
Ginzburg-Landau Theory and Superconductivity Phenomena
Explore the Ginzburg-Landau theory and superconductivity phenomena in Physics 498 SQD through lectures and research on superconductor materials such as tunneling microscopy and YBCO. Discover the history, occurrence, and defining phenomena of superconductivity, along with BCS theory and Josephson tunneling. Dive into unconventional superconductivity, quantum computing devices, and topological materials like Majorana fermions.
Download Presentation

Please find below an Image/Link to download the presentation.
The content on the website is provided AS IS for your information and personal use only. It may not be sold, licensed, or shared on other websites without obtaining consent from the author. If you encounter any issues during the download, it is possible that the publisher has removed the file from their server.
You are allowed to download the files provided on this website for personal or commercial use, subject to the condition that they are used lawfully. All files are the property of their respective owners.
The content on the website is provided AS IS for your information and personal use only. It may not be sold, licensed, or shared on other websites without obtaining consent from the author.
E N D
Presentation Transcript
Today Lecture 6: Ginzburg-Landau theory --- supercurrents and fluxoid quantization Discussion the Ginzburg-Landau theory in three parts: 1. Presentation of the model and derivation of the penetration length and coherence length 2. Calculation of the surface energy and categorization of Type I and Type II superconductivity 3. Current-carrying states and phase coherence Lecture 7: BCS Theory Next Tuesday
Physics 498 SQD --- previous topics for Superconductor Materials and Phenomena papers 1. Electronic Structure of a Superconducting Vortex Probed by Tunneling Microscopy 2. Acoustic Attenuation and Velocity Measurements in YBCO 3. Proximity Effects in Unconventional Superconductors 4. Brief Review of the Superconducting Properties of Niobium 5. A Survey of the Low Temperature Vortex State of the High-Tc Superconductor BSCCO 6. Superconductivity in A3C60 7. Detailed Phase Transition Structure in a High-Tc Superconductor 8. The Hebel-Slichter Coherence Peak in Fullerene Superconductors 9. The Proximity Effect in Al-Superconductor Systems Observed by Tunneling Spectroscopy 10. Muon Spin Relaxation Experiments as Evidence for Time-Reversal Symmetry Breaking in UPt3 11. Superconducting Properties of B36C60 12. Vortex Nucleation at Surfaces of Superconductors: Nascent Vortices 13. The Fullerene Controversy: Isotope Effect Discrepancies in Rb3C60 14. Phonon-Induced Enhancemnet of the Eneregy Gap of Superconducting Al Films 15. Superconducting Properties of BEDT-TIF 16. Some Superconducting Properties of Fullerenes 17. Review of some Physical Properties and Parameters of Nb3Sn and V3Sn 18. Flux Pinning in Chevrel Phase Superconductors 19. Ultrasound Attenuation in UPt3 Find something in superconductivity (a material, phenomenon, mystery, calculation, experiment, ) from the course or internet that interests you and explore and understand it Paper ~ 10 pages w/ figures Due Wednesday, October 30
Lecture Date Day Topic Course content: Superconductor materials and phenomena 0 1 2 Aug Aug Sep Sep Sep Sep Sep Sep Sep Sep Oct Oct Oct 27 29 3 5 10 12 17 19 24 26 1 3 8 Tues Thurs Tues Thurs Tues Thurs Tues Thurs Tues Thurs Tues Thurs Tues NO CLASS --- qualifying exam History and occurrence of superconductivity Defining phenomena: zero resistance, diamagnetism, energy gap, NO CLASS --- cancelled Phenomenological theories: two-fluid, London, thermodynamic, ... Ginzburg-Landau theory 1 Ginzburg-Landau theory 2 Ginzburg-Landau theory 3 BCS theory 1 3 4 5 6 7 8 9 Superconductor materials and phenomena Lecture