Exploring Phase Space and Liouville Theorem in Classical Mechanics

phy 711 classical mechanics and mathematical n.w
1 / 40
Embed
Share

Dive into the concepts of phase space and the Liouville theorem in classical mechanics. Understand the significance of density of particles, Poisson brackets, and Hamiltonian formalism in describing the behavior of systems. Discover the notions of momentum, coordinates, and degrees of freedom in phase space diagrams.

  • Mechanics
  • Phase Space
  • Liouville Theorem
  • Classical Physics
  • Hamiltonian Formalism

Uploaded on | 1 Views


Download Presentation

Please find below an Image/Link to download the presentation.

The content on the website is provided AS IS for your information and personal use only. It may not be sold, licensed, or shared on other websites without obtaining consent from the author. If you encounter any issues during the download, it is possible that the publisher has removed the file from their server.

You are allowed to download the files provided on this website for personal or commercial use, subject to the condition that they are used lawfully. All files are the property of their respective owners.

The content on the website is provided AS IS for your information and personal use only. It may not be sold, licensed, or shared on other websites without obtaining consent from the author.

E N D

Presentation Transcript


  1. PHY 711 Classical Mechanics and Mathematical Methods 10-10:50 AM MWF Online or (occasional) in Olin 103 Plan for Lecture 13 Chap. 3&6 (F&W) 1. Phase space 2. Liouville theorem 3. Examples 9/23/2020 PHY 711 Fall 2020 -- Lecture 13 1

  2. Physics Colloquium Thursday, September 24, 2020 -- Bring your ideas and suggestions -- 9/23/2020 PHY 711 Fall 2020 -- Lecture 13 2

  3. 9/23/2020 PHY 711 Fall 2020 -- Lecture 13 3

  4. 9/23/2020 PHY 711 Fall 2020 -- Lecture 13 4

  5. With the Hamiltonian formalism comes the notion of phase space -- ( , ) ) = ( ( , ) H H q t p t t dq H H = = constant if 0 q dt p p dp H H = = constant if 0 p dt q q dH H H H for = + + q p dt Similarly q p t an ( , ) ) = arbitrary function : ( ( , ) F F q t p t t dF F F F F H F H F = + + = + q p dt q p t q p p q t 9/23/2020 PHY 711 Fall 2020 -- Lecture 13 5

  6. ( ) = For an arbitrary function: ( ) , ( ) , F F q t p t t dF dt F q F p F t F q H p F p H q F t = + + = + q p Short and notation -- Poisson brackets at: F,H dt F q G p F p G q F t = F,G G,F PB PB dF = + So th PB 9/23/2020 PHY 711 Fall 2020 -- Lecture 13 6

  7. Poisson brackets -- continued: F G F G = F,G G,F PB PB q p p q Examples x,x : ,L = = = 0 = 1 0 x,p x,p PB x y PB PB L L x y z PB Liouville theorem density Let dD of particles D phase in space : D In the following slides we will justify this statement using several approaches. = + = 0 D,H PB dt t 9/23/2020 PHY 711 Fall 2020 -- Lecture 13 7

  8. Phase space Phase space is defined at the set of all coordinates and momenta of a system: ( For a dimensional system with particles, the phase space corresponds to 2 ) d ( ) , ( ) q t p t N dN degrees of freedom. The notion of density of particles in phase space is simply the ratio of the number of particles per unit phase space volume. It seems reasonable that under conditions where there are sources or sinks for the particles, that the density should remain constant in time. 9/23/2020 PHY 711 Fall 2020 -- Lecture 13 8

  9. Phase space diagram for one-dimensional motion due to constant force p x 2 p p m ( ) = = = , H x p F x p F x 0 0 2 m 1 2 p m = + = + + 2 ( ) ( ) p t p F t x t x t F t 0 i 0 0 0 0 i i i i 9/23/2020 PHY 711 Fall 2020 -- Lecture 13 9

  10. Phase space diagram for one-dimensional motion due to spring force p x 2 1 2 p p m ( ) = + = = 2 2 2 , H x p m x p m x x 2 m p m ( ) ( ) = + = + ( ) cos ( ) sin p t p t x t t 0 i 0 0 0 i i i i i 9/23/2020 PHY 711 Fall 2020 -- Lecture 13 10

