
Examples of Natural Response in Electrical Networks
Explore the natural response of RC and RL circuits in electrical networks through examples. Understand how to solve capacitor voltage and current scenarios without external sources. Learn about the behavior of circuits when independent sources are set to zero and find solutions for the natural response in RC circuits.
Download Presentation

Please find below an Image/Link to download the presentation.
The content on the website is provided AS IS for your information and personal use only. It may not be sold, licensed, or shared on other websites without obtaining consent from the author. If you encounter any issues during the download, it is possible that the publisher has removed the file from their server.
You are allowed to download the files provided on this website for personal or commercial use, subject to the condition that they are used lawfully. All files are the property of their respective owners.
The content on the website is provided AS IS for your information and personal use only. It may not be sold, licensed, or shared on other websites without obtaining consent from the author.
E N D
Presentation Transcript
EEL 3004 ELECTRICAL NETWORKS -Lecture 16 Examples of Natural Response
Lecture Objectives The lecture today will focus on: Examples of Natural Response of RC circuits, for solving capacitor voltage and current.
Natural Response of RC and RL circuits The natural response for an RC and RL circuits are obtained when the external independent source is set to zero. For the natural responses to exist it is required that the capacitor and inductor have energy stored in it at the moment of switching and the parallel RC and RL circuits are obtained. After certain action (switching): R s and C s R s and L s Natural Response when no External source after t<0 Natural Response when no External source after t<0
Natural Response of RC circuits Assume the switch was closed for a long time. Switch that is opened at t=0 to remove the applied current source. Find the natural response after the switch has been opened.
Natural Response of RC circuits Assume the switch was closed for a long time. Switch that is opened at t=0 to remove the applied current source. Find the natural response (voltage vc) after the switch has been opened. t > 0 No voltage or current sources
Natural Response of RC circuits I) Find vc for t < 0 (Long time when the switch was closed): Since we have DC current, therefore, the capacitor behaves like an open circuit prior to opening the switch. R R + dv ) = S 0 ( v I = = C 0 i C C S C R R dt S Since the voltage on the capacitor cannot change instantaneously, R R v v v + + = = = S 0 ( ) ) 0 ( 0 ( ) I C C C S R R S
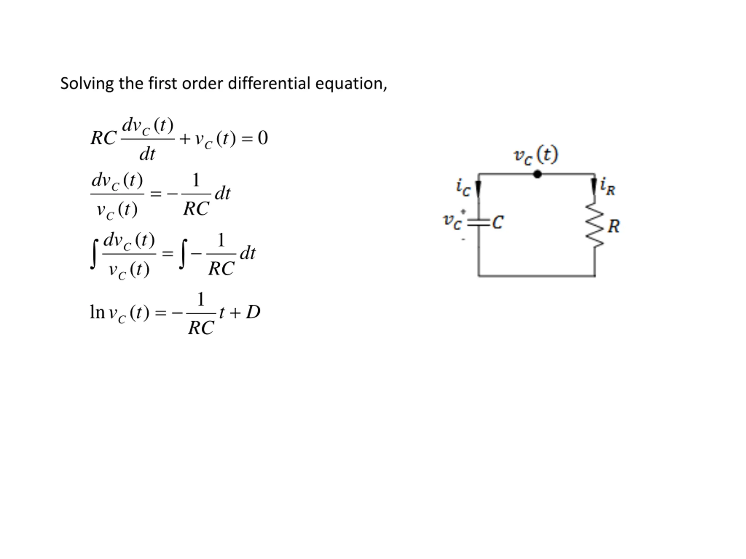
Natural Response of RC circuits II) Find vc for t > 0 (The time after the switch is opened): The equivalent circuit for t > 0. Applying KVL around the loop. ( ) dv t An ordinary first-order differential equation with constant coefficients + = C ( ) 0 RC v t C dt
Natural Response of RC circuits Solve first order DEQ: ( ) dv t + = C ( ) 0 RC v t C dt ( ) dv t ) 1 = C dt ( v t RC C t t ( ) dv t ) 1 = C dt ( v t RC C 0 0 1 = ln ( ) ln ) 0 ( v t v t C C RC ( ) v t 1 1 = C ln t t = ( ) ) 0 ( v t v e RC ) 0 ( v RC C C C
Natural Response of RC circuits The final expression is given by, t = ( ) ) 0 ( v t v e C C Where, R R + Capacitor initial value = S ) 0 ( v I C S R R S = RC Time constant
Natural Response of RC circuits The final expression is given by, t = ( ) ) 0 ( v t v e C C At t=5 the capacitor voltage becomes practically zero.
