D-Term Dynamical Supersymmetry Breaking Theory Insights

Download Presenatation
d term dynamical supersymmetry breaking n.w
1 / 22
Embed
Share

"Explore the theory of D-term dynamical supersymmetry breaking (DDSB) and its implications in particle physics. Delve into the stationary conditions, mass spectrum, and vacuum properties of the theory. Discover the application in models like the MSSM and the shift to N=1 supersymmetry. Gain insights into the off-shell component Lagrangian and auxiliary fields. Unravel the complexities of spontaneous SUSY breaking via DSB mechanisms."

  • Supersymmetry
  • Particle Physics
  • D-Term Breaking
  • MSSM
  • Quantum Field Theory

Uploaded on | 3 Views


Download Presentation

Please find below an Image/Link to download the presentation.

The content on the website is provided AS IS for your information and personal use only. It may not be sold, licensed, or shared on other websites without obtaining consent from the author. If you encounter any issues during the download, it is possible that the publisher has removed the file from their server.

You are allowed to download the files provided on this website for personal or commercial use, subject to the condition that they are used lawfully. All files are the property of their respective owners.

The content on the website is provided AS IS for your information and personal use only. It may not be sold, licensed, or shared on other websites without obtaining consent from the author.

E N D

Presentation Transcript


  1. D-term Dynamical Supersymmetry Breaking with N. Maru (Keio U.) arXiv:1109.2276 one in preparation K. Fujiwara and, H.I. and M. Sakaguchi arXiv: hep-th/0409060, P. T. P. 113 arXiv: hep-th/0503113, N. P. B 723 H. I., K. Maruyoshi and S. Minato arXiv:0909.5486, Nucl. Phys. B 830 cf. I) Introduction spontaneous breaking of SUSY is much less frequent compared with that of internal symmetry most desirable to break SUSY dynamically (DSB) F term DSB has been popular since mid 80 s, in particular, in the context of instanton generated superpotential In this talk, we will accomplish D term DSB, DDSB, for short based on the nonrenormalizable D-gaugino-matter fermion coupling and most natural in the context of SUSY gauge theory spontaneous broken to ala APT-FIS 1

  2. II) Basic idea Start from a general lagrangian : a K hler potential : a gauge kinetic superfield of the chiral superfield in the adjoint representation : a superpotential. bilinears: where . no bosonic counterpart assume is the 2nd derivative of a trace fn. : holomorphic and nonvanishing part of the mass the gauginos receive masses of mixed Majorana-Dirac type and are split. 2

  3. Determination of stationary condition to where is the one-loop contribution and is a counterterm. condensation of the Dirac bilinear is responsible for In fact, the stationary condition is nothing but the well-known gap equation of the theory on-shell which contains four-fermi interactions. 3

  4. The rest of my talk Contents I) Introduction II) Basic idea III) Illustration by the Theory with vacuum at tree level IV) Mass spectrum at tree level and supercurrent V) Self-consistent Hartree Fock approximation VI) Vacuum shift and metastability (qualitative) VII) Our work in the context of MSSM VIII) More on the fermion masses in the H. F. (qualitative) \begin{align*} \mathcal{N} = 2 \to \mathcal{N} =1 \end{align*} 4

  5. III) Theory with vacuum at tree level \begin{align*} \textcolor[rgb]{0,0.6,0}{\bm{\mathcal{N} = 2 \to \mathcal{N} =1}} \end{align*} Action to work with U(N) gauge group assumed for definiteness (product gauge group O.K.) : prepotential, input function superpotential W supplied by the electric and magnetic FI terms, made possible by a particular fixing of rigid SU(2)Rsymmetry should contrast with Later, will work with 5

  6. Off-shell component lagrangian The off-shell component lagrangian is where is the K hler metric and its derivatives are defined as and . The gauge part is, in components, Finally, the superpotential can be written as 6