Date Day Topic Superconductor materials and phenomena NO CLASS --- qualifying exam BCS theory 2 BCS theory 3 BCS theory 4 0 Aug 27 Tues 1 Aug 29 Thurs History and occurrence of superconductivity 2 Sep 3 Tues Defining phenomena: zero resistance, diamagnetism, energy gap, 10 11 Sep 5 Thurs NO CLASS --- cancelled Phenomenological theories: two-fluid, London, thermodynamic, ... Beyond BCS --- unconventional superconductivity, Quasiparticle and Josephson tunneling Quasiparticle tunneling - theory Quasiparticle tunneling - applications Josephson tunneling - theory Josephson tunneling dc/ac effects Josephson tunneling magnetic field effects and Josephson interferometry Josephson tunneling the RSJ model Superconducting phenomenon/material paper due Josephson tunneling - Microbridges/SNS Junctions/SFS junctions dc SQUIDS - model dc SQUIDS - operation and applications Superconductor devices for Quantum Information Tues Quantum computing --- advantages and algorithms Thurs Macroscopic quantum tunneling and coherence Tues Conventional superconducting qubits Thurs Superconducting qubit technology Tues Thanksgiving Break Thurs Thanksgiving Break Tues Topological materials and Majorana fermions Thurs Majorana qubits --- nanowires Tues Majorana qubits --- S-TI-S junctiosn Thurs READING DAY Wed "FINAL EXAM" --- Superconductor device paper due 3 Sep 10 Tues 4 Sep 12 Thurs Ginzburg-Landau theory 1 5 Sep 17 Tues Ginzburg-Landau theory 2 6 Sep 19 Thurs Ginzburg-Landau theory 3 12 13 14 15 16 17 Oct Oct Oct Oct Oct Oct Oct Oct Nov Nov 10 15 17 22 24 29 30 31 5 7 Thurs Tues Thurs Tues Thurs Tues Wed Thurs Tues Thurs 7 Sep 24 Tues BCS theory 1 8 Sep 26 Thurs BCS theory 2 9 Oct 1 Tues BCS theory 3 10 Oct 3 Thurs BCS theory 4 11 Oct 8 Tues Beyond BCS --- unconventional superconductivity, Superconductor device physics Quasiparticle and Josephson tunneling 12 Oct 10 Thurs Quasiparticle tunneling - theory 13 Oct 15 Tues Quasiparticle tunneling - applications 14 Oct 17 Thurs Josephson tunneling - theory Paper #1 15 Oct 22 Tues Josephson tunneling dc/ac effects 18 19 20 16 Oct 24 Thurs Josephson tunneling magnetic field effects and Josephson interferometry 17 Oct 29 Tues Josephson tunneling the RSJ model Oct 30 Wed Superconducting phenomenon/material paper due 18 Oct 31 Thurs Josephson tunneling - Microbridges/SNS Junctions/SFS junctions 19 20 Nov Nov 5 7 Tues Thurs dc SQUIDS - model dc SQUIDS - operation and applications 21 22 23 24 Nov Nov Nov Nov Nov Nov Dec Dec Dec Dec Dec 12 14 19 21 26 28 3 5 10 12 18 Superconductor devices for Quantum Information Quantum computing --- advantages and algorithms 21 Nov 12 Tues 22 Nov 14 Thurs Macroscopic quantum tunneling and coherence 23 Nov 19 Tues Conventional superconducting qubits Applications in quantum information 24 Nov 21 Thurs Superconducting qubit technology Nov 26 Tues Thanksgiving Break Nov 28 Thurs Thanksgiving Break 25 Dec 3 Tues Topological materials and Majorana fermions 26 Dec 5 Thurs Majorana qubits --- nanowires 25 26 27 27 Dec 10 Tues Majorana qubits --- S-TI-S junctiosn Dec 12 Thurs READING DAY Dec 18 Wed "FINAL EXAM" --- Superconductor device paper due Paper #2
Type II Superconductivity ? > "??" field penetrates in discrete vortices VORTEX STATE (1) ? =? 1 ? > 2 negative surface energy maximize N-S interface area Fluxoid quantization smallest flux unit = ? (2) ? ? B ~ln ? ? ? ~? MEISSNER ? = 0 VORTEX NORMAL ? = ? 4?? B I ? I ? I ? r H I ? ??2 ??1 NORMAL ??3 nucleation of SC at surface SURFACE ? ? ??2 ? = Vortex density: nucleation of SC in bulk VORTEX ??1 flux entry into SC MEISSNER ? ??
When do these states form? Nucleation of SC in the bulk upper critical field ??2 When does SC start as ? is lowered? 0 2??2=4??2??2 upper critical field ??2= = 2 ? ?? 0 Vortex Nucleation lower critical field ??1 When do vortices enter as ? is raised?