  11. Liouvilles Theorem (1838) The density of representative points in phase space corresponding to the motion of a system of particles remains constant during the motion. ( , ) t ) = Denote density the q of particles phase in space : ( ( , ) t D D q p t dD D D D = + + q p dt p t dD = According Liouville' to theorem s : 0 dt 9/23/2020 PHY 711 Fall 2020 -- Lecture 13 11

  12. Liouvilles theorem (x+ x,p+ p) (x,p+ p) p D x t (x+ x,p) (x,p) p x 9/23/2020 PHY 711 Fall 2020 -- Lecture 13 12

  13. Liouvilles theorem -- continued (x+ x,p+ p) (x,p+ p) p D x t (x+ x,p) (x,p) p x D t time rate of change of particles within volume = time rate of particle entering minus particles leaving D D x p x p = 9/23/2020 PHY 711 Fall 2020 -- Lecture 13 13

  14. Liouvilles theorem -- continued (x+ x,p+ p) (x,p+ p) p D x t (x+ x,p) (x,p) p x D D D = x p t x p D D D dD + + = = 0 x p t x p dt 9/23/2020 PHY 711 Fall 2020 -- Lecture 13 14

  15. Review: Liouville s theorem: Imagine a collection of particles obeying the Canonical equations of motion in phase space. distributi " the denote Let p q q D D N = on" of particles phase in space : D ( , ) : , p t 1 3 1 3 N Liouville' dD = theorm s shows that 0 constant is D in time dt Note that we are assuming that no particles are created or destroyed in these processes. 9/23/2020 PHY 711 Fall 2020 -- Lecture 13 15

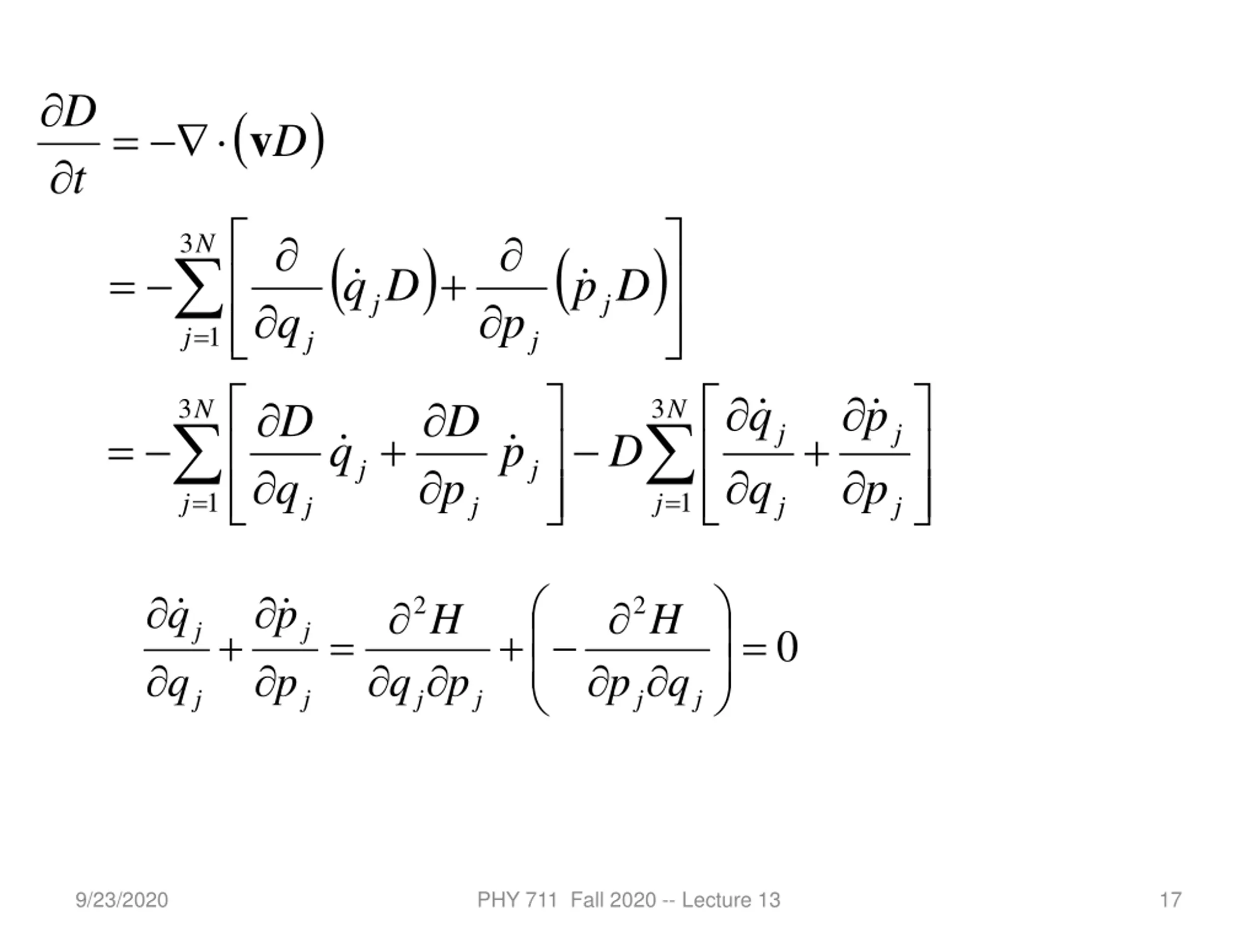
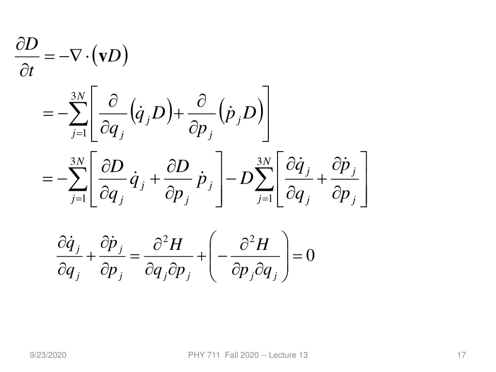
  16. Another proof of Liouvilles theorem: v D Continuity equation : t D ( ) = v D t v Note v = velocity the case, in this : p r r r N the is 6 dimensiona vector l : N ( also = ) p p , , , , , 1 2 1 2 N N We have 6 a dimensiona gradient l : ( ) , , , , , r r r p p p 1 2 N 1 2 N 9/23/2020 PHY 711 Fall 2020 -- Lecture 13 16

