Histopathologic Diagnoses in Validation Non-ALD Controls
The histopathologic diagnoses of validation non-ALD controls were diverse, including metastatic squamous cell carcinoma, hemangioma, inflammatory liver injury, minimal steatosis, and more. Correlation analyses and comparisons related to FGF-21 expression, alcohol-associated liver diseases, and liver disease severity were conducted in different cohorts.
Download Presentation

Please find below an Image/Link to download the presentation.
The content on the website is provided AS IS for your information and personal use only. It may not be sold, licensed, or shared on other websites without obtaining consent from the author.If you encounter any issues during the download, it is possible that the publisher has removed the file from their server.
You are allowed to download the files provided on this website for personal or commercial use, subject to the condition that they are used lawfully. All files are the property of their respective owners.
The content on the website is provided AS IS for your information and personal use only. It may not be sold, licensed, or shared on other websites without obtaining consent from the author.
E N D
Presentation Transcript
Supplementary Table 1: Histopathologic diagnoses of validation non-ALD controls Subject Diagnosis 1. Metastatic squamous cell carcinoma 2. Hemangioma 3. Inflammatory liver injury 4. Minimal steatosis 5. Nonspecific portal inflammation 6. Sinusoidal congestion
1A AC p = 0.96 Supplementary Figure 1A | No correlation was found between FGF-21 expression and body mass index in subjects of the discovery cohort, (Spearman s rank correlation of 0.0053, p = 0.96).
1B ALD AC p = 0.336 Supplementary Figure 1B | No correlation was found between FGF-21 expression and body mass index in subjects of the validation cohort. (Spearman s rank correlation of 0.136, p = 0.336).
2A p = 0.39 Supplementary Figure 2A | In the discovery cohort, no clear difference was seen between patients with moderate to severe alcohol-associated hepatitis (AH) or alcohol-related cirrhosis (AC) based on recent consumption of alcohol (EtOH) in the past two weeks, (n = 22). A Kruskal-Wallis test was used given the non- parametric distribution of FGF-21 concentration.
2B Supplementary Figure 2B | No significant difference was observed between FGF-21 expression and alcohol use in subjects with alcohol-related liver disease in the validation cohort (t-test, p = 0.112).