Vortex Nucleation: When do vortices enter as ? is raised? Define critical field ??1 ????????= ???????? At ??1?? ? 0 vortices 1 vortex ? ? ??2 ??1 Let ? = line energy of vortex/length Tradeoff vortex energy vs. field energy (to allow ? to penetrate when applied field is ??1) ??1 4? =??1 1 4? 1 4? = ??1? ?? = ? ?? ? 0 ? ? ? = ? ? ?? 4? ??1=4?? lower critical field 0
?? Must solve ?? to get vortex slope: ? ? ,? ? Calculate line energy (field energy +?? 2 ??2 8? ??2 8? ?? 8? ?2 ?2~ ?2 ?2 ? ~ Guess: ? ? B ~ln field energy condensation energy ? ? ? ~? 1 Solutions ? 2 use full ?? I ? I ? I ? r I ? ? ~ ? tanh? ? ? 12 12 ? 0 2??2 ? 2 ?? (long range) ? ? ? ? 0 2??2?0 ? ? ? ? = ? ? = = ??2?0 0 2??2 ? ? ?+ 0.12 ? ? ? (short range) zero order Hankel function ? ? does not diverge in core flattens off as ?2 0 near center
2 ??2 8? 0 4?? 4??2 ? ? ? = ? ? = Find for the line energy: ??1=4? 0 4??2 ? ? = ?? ? ? 0?1= 2 ? ? ? ??1= ?? 1 12 2 ? ??= ??1??2 ? ? ??2= 2 ? ?? ??1~ 0 ?2 areas equal 4?? ??2~ 0 ?2 ?? ??2 ??1
Current-Carrying Situations ??2: cannot neglect phase --- ? is complex ? 2? ? ? 2 ? ?? ? ? ? ?? ??? ??= 12??? Let ? = ? ???= ?? ??=? ? 2 ? ??? ? ? ?? ? ? = ?? ?? ? ? ?? ? alternate descriptions ? ? ?? ? ?? ??= ?? ??= ?? ? 2??? = ??? ?? = ?? ? = ? 2? 2??? = ? ??+? ? ? ? ? ? = ? canonical momentum gauge-invariant phase
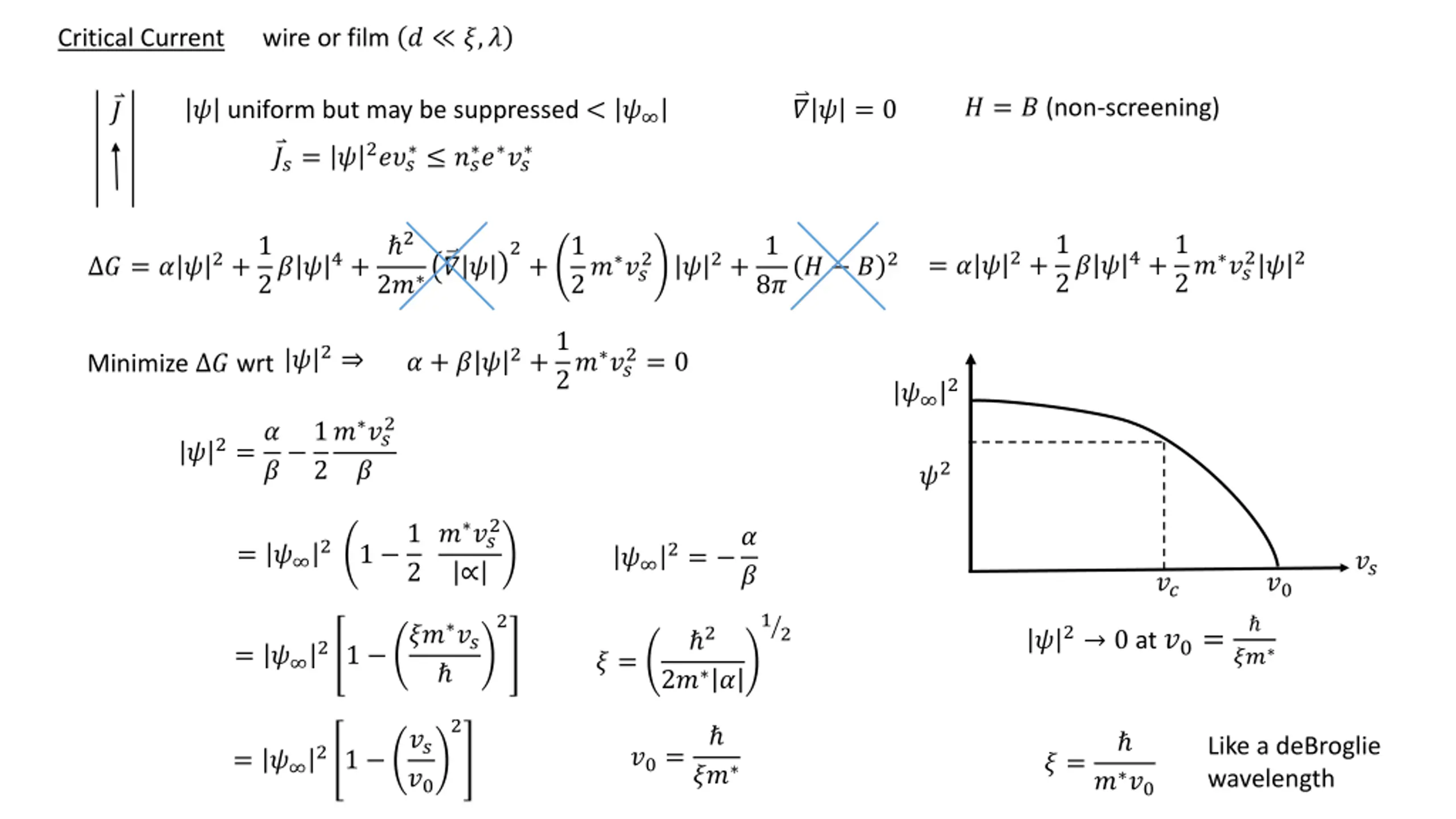
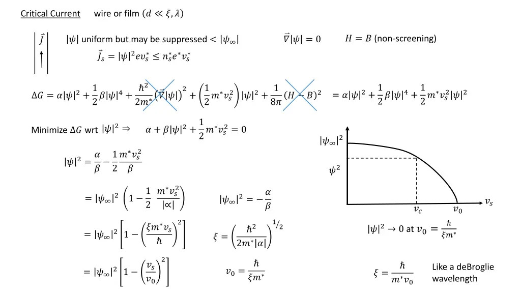