  17. D ( ) = v D t q p ( ) ( ) 3 N = j = + q D p D j j 1 j j q p 3 3 N N D D = j = j j j = + + q p D j j q p q p 1 1 j j j j q p q p 2 2 H H j j + = + = 0 q p p q j j j j j j 9/23/2020 PHY 711 Fall 2020 -- Lecture 13 17

  18. 0 q p 3 3 N N D D D = j = j j j = + + q p D j j t q p q p 1 1 j j j j 3 = j N D D D = + q p j j t q p 1 j j 3 = j N D D D dD + + = = 0 q p j j t q p dt 1 j j 9/23/2020 PHY 711 Fall 2020 -- Lecture 13 18

  19. dD = 0 dt Importance of Liouville s theorem to statistical mechanical analysis: In statistical mechanics, we need to evaluate the probability of various configurations of particles. The fact that the density of particles in phase space is constant in time, implies that each point in phase space is equally probable and that the time average of the evolution of a system can be determined by an average of the system over phase space volume. 9/23/2020 PHY 711 Fall 2020 -- Lecture 13 19

  20. Modern usage of Lagrangian and Hamiltonian formalisms J. Chem. Physics 72 2384-2393 (1980) 9/20/2019 PHY 711 Fall 2019 -- Lecture 12 20

  21. Molecular dynamics is a subfield of computational physics focused on analyzing the motions of atoms in fluids and solids with the goal of relating the atomistic and macroscopic properties of materials. Ideally molecular dynamics calculations can numerically realize the statistical mechanics viewpoint. Imagine that the generalized coordinates atoms, each with 3 spacial coordinates: N = ( ) represent q t ( ) = ( ) , ( ) , L L q t q t t T U For simplicity, it is assumed that the potential interaction is a sum of pairwise interactions: 9/20/2019 PHY 711 Fall 2019 -- Lecture 12 21