  7. Eq of motion for auxiliary fields While, from the transformation laws, 7

  8. susy of and tree vacua construction of 2nd susy : Let be so that follows from the form of and are derived by imposing where \begin{align*} \textcolor[rgb]{0,0,0.6}{e \delta_c^0 + m \langle \mathcal{F}_{0c} \rangle = 0} \end{align*} ; vacuum condition 2nd susy broken generic breaking pattern of gauge symmetry: 8

  9. IV) Mass spectrum at tree level and supercurrent a 9 9

  10. vacuum condition 10

  11. V) Self-consistent Hartree-Fock approximation For simplicity, consider the case U(N) unbroken Recall we hunt for the possibility (up to one-loop): Mixed Maj.-Dirac mass to gaugino, no such coupling to bosons present DSB 11

  12. : mass matrix (holomorphic and nonvanishing part) The eigenvalues are \begin{align*} m_{a} \equiv \sqrt{2N} m \langle g^{aa} {\cal F}_{0aa} \rangle \end{align*} We obtain where the entire contribution to the 1PI vertex function \begin{align*} i \Gamma_{\rm{1-loop}} \end{align*} \begin{align*} \int d^4x \sum_a | m_{a} |^4 \int \frac{d^4 \ell^{\mu}}{(2\pi)^4} \ln \left[ \frac{(\lambda^{(+)2} - \ell^2 - i \epsilon) (\lambda^{(-)2} - \ell^2 - i \epsilon)} {(1 - \ell^2 - i \epsilon) ( - \ell^2 - i \epsilon)} \right] \end{align*} 12

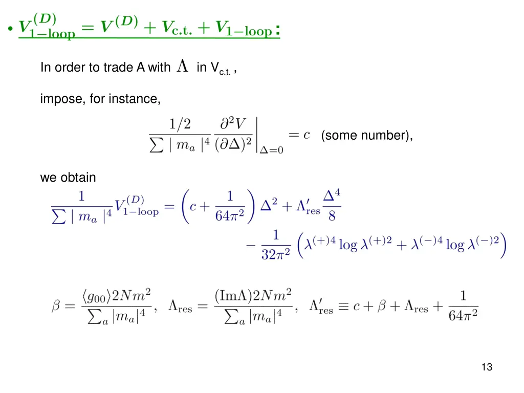
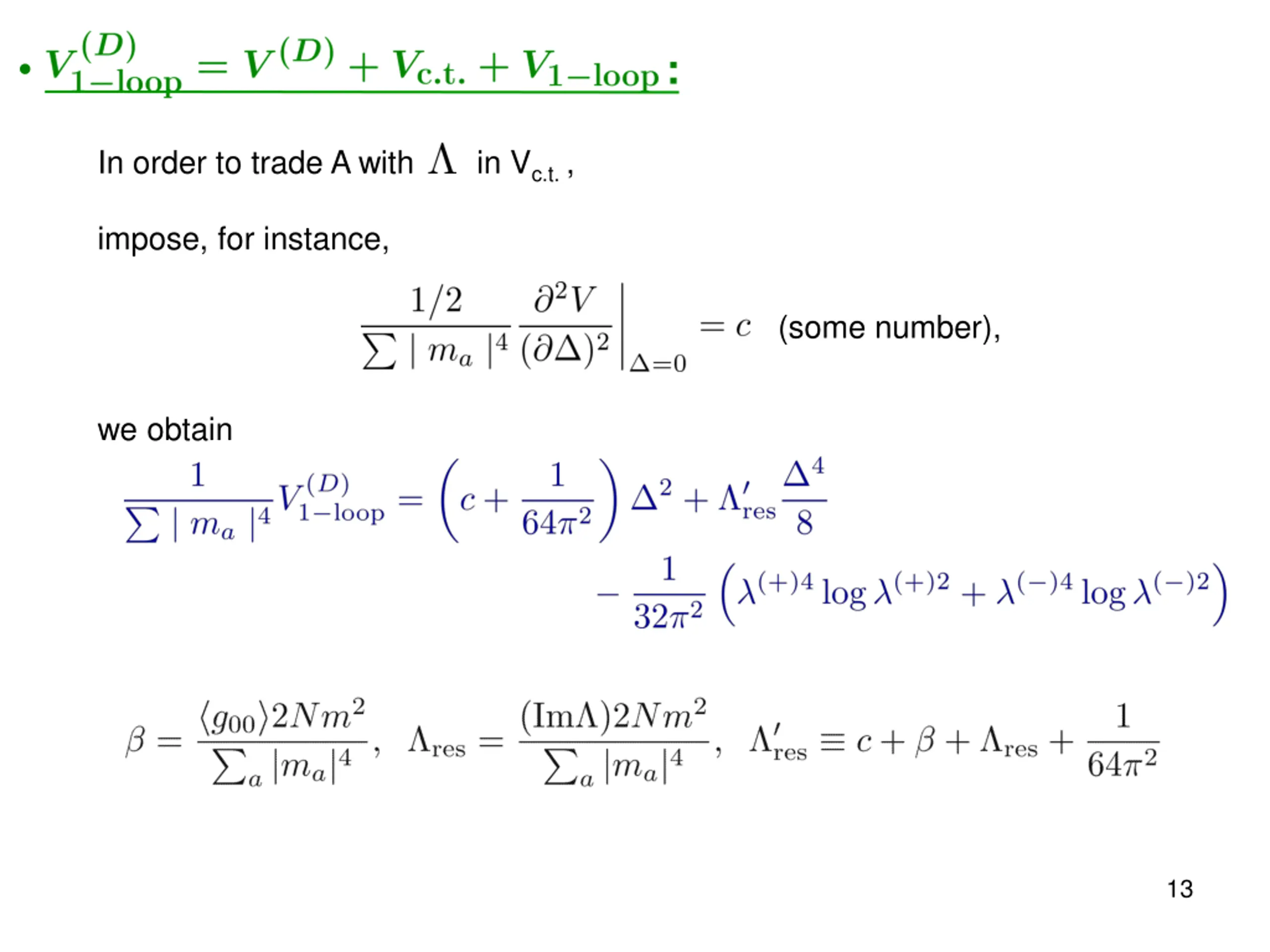
  13. : In order to trade A with in Vc.t. , impose, for instance, (some number), we obtain 13