Critical Current wire or film ? ?,? ? ? = ? (non-screening) ? ? = 0 ? uniform but may be suppressed < ? ??= ?2??? ?? ? ?? 2 2? ? ? = ? ?2+1 2? ?4+1 ? = ? ?2+1 1 2? ??2 1 2+ 2? ??2?2 2? ?4+ ?2+ 8?? ?2 ? + ? ?2+1 ?2 2? ??2= 0 Minimize ? wrt 2 ? ? ??2 ? ?2=? ? 1 2 ?2 2 ? ??2 1 1 2= ? 2 = ? ? ?? ? ?? ?0 12 2 ?? ?? ?2 0 at ?0= 2 21 = ? ?? ? = 2? ? 2 ?? ?0 Like a deBroglie wavelength 21 ?0= = ? ? = ?? ? ?0
At ?? (max??) 2 ? ??1 1 ?? ?? 2 ? ???? = ?2? ??= ? ?2=2 2 3? ?2 ?? ?? 1 1 ?? ?0 = 3?0 ?? max at ??= ?? 3 ?? ?? ~0.6?0 Increase current, wire goes normal at ?? ?2 ?? ?0 ?? ? ? ? ? ? 2 ?? 2 ??= 3 3 GL depairing current Compare to London model: ? = ? always ? ??? ? ? 1 ? 32 = 3 6? ~ 12 ~ 1 ? 12 =??2 ??2 1 ? 1 2? ??2?? 8? ??= ? 4??? 12 This is observed in experiments if piling up of currents can be avoided by using small wires or ground-planed thin films 36 4 ???? ??2?? 4?? ? 2 ? ?? ?= ???= ?? ? ??= = 4? Larger (x 1.84) -- neglects suppression of ? by the current
Flux Quantization ? ?? microscopic coherence r ? ? needs to single-valued which forces a phase constraint: (range of changes in ) microscopic phase coherence over long range ? Singly-connected Multiply-connected ? 2? ? ? 2 ? ? ? ? ? ??= ? ?? ??? 1 2 ??? ? = ?? ??=? ? 2 ? ??? ? ?? ? ?? ? ? ?? ? = 0 ?? ? = 2?? ?? ? ? ? ??? 2 ?? ? ? ?? = ? + ? = ?? ? ? ? ??? 2 ?? ? ? ? ?? ? = ? ? + 2 ?? 2 ? = ? ? 1 ? ? ?? ? ? ? ? 2?? ? ? 2 ?? ? = + 1 = gauge invariant phase kinetic flux magnetic flux fluxoid
? 2? flux quantum 0= 2.07 10 15 ?? = 2.07 10 7 ? ??2 Fluxoid quantized in units of 0= 0 2? ?? ? = ? 0 = Fluxoid Special case : Bulk ?? ??= 0 ? = = ? 0 field-cooled superconductor cylinder = Deaver & Fairbank (1961) ? = 2?! ?