  22. rij ( ) ( , ) ) i i 2 = = r r r r r ( ( ) L L t t m u 1 i i i i i j 2 j From this Lagrangian, can find the 3N coupled 2nd order differential equations of motion and/or find the corresponding Hamiltonian, representing the system at constant energy, volume, and particle number N (N,V,E ensemble). 9/20/2019 PHY 711 Fall 2019 -- Lecture 12 22

  23. Lagrangian and Hamiltonian forms ( ) ( ) 2 = = r r r r r ( ) , t ( ) t L L m u 1 i i i i i j 2 i j i Euler-Lagrange equations: d m dt r r r r 2 r ( ) i j = r r i ' u i i j 2 i j i j Hamiltonian formulation: m = p r i i i 2 p ( ) i = + r r H u i j 2 m i j i i Canonical equations: d dt m r r r r r p p ( ) d i j = = r r i i i ' u i j dt i j i i j 9/20/2019 PHY 711 Fall 2019 -- Lecture 12 23

  24. Digression on numerical evaluation of differential equations dimension) (one equation al differenti Example ; 2 d x 2 ( ) = = = ( ) Let 3 , 2 , 1 f t t nh n dt ( ) ( ) ; x x nh f f nh n n Euler' method s : 1 = + + 2 x x hv h f + 1 n n n n 2 = + v v hf x + 1 n n n Velocity Verlet algorithm : 1 = + + 2 x x hv h f + 1 n n n n 2 t 1 ( ) = + + v v h f f + + 1 1 n n n n 2 9/20/2019 PHY 711 Fall 2019 -- Lecture 12 24

  25. H. C. Andersen wanted to adapt the formalism for modeling an (N,V,E) ensemble to one which could model a system at constant pressure (P). P V constant P constant, V variable 9/20/2019 PHY 711 Fall 2019 -- Lecture 12 25

