Dynamic Systems: Lagrangian vs. Hamiltonian Approaches

Download Presenatation
lagragian versus hamiltonian approaches n.w
1 / 42
Embed
Share

Explore the comparison between Lagrangian and Hamiltonian approaches in dynamics, covering natural mechanical systems, time-irreversible systems, cyclic variables, integrability, and theorems. Dive into examples like Sokolov's case of a rigid body in a liquid and understand the impact of gauge terms on equations. Discover the essence of Hamilton's equations in transforming potentials and more.

  • Dynamic Systems
  • Lagrangian
  • Hamiltonian
  • Mechanical Systems
  • Integrability

Uploaded on | 0 Views


Download Presentation

Please find below an Image/Link to download the presentation.

The content on the website is provided AS IS for your information and personal use only. It may not be sold, licensed, or shared on other websites without obtaining consent from the author. If you encounter any issues during the download, it is possible that the publisher has removed the file from their server.

You are allowed to download the files provided on this website for personal or commercial use, subject to the condition that they are used lawfully. All files are the property of their respective owners.

The content on the website is provided AS IS for your information and personal use only. It may not be sold, licensed, or shared on other websites without obtaining consent from the author.

E N D

Presentation Transcript


  1. LAGRAGIAN VERSUS HAMILTONIAN APPROACHES IN CERTAIN PROBLEMS OF DYNAMICS YEHIAHamad Mansoura University Egypt hyehia@mans.edu.eg 1 7/3/2025

  2. A natural mechanical system has the Lagrangian L and Hamiltonian = ( ) p j q j ?1=1 2 ???????+ ? ? , ? = ? 1. 7/3/2025 2

  3. For a generalized natural (time-irreversible) mechanical system where b expresses velocity-dependent forces like: - Coriolis forces in rotating frames, - Lorentz forces due to magnetic effect on moving electric charges, - Fictitious forces resulting from ignoring some cyclic coordinates. The corresponding Hamiltonian is ??=? 7/3/2025 3 ? ??????? ???????+ [? +? ? ???????].

  4. 1) 1) When one adds a gauge term Lagrange s equations and their integrals do not change, while for the corresponding Hamiltonian ??=? ? ??????? (??+ ???)?????+ [? +? ? (??+ ???)???(??+ ???)]. Hamilton s equations and their integrals change and potential is disguised. 7/3/2025 4

  5. Example: Sokolov s case of rigid body in a liquid: (Sokolov) (Borisov and Mamaev) 7/3/20255

  6. 2) Cyclic variable change 2) Cyclic variable change Let q be a cyclic variable in the Lagrangian of an integrable system. Replacing q by q = Q -nt ( ?= ?-n), preserves integrability and conservativity. The Hamiltonian equivalent is ? = ? + ??, where ? is the cyclic integral conjugate to q. 6 7/3/2025

  7. The Lagrangian (1) admits the cyclic integrals Consider another system with the Lagrangian constants (2) i are cyclic variables and let , ,?? ?1 7/3/2025 7

  8. Theorem Theorem: If the system with the Lagrangian (1) is integrable for all initial conditions, then (2) is integrable for arbitrary functions (conditionally) on the level 8 7/3/2025

  9. 3-D Natural system with a cyclic coordinate: 9 7/3/2025

  10. If one can take then in the transformed Routhian General integrability is preserved, with only replacing 10 7/3/2025

  11. Only the last replacement affect the Hamiltonian. The physics of the change is hidden in the Hamiltonian formalism. 7/3/2025 11

  12. Application to rigid body dynamics 7/3/2025 12

  13. On the dynamics of a rigid body-gyrostat. 13 7/3/2025

  14. The general problem of motion of a rigid body about a fixed point under the action of a combination of skew conservative potential and gyroscopic forces, described by the Lagrangian Scalar and vector potentials V, l depend only on the Eulerian angles through the nine direction cosines 14 7/3/2025

  15. The equations of motion in the Euler The equations of motion in the Euler Poisson variables ( (Celest Celest. Mech. 1988) . Mech. 1988) Poisson variables 7/3/2025 15

  16. Cyclic coordinates in rigid body dynamics: 1- Axi-symmetric fields - precession angle cyclic. 2- Axi-symmetric body rotation angle cyclic. 3- Dynamically axi-symmetric body and quaternion symmetry ( cyclic). 16 7/3/2025