How can flux be quantized if ??= 0? CURRENTS flow within ? of surfaces ? Surface currents flow on OUTSIDE as field is applied screens bulk of SC and hole Zero-field cooled = 0 ? = 0 Finite-field cooled ? 0 ? Surface currents flow on INSIDE to maintain flux in hole, and on OUTSIDE to screen bulk INSIDE currents persist OUTSIDE currents reduce TRAPPED FLUX (some flux is pushed in, some out from bulk area to make quantized inside)
Fluxoid Quantization: ?? ???2 ?? ? = ? 0= + ?? = + ? ?? ? ?? = 0 = ? 0 flux quantization ?? 0 = ? 0 flux is not quantized SITUATIONS where this applies = ? 0 ?,? (1) Near surfaces (within ?) ?? sample with trapped flux ?? ???2 ??? ? (2) Near vortex core (within ?) (3) Thin samples ? < ? Little-Parks experiment (4) Rotating sample London rotation (5) Transport current ? ? thermoelectric effect (6) ?? weak links Josephson effect (7) Unconventional ?? ?-wave, ?-wave symmetry
(3) Little-Parks Experiment (1962) ? Data: ? is periodic in ? = Measure resistance of a superconductor cylinder just above Tc / 0 V -3 -2 -1 0 1 2 3 ? 2 1 Model: 0 / 0 -1 2 = ? 0= + ?? ? ??? = + ?? 1 2???? ?? ? ? ??= / 0 ?? 0 2 1 ??2 ?? determined by ? and --- maximize ? ?? small as possible: ? ~ ?? 1 2? ??2 / 0 2 1
Recall variation of ? with ??: ?2 2 ?? ?? ?2 = ? 2 2 1 ? 2 2 2? ? ? 0 2 1 = ? 0 2 1 0 1 2 ?? ria Transition temperature ?? when ?2 0 ? ?,? 2 1 0 1 2 2 2 0 1 ?2 = 2 ? ? ~ 1 ? 2 0 ?0 ?0 ?~ 12 1 ? 2 2 1 ? = ?? 2?0 ? ? ~ ? =? ?? 0 ?? Shows up experimentally as a variation in ? (at constant ?): =1 2 0 2 = ? +1 ?? ?? ?0 ? ?? = 0 ? Max suppression is 0 at ~ 2 ? ??
Significance of Little-Parks experiments: (1) showed reality of the fluxoid (2) demonstrated use of ?? free energy to understand experiments Sharvin & Sharvin repeated this experiment for nanoscale normal rings: ? ? Observed quantized magnetoresistance oscillations for 2?? < ?= ???? ? phase coherence length in ? (< 1??) This is due to phase coherence in normal metals over microscopic scales, not superconductivity Important result in nanoscale physics
(4) London rotation spinning ?? ring (thin) In rest frame, ?? ? 0 0 = ? 0 ?? Net magnetic flux generated due to rotation: London moment ? ?? ? ? = 2?? = ?? = 2?? ??2? ?? 2?? ?? ? ? ? General Rotation: ? = Area of loop ??= ? ? ?? ? ? = ?? = ?? ? ?? ? = ?? ? 2? ?? ? ? ?? ?? ? ? using ? ? ? = 2? from classical mechanics = 2?? ? ? 2? ? ? How big? ? = ? ??? ? = 2?? = 7 10 11 ?/?? ? uniform magnetic field ? = 3.5 0/??2/?? Can be used to detect rotations. Does not require a hole.
(5) Transport If ?? 0, then ?? 0 since ?= 0 so that ?= 0 Example: thermoelectric effects in superconductors ?2 ??= ???? = ?? ? ? ?? ? ?2 = ? 0 + ?? ?? ?? ? ? ?2 ?? ? ?? ?1 Fluxoid, not flux, is quantized! ?1 Can also do with ultrasound (phonon drag to get ??) ?? interrupted with one or more weak link sections with discrete ?? (6) Josephson Effect and SQUIDs ?? interrupted with a superconductor with phase anisotropy, giving a discrete phase change between different tunneling drirections (7) Unconventional ?? ?-wave, ?-wave, etc.