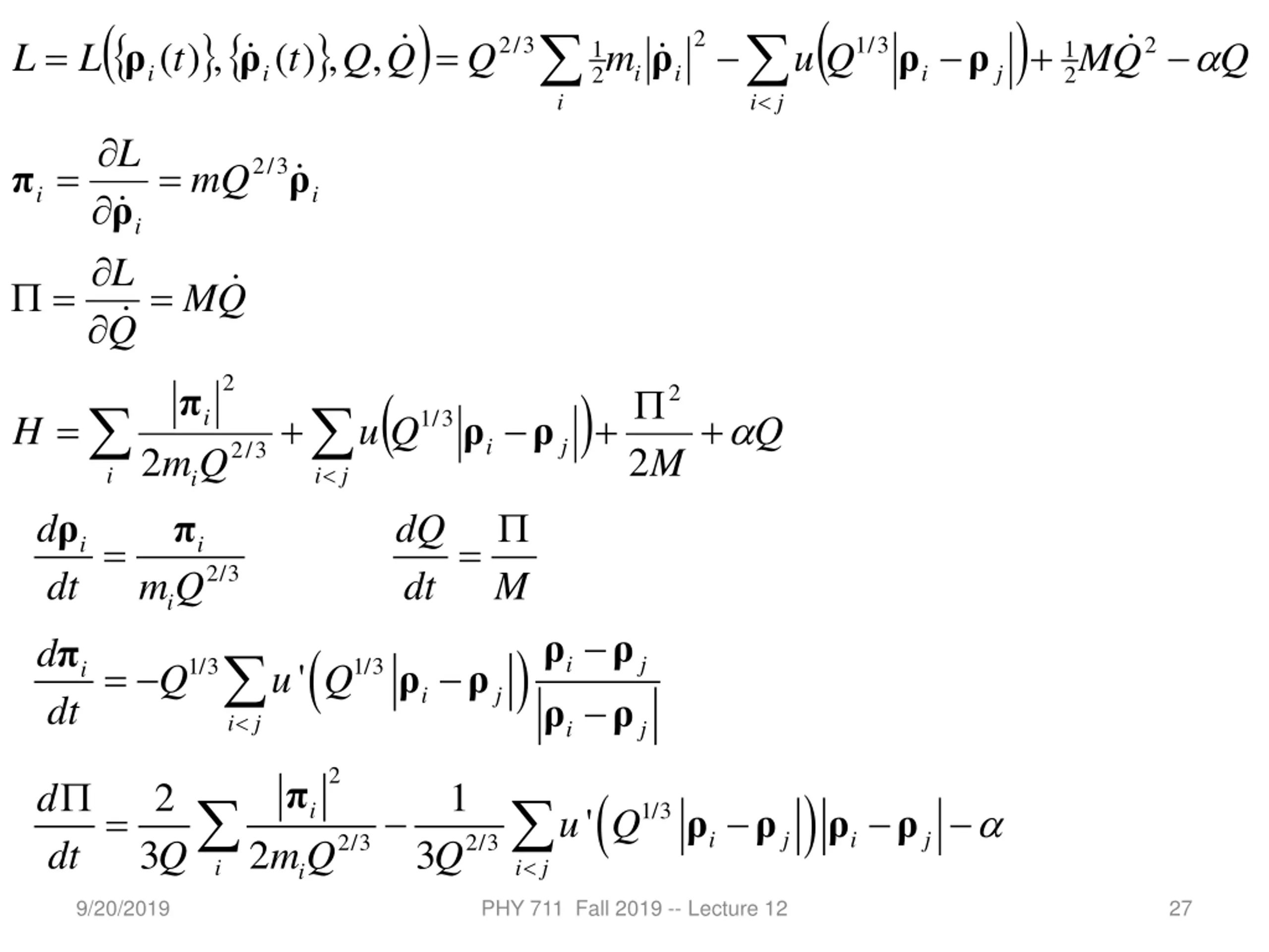
  26. PV contribution to potential energy Andersen' clever tra s nsformatio n : = / 1 3 r Let / Q i i ( ) ( , ) ) 2 = = r r r r r ( ( ) L L t t m u 1 i i i i i j 2 i i j ( ) ( ) , ) 2 Q Q = = + / 2 3 / 1 3 2 ( ( , ) , L L t t Q Q m u Q M Q 1 1 i i i i i j 2 2 i i j kinetic energy of balloon 9/20/2019 PHY 711 Fall 2019 -- Lecture 12 26

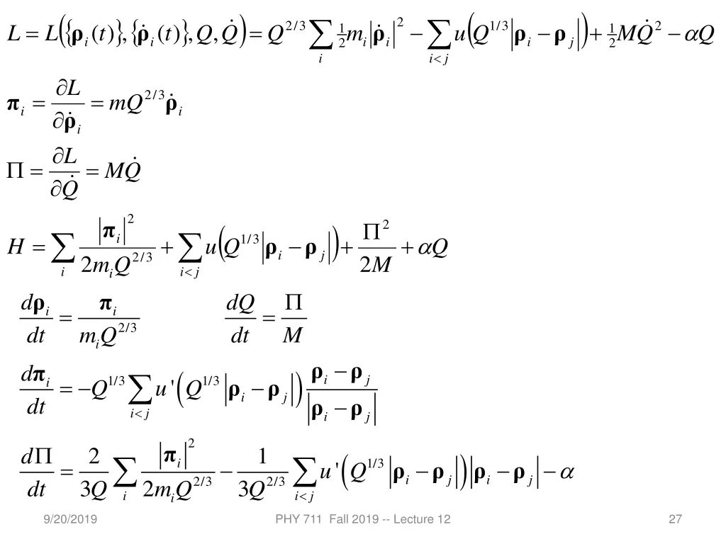
  27. ( ) ( ) , ) i i 2 Q Q = = + / 2 3 / 1 3 2 ( ( , ) , L L t t Q Q m u Q M Q 1 1 i i i i i j 2 2 j L = = / 2 3 mQ i i i L Q = = M Q 2 ( ) 2 2 i i = + + + i / 1 3 H u Q Q i j / 2 3 2 m Q M j i d dQ dt = = i i 2/3 dt mQ M i ( ) d i j = 1/3 1/3 ' i Q u Q i j dt i j i j 2 = ( ) 2 Q 1 d i 1/3 ' u Q i j i j 2/3 2/3 3 2 3 dt mQ Q i j i i 9/20/2019 PHY 711 Fall 2019 -- Lecture 12 27