  17. CASE OF SYMMETRIC POTENTIAL UNIFORM PRECESSION TRANSFORMATION 17 7/3/2025

  18. Application to the classical problem of motion Application to the classical problem of motion of of a heavy a heavy rigid rigid body body- -gyrostat gyrostat 18 7/3/2025

  19. APPLICATION TO EULERS CASE Intersection of Clebsch and Steklov cases Solved in elliptic functions. 19 7/3/2025

  20. Case of variable precession 20 7/3/2025

  21. Equations of motion The Eulerian angles and are the same. The angles of precession for the two systems are different at the amount 21 7/3/2025

  22. The first case- generalization of 1st Clebsch's case 22 7/3/2025

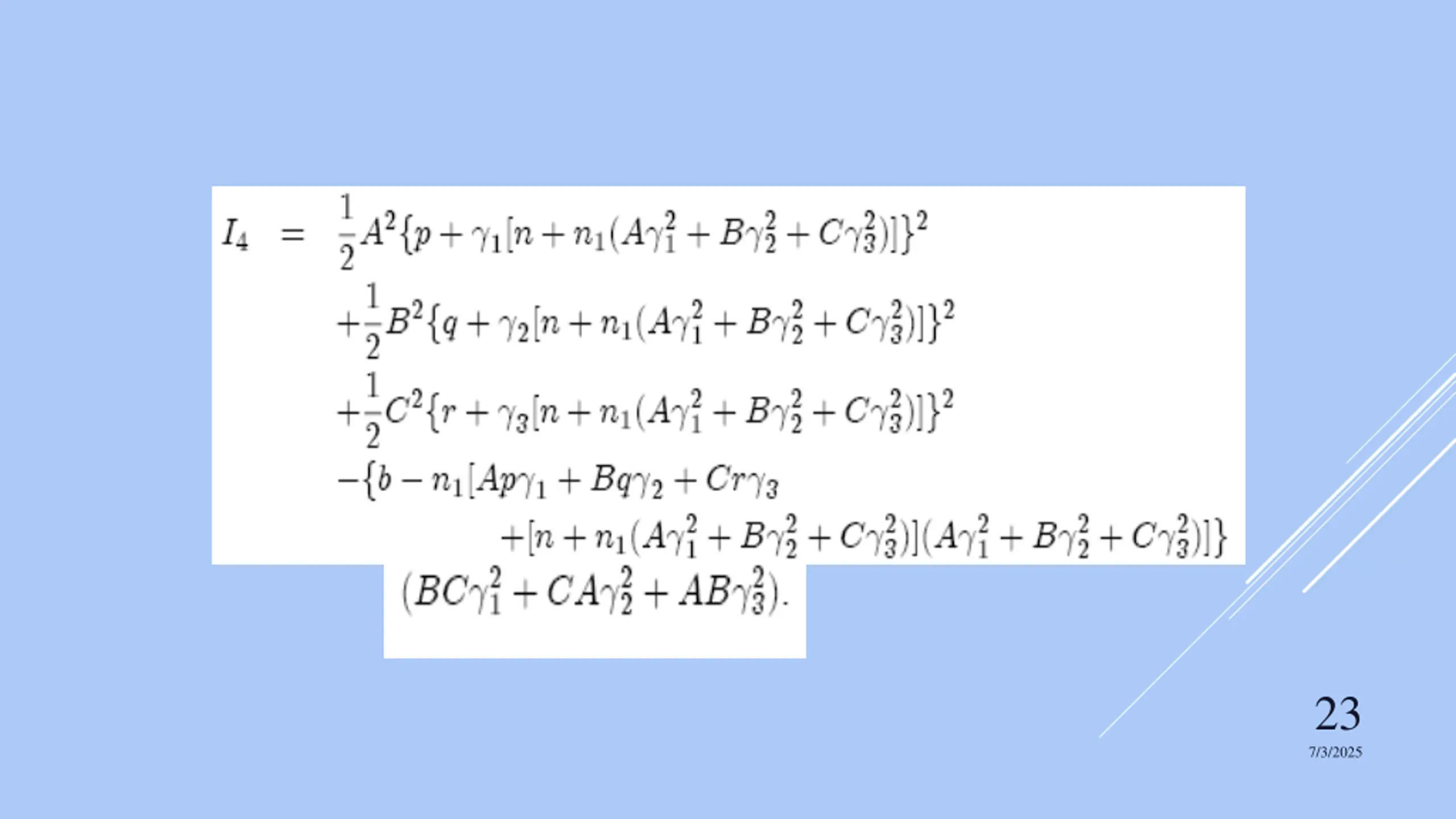
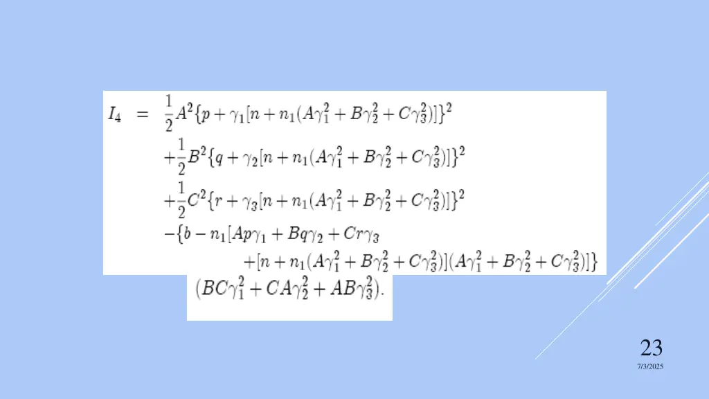
  23. 23 7/3/2025

