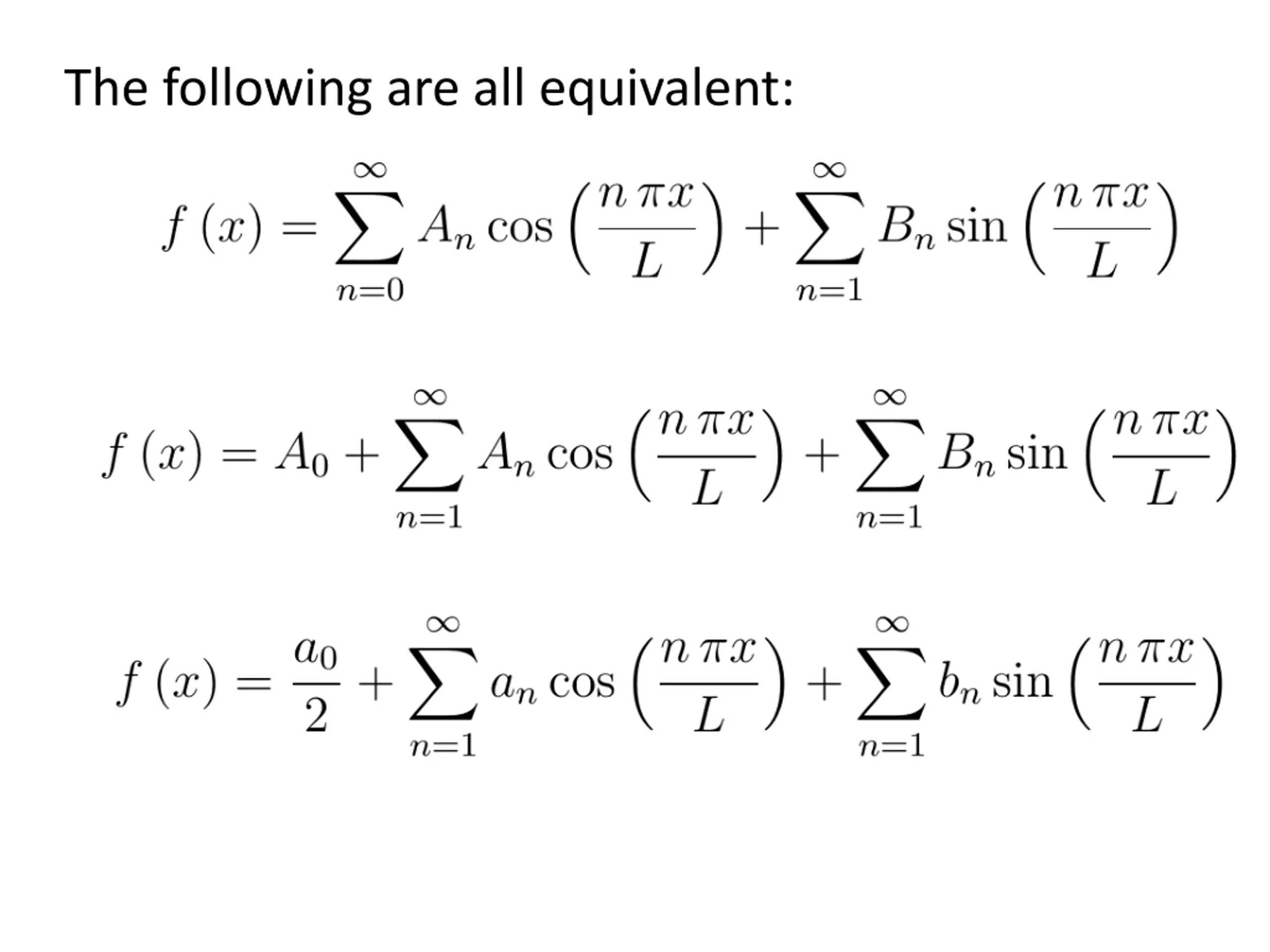
  20. The following are all equivalent:

  21. 10.2

  22. 10.2

Related


More Related Content