  14. gap equation: \begin{align*} V_{\text{1-loop}}^{(D)} \end{align*} is a stationary condition to \begin{align*} 0 = \frac{\partial V^{(D)}_{{\rm 1-loop}}}{\partial \Delta} \nonumber \\ = \Delta \left[ 2 \left( c+\frac{1}{64\pi^2} \right) + \frac{\Lambda'_{{\rm res}}}{2} \Delta^2 \right. \nonumber \\ \left. - \frac{1}{32\pi^2} \frac{1}{\sqrt{1+\Delta^2}} \left\{ (\lambda^{(+)})^3 (2 \log(\lambda^{(+)})^2 + 1) - (\lambda^{(-)})^3 (2 \log(\lambda^{(-)})^2 + 1) \right\} \right]. \end{align*} Aside from a trivial solution , a nontrivial transcendental solution \begin{align*} \Delta = 0 \end{align*} in general exists \begin{align*} \textcolor[rgb]{0,0,0.6}{\Delta \neq 0} \end{align*} gap eq. In the approximate form susy is broken to . \begin{eqnarray*} \textcolor[rgb]{0,0,0.6}{\therefore} \end{eqnarray*} 14

  15. VI) Vacuum shift and metastability (qualitative) \begin{align*} V = V^{(\rm{sup})} + V_{\text{1-loop}}^{(D)} \\ \delta V = 0 \end{align*} vacuum condition of 0 vacuum \begin{align*} e + m \mathcal{F}_{00}(\langle \phi \rangle _{D\neq 0}) = m f (\Delta^2) ~~~~ \text{s. t.}~~~~ f(0) = 0 \end{align*} computable \begin{align*} || \delta \phi || \equiv || \langle \phi \rangle _{D\neq 0} - \langle \phi \rangle_{\rm{tree}} || \ll || \langle \phi \rangle_{\rm{tree}} || \end{align*} \begin{align*} \mathcal{F}(\Phi) = \frac{1}{2} a_2 \Phi^2 + \frac{a_3}{3! \Lambda_{UV}} \Phi^3 \end{align*} e.g. \begin{align*} || \delta \phi || \sim f(\Delta^2) \Lambda_{UV} /a_3 \end{align*} 15

  16. \begin{align*} \langle V \rangle \sim \langle D^2 \rangle \sim 4 m^2 \end{align*} obviously and the ? = 0 tree vacuum is not lifted. So the ? 0 vacuum is metastable. Estimate of the decay rate: \begin{align*} \exp \left[ -\frac{||\delta\phi||^4}{\langle V \rangle} \right] \end{align*} \begin{align*} \frac{|| \delta\phi ||^4}{\langle V \rangle} \gg 1 \end{align*} \begin{align*} \frac{\Lambda_{UV}^2}{m} \gg 1 \end{align*} provided can be made long lived 16

  17. VII) Our work in the context of MSSM Symbolically \begin{eqnarray*} \mathcal{L}_{\rm MSSM} = \mathcal{L}_{\rm gauge} + \mathcal{L}_{\rm matters} + \mathcal{L}_{\text{gauge-matter}} \end{eqnarray*} vector superfields, chiral superfields, their coupling extend this to the type of actions with s-gluons and adjoint fermions so as not to worry about mirror fermions e.t.s. \begin{align*} G' \times G_{\rm SM} \end{align*} gauge group , the simplest case being \begin{align*} G' = U(1) \end{align*} Due to the non-Lie algebraic nature of the third prepotential derivatives, or , we do not really need messenger superfields. \begin{align*} \mathcal{F}_{abc} \end{align*} \begin{align*} \tau_{abc} \end{align*} 17

  18. transmission of DDSB in to the rest of the theory by higher order loop-corrections the sfermion masses Fox, Nelson, Weiner, JHEP(2002) the gaugino masses of the quadratic Casimir of representation some function of , which is essentially 18

  19. Demanding We obtain 19

  20. VIII) More on the fermion masses in the H. F. (qualitative) Back to the general theory with 3 input functions H. F. can be made into a systematic expansion by an index loop argument. Take to be ?(?2). In the unbroken ?(?) phase, The gap eq. is 20

  21. Two sources beyond tree but leading in H. F. i) Due to the vacuum shift, as well ii) For U(1) sector, an index loop circulates + These contribute to the masses in the leading order in the H. F. 21

  22. D-term Dynamical Supersymmetry Breaking with N. Maru (Keio U.) arXiv:1109.2276 one in preparation K. Fujiwara and, H.I. and M. Sakaguchi arXiv: hep-th/0409060, P. T. P. 113 arXiv: hep-th/0503113, N. P. B 723 H. I., K. Maruyoshi and S. Minato arXiv:0909.5486, Nucl. Phys. B 830 cf. Obserbale (SU(N)) sector \begin{align*} \textcolor[rgb]{0,0,0.6}{\lambda^{(\pm)} = \frac{1}{2} (1 \pm \sqrt{1 + \Delta^2})} \end{align*} mass mass massive fermion ? scalar gluon gluino ?? gluon -1/2 0 1/2 -1 -1/2 0 1/2 1 \begin{align*} \textcolor[rgb]{0,0,0.6}{0},~~ \textcolor[rgb]{1,0,0}{| \lambda^{(-)}| m_a}, \end{align*} \begin{align*} \textcolor[rgb]{0,0,0.6}{m_a},~~ \textcolor[rgb]{1,0,0}{| \lambda^{(+)}| m_a} \end{align*} 22

Related


More Related Content