Natural Response of RC circuits The induced current in the resistor, is the same as the induced current in the capacitor, = i i R C dv = C C dt t R = S , 0 I e t S + R R S
Natural Response of RC circuits Instantaneous power in the resistor, = ( ) ( ) ( ) p t i t v t R R R 2 ( ) v t = C R 2 2 RC t ) 0 ( R v = C , 0 e t Instantaneous energy dissipated in the resistor, t = ( ) ( ) w t p t dt R R 0 2 RC t 1 2 = ) 0 ( 1 , 0 Cv e t C 2
Natural Response of RC circuits At t=0, the energy dissipated in the resistor starts at zero value, and as t it reaches, 1 2 ) 0 ( Cv C 2 Which is the amount of energy that was initially stored in the capacitor at t=0.
General Natural Response of RC circuits Any given resistive-capacitive circuit without external independent DC sources that can be reduced to a parallel equivalent RThCeq circuit. The general solution for vC(t) is given, t ThC R + = ( ) 0 ( ) v t v e eq C C
Example For the following RC circuit with a DC voltage source. Initially the switch has been connected to position a for a long time. At t=0, the switch moved to position b . Determine: a) The voltage response for vC(t), for t 0, b) The current iR(t) for t>0, c) The total energy dissipated in R at t= , 5 , and . Variable Default Unit Vo R 8.6 V 4.5 k Ro1 Ro2 C 8 k 16 k 2.1 mF
For t < 0 the capacitor is fully charged. Hence at t=0- we have, R = 2 o 0 ( ) v V C o + R R 1 2 o o = 7 . 5 V
For t > 0, Applying KCL to the top node yields, + = 0 i i C R Substituting for iC and iR in terms of vC(t), ( ) ( ) dv t v t + = C C 0 C dt R
Solving the first order differential equation, ( ) dv t + = C ( ) 0 RC v t C dt ) ( dv t ) 1 = C dt ( v t RC C ( ) dv t ) 1 = C dt ( v t RC C 1 = + ln ( ) v t t D C RC
Solving the first order differential equation, ( ) dv t + = C ( ) 0 RC v t C dt ) ( dv t ) 1 = C dt ( v t RC C ( ) dv t ) 1 = C dt ( v t RC C 1 = + ln ( ) v t t D C RC Solving for vC(t), -t RC+D=e -t RCeD vC(t)=e -t RC = Ke K
Evaluating the above equation at t=0, vC(0)= K Ro2 = Vo Ro1+Ro2 = 5.7 V Hence, the general solution for vC(t) is given by, 1 R t = 2 o ( ) v t V e RC C o + R R 1 2 o o . 0 = 11 t 7 . 5 e V
The current across the resistor can be calculated as, ( ) v t = C ( ) i t R R 1 R V 2 + t = o o e RC ( ) R R R 1 2 o o 3 . 1 = . 0 11 t e mA The total energy dissipated in R is given by, 2 t 1 2 = ( ) 0 ( )( 1 ) w t Cv e RC R C 2 . 0 = 22 t . 0 034 1 ( ) e J
Calculating , = RC . 9 = 45 s Energy dissipated at different times can be found as, 1 2 = 2 ( ) 0 ( )( 1 ) w Cv e R C 2 = . 0 029 J 1 2 10 = 5 ( ) 0 ( )( 1 ) w Cv e R C 2 = . 0 034 J 1 2 = ( ) ) 0 ( w Cv All the initial energy that was stored in C is released to R as t R C 2 = . 0 034 J