  24. The second case: Generalized Clebsch case A=B=C 24 7/3/2025

  25. Note that the quadratic integral becomes cubic in velocities (Really rare phenomenon!) 25 7/3/2025

  26. The third case Gneralized cases of Lyapunov (1898) Rubanovsky (1968) It is also a case of complete dynamical symmetry 26 7/3/2025

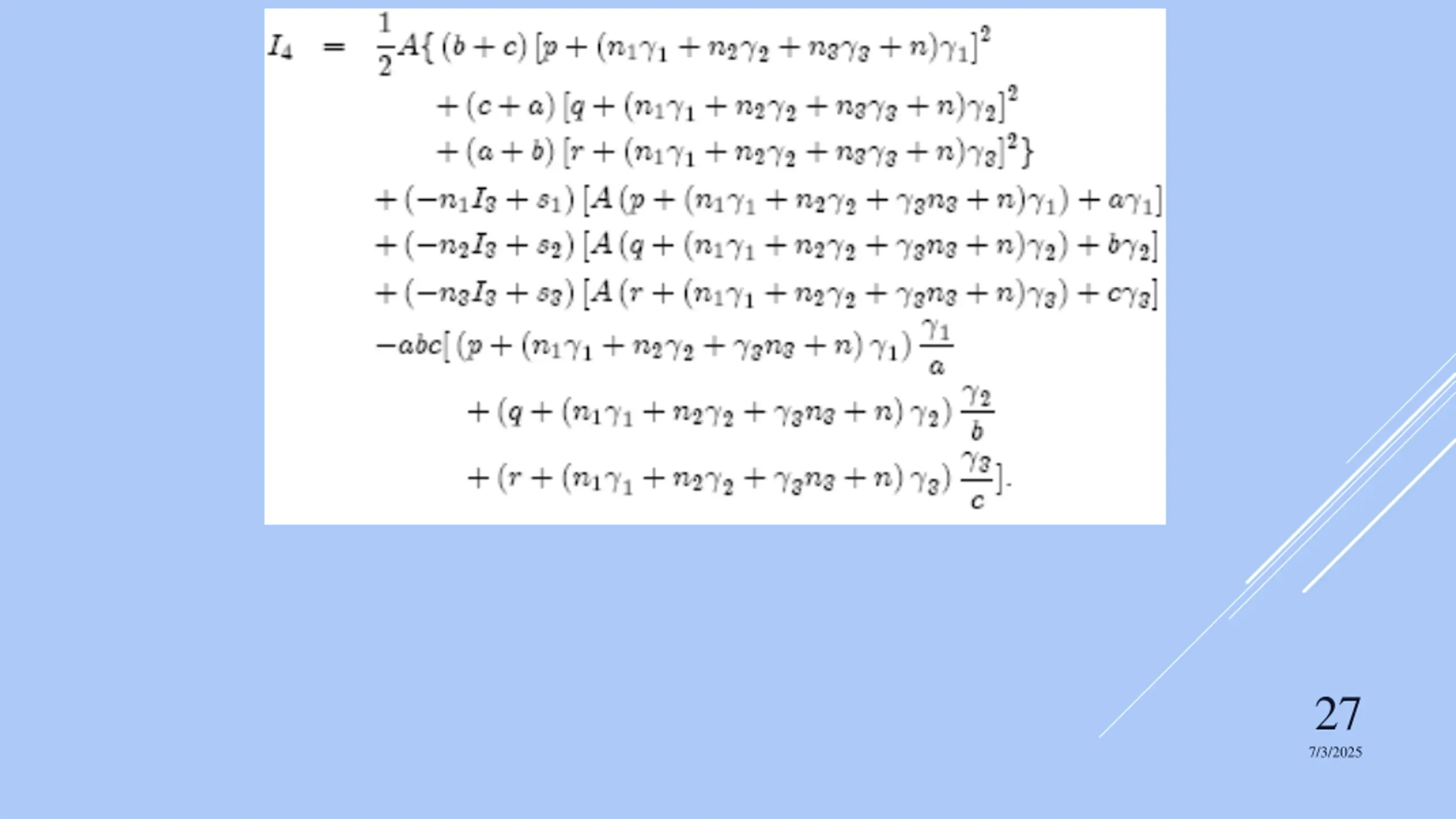
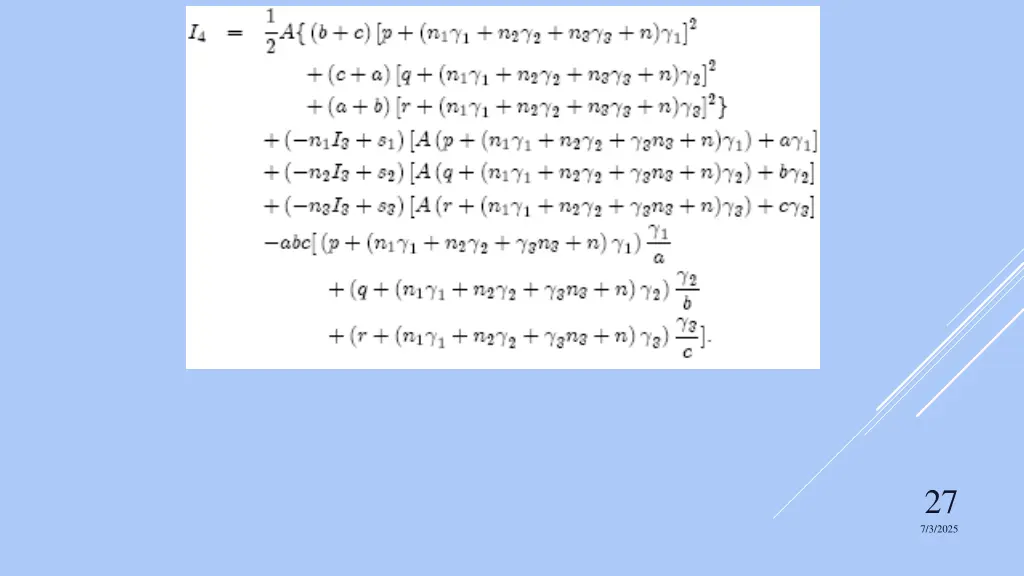
  27. 27 7/3/2025

  28. The fourth case (Generalized Kovalevskaya - Yehia 1986 case) In this case the body has the famous Kovalevskaya configuration A=B=2C and 28 7/3/2025