  28. Relationship between system representations Scaled Original ( ) ( ) i Q / Equations of motion in original coordinates: ( ) ( ) t = Q t V r t = 3 / 1 Q t i = 3 / 1 p i i r p 1 ln d d V = + r i i i 3 dt p m dt i ( ) r r 1 ln d d V j i j = r r p ' i u i j i 3 dt dt r r i i j ( ) 2 p p 1 2 1 d V 2 i j = + r r r r ' i m i M u i j i j 3 3 dt V i i 9/20/2019 PHY 711 Fall 2019 -- Lecture 12 28

  29. Physical interpretation: Imposed (target) pressure p p ( ) 1 2 V 1 3 r r r r i i ' Internal pressure of system u i j i j 3 m j i i i Time dependence p p 2 ( ) 1 2 V 1 3 d V dt = + r r r r i i ' M u i j i j 2 3 m j i i i Averaged over many time steps: p p 2 ( ) 1 2 V 1 3 d V dt = = r r r r i i 0 ' M u i j i j 2 3 m j i i i 9/20/2019 PHY 711 Fall 2019 -- Lecture 12 29

  30. Example simulation for NPT molecular dynamics simulation of Li2O using 1500 atoms with =0 Pair interaction potential C r q q / r ij i r j = + ( ) ij u r A e ij i j ij ij 6 ij ij Use LAMMPS code http://LAMMPS.sandia.gov 9/20/2019 PHY 711 Fall 2019 -- Lecture 12 30

  31. P (GPa) t (ps) V ( 3) t (ps) 9/20/2019 PHY 711 Fall 2019 -- Lecture 12 31

  32. 9/20/2019 PHY 711 Fall 2019 -- Lecture 12 32

  33. Nose 's Lagrangian: 1 2 1 2 ( r r ( = + + 2 2 i 2 r r , , s , ) s ) ( 1) ln L ms Q s f kT s i i i i e q i fictitious mass velocity scaling Equations of motion: 9/20/2019 PHY 711 Fall 2019 -- Lecture 12 33

  34. Time averaged relationships + ( 1) s f kT eq = 2 i r Qs m s i i + ( 1) s f kT eq = = 2 i r 0 Qs m s i i 9/20/2019 PHY 711 Fall 2019 -- Lecture 12 34

  35. Time averaged relationships Hamiltonian = = 2 p r where m s p Qs i i i s 9/20/2019 PHY 711 Fall 2019 -- Lecture 12 35

  36. In statistical mechanics, the thermodynamic functions can be analyzed in terms of a partition function. A canonical partition function for a system with particles at a temperature can be determi eq N T integral: 1 ! N ned from the phase space , i r H p ( )/ kT = 3 3 N N Z d r d p e i eq c 2 i p ( , i r H ( + p r where ) ) i i 2 m i i , i r p For such a canonical distribution the average value of a quantity ( is given by 1 1 ) i c Z ! N ) F i , i r , ( i r ( , i r H p ( ) / k T = 3 3 N N p p ) F d r d p e F i eq i c Nose was able to show that his effective Hamiltonian well approximates such a canonical distribution. 9/20/2019 PHY 711 Fall 2019 -- Lecture 12 36

  37. Relationship between Noses partition function and the canonical partition function: constant factor Some details: Starting with partition for microcanonical ensemble: 9/20/2019 PHY 711 Fall 2019 -- Lecture 12 37