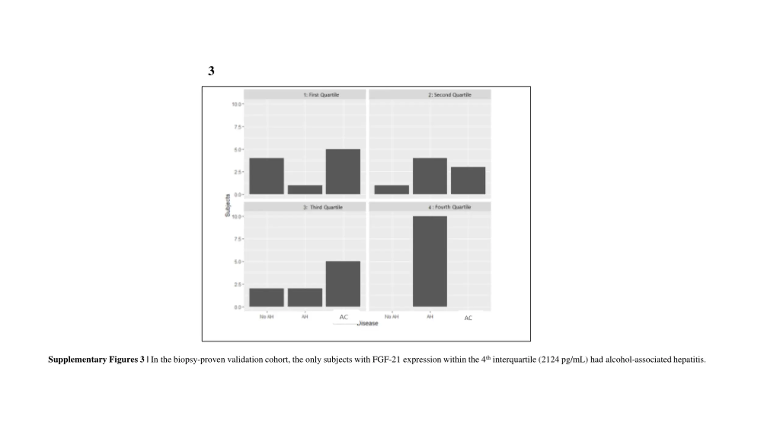
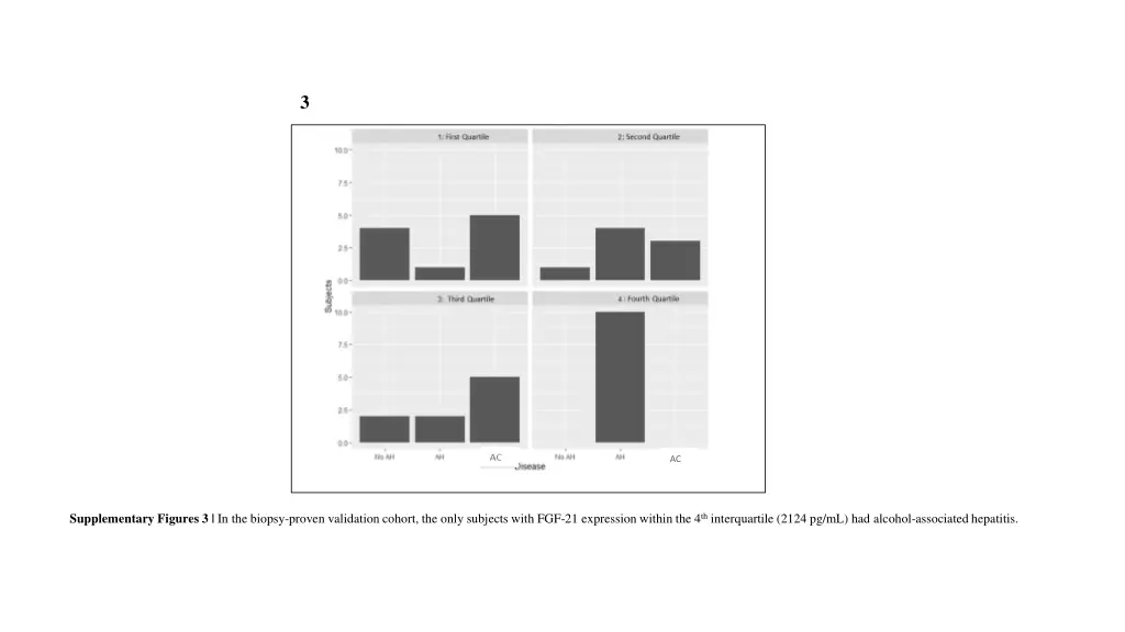
3 AC Supplementary Figures 3 | In the biopsy-proven validation cohort, the only subjects with FGF-21 expression within the 4th interquartile (2124 pg/mL) had alcohol-associated hepatitis.
4 AC Supplementary Figure 4 | Subjects with severe alcohol-associated hepatitis showed the highest FGF-21 within the spectrum of alcohol-related liver disease, including comparison to subjects with non-alcohol associated steatohepatitis (NASH) in the discovery cohort, with Kruskal-Wallis showing significance level of p < 0.001, and pairwise Wilcoxon rank-sum test showing p = 0.31 between control and NASH subgroups. Nonparametric tests used because of FGF-21 expression.
5A 5B AC alone, by MELD p = 0.03 p = ns 8000 8000 FGF21 level (pg/mL) FGF21 level (pg/mL) 6000 6000 4000 4000 2000 2000 0 0 AC 20-30 AC >30 AC (n=5) AH (n = 6) Cirrhosis Alone Supplementary Figures 5A-B | The differences in FGF-21 expression with MELD score did > 30 not reach significance (t-test, p = ns). However, the values for AC were heterogeneous where MELD scores were greater than 30 (n = 5) compared to those with MELD scores between 20-30 (n=5), and were significantly higher.
6A Strata Legend First Quartile Second Quartile Third Quartile Fourth Quartile (Days) Supplementary Figure 6A | Survival analysis of patients diagnosed with alcohol-associated hepatitis (log rank test, p = 0.016), the second quartile (FGF-21 conc. 267-844 pg/mL) still observed with the highest rates of survival without death or orthotopic liver transplantation, but the difference between the first and second quartile now is not significant (log rank test, p = 0.13).
6B Strata Legend First and Second Quartile Third Quartile Fourth Quartile Supplementary Figure 6B | Survival analysis of patients only diagnosed with alcohol-associated hepatitis at 28 days (log-rank test, p = 0.44). This difference is no longer significant despite the first and second quartiles trend towards higher short-term survival rates without death or orthotopic liver transplantation.
6C Strata Legend First and Second Quartile Third Quartile Fourth Quartile Supplementary Figures 6C | Survival analysis of patients only diagnosed with alcohol-associated hepatitis at 90 days (log-rank test, p = 0.44). This difference is no longer significant despite the first and second quartiles trend towards higher short-term survival rates without death or orthotopic liver transplantation.