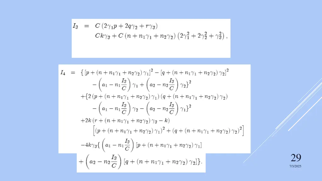
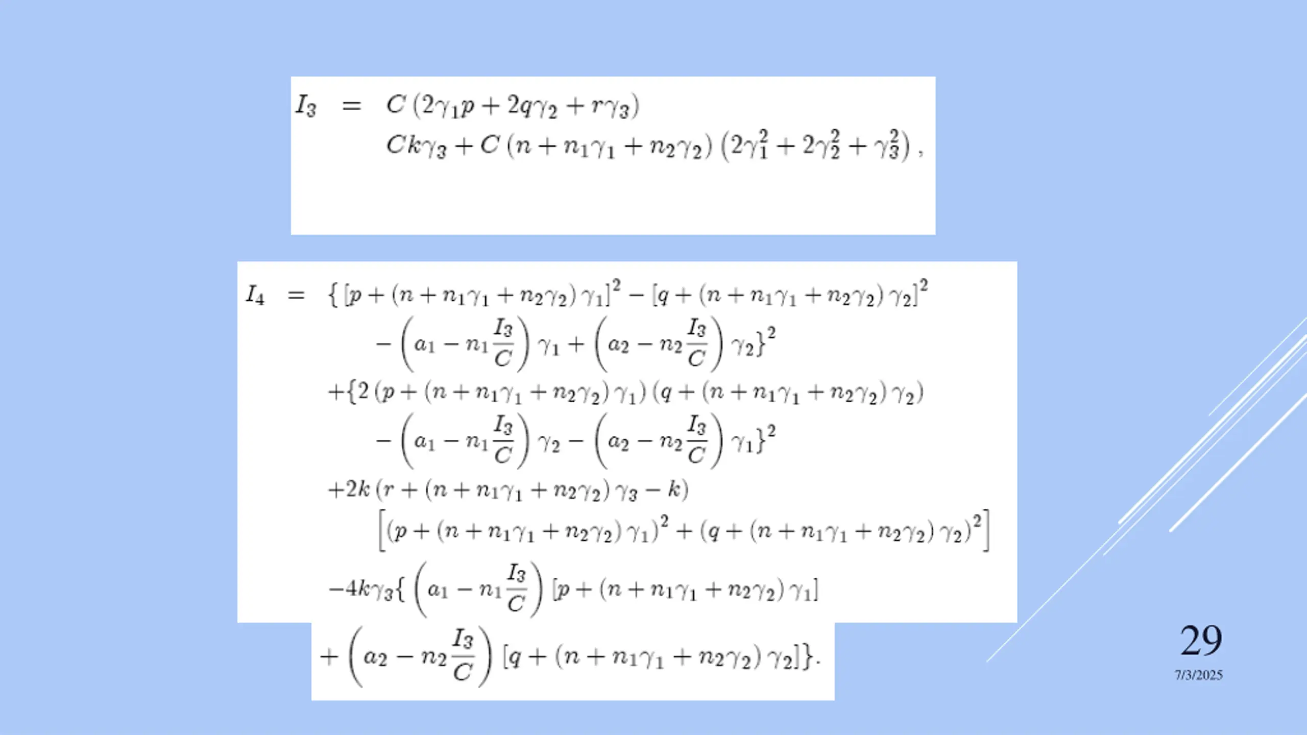
  29. 29 7/3/2025

  30. The fifth case. A case of singular potential For A=B=2C 30 7/3/2025

  31. Conditional generalizations Transformation with arbitrary function and arbitrary constant takes the Rubanovsky (1968)-Kharlamov (1963) Steklov (1896) case 31 7/3/2025

  32. to the conditional case I3= 32 7/3/2025

  33. Integrable cases of an axisymmetric body under asymmetric forces. B=Aand is cyclic 33 7/3/2025

  34. Two known integrable cases: 1- Axially symmetric body in Brun s asymmetric potential 34 7/3/2025

  35. Third integral is CUBIC 35 7/3/2025

  36. The second integrable case Asymmetric equivalent of generalized Lyapunov case of a body in liquid (Celest. Mech. 1988). OR The body is heavy, magnetized and electrically charged, acted upon by skew non-uniform gravity, magnetic and electric fields. 36 7/3/2025

  37. Integrable cases of a body with combined (quaternion) symmetry Lagrangian of this system is depend only on combination of variables 37 7/3/2025

  38. The transformation leads to 38 7/3/2025

  39. Case 1: A body with the Kovalevskaya configuration A=B=2C 39 7/3/2025

  40. The corresponding integrals are 40 7/3/2025

  41. Case 2: A=B=C 41 (The third integral is CUBIC ) 7/3/2025

  42. Thank you 42 7/3/2025

More Related Content