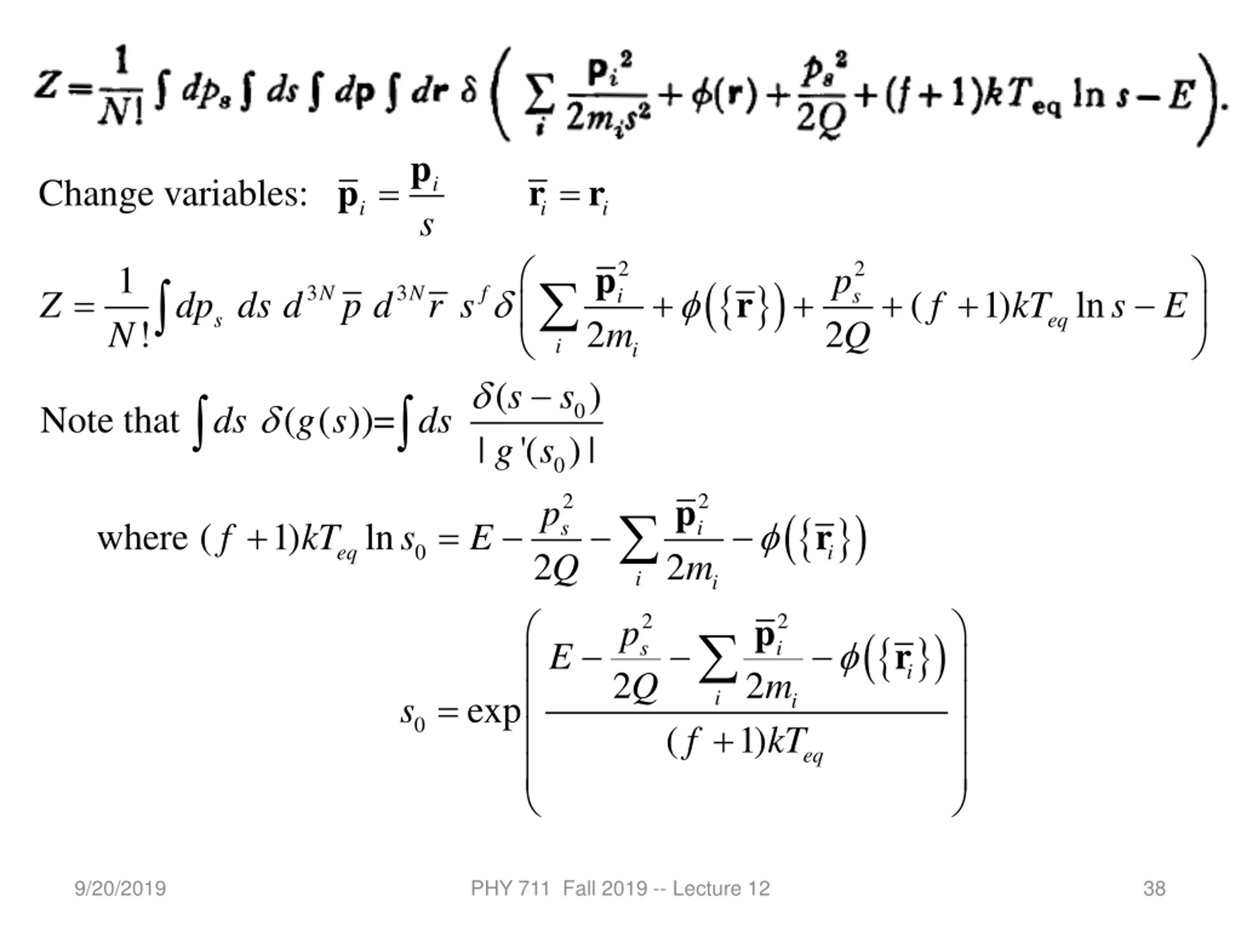
  38. p = = p r r Change variables: i i i i s 2 i 2 s p 1 N p ( ) r = + + + + 3 3 N N f ( 1) ln Z dp ds d p d r s f kT s E s eq ! 2 ) 2 m Q i i ( g s s s ( ( ))= g s Note that | 0 ds ds '( )| 0 2 s 2 i p p ( ) r + = where ( 1) ln f kT s E 0 e q i 2 2 Q m i i 2 s 2 i p p ( ) r E i 2 2 1) Q m kT = i + exp i s 0 ( f e q 9/20/2019 PHY 711 Fall 2019 -- Lecture 12 38

  39. When the dust clears -- constant factor The Nose ensemble should sample phase space in the same way as does the canonical ensemble at Teq. 9/20/2019 PHY 711 Fall 2019 -- Lecture 12 39

  40. From LAMMPS simulation (using modified Nose algorithm) T (K) t (ps) 9/20/2019 PHY 711 Fall 2019 -- Lecture 12 40

Related


More Related Content