
Low-Lying States in N=44 Isotones Analysis
Study of properties of low-lying states in N=44 isotones from 70Fe to 80Kr, covering collective motion, moments of inertia, and potential energy calculations. Results show agreement with experimental data. Various theoretical models are compared, and moments of inertia increased by 40% in 74Ge. The structure of the lowest quadrupole excitations in N=44 isotones is explored.
Download Presentation

Please find below an Image/Link to download the presentation.
The content on the website is provided AS IS for your information and personal use only. It may not be sold, licensed, or shared on other websites without obtaining consent from the author. If you encounter any issues during the download, it is possible that the publisher has removed the file from their server.
You are allowed to download the files provided on this website for personal or commercial use, subject to the condition that they are used lawfully. All files are the property of their respective owners.
The content on the website is provided AS IS for your information and personal use only. It may not be sold, licensed, or shared on other websites without obtaining consent from the author.
E N D
Presentation Transcript
Analysis of the properties of low-lying states in N=44 isotones from70Fe to80Kr E. V. Mardyban, N. N. Arsenyev, T. M. Shneidman, A. P. Severyukhin 1
Introduction by Carlotta Porzio Heyde and Wood, Rev. of Mod. Phys. 83, 1467 (2011) 2 by J. G. Hirsch and P. C. Srivastava
Model The quadrupole collective Hamiltonian can be written in general form as Types of collective motion described by the quadrupole Hamiltonian where and - determinant of the vibration inertia tensor: Moments of inertia are expressed as: T. Niksic, Z.P. Li, D. Vretenar, L. Prochniak, J. Meng, and P. Ring, Phys.Rev. C 79, 034303 (2009) 3
Model The collective mass is expressed in cranking approximation as The moment of inertia is calculated as Potential energy is calculated using the RMF approach T. Niksic, Z.P. Li, D. Vretenar, L. Prochniak, J. Meng, and P. Ring, Phys.Rev. C 79, 034303 (2009) 4
Results 5 Bing-Nan Lu, Jie Zhao, En-Guang Zhao,and Shan-Gui Zhou, Phys. Rev C 89, 014323 (2014) Y. K. Gambhir, P. Ring, and A. Thimet, Ann. Phys. 198, 132 (1990).
Results SM+JUN45 Honma et al., PRC80, 064323 (2009); IBM+D1M Nomura et al., PRC95, 064310 (2017); CFHB+5DCH Delaroche et al., PRC81, 014303 (2010) 6
Results SM+JUN45 Honma et al., PRC80, 064323 (2009); IBM+D1M Nomura et al., PRC95, 064310 (2017); CFHB+5DCH Delaroche et al., PRC81, 014303 (2010) 7
Results 74Ge Moments of inertia increased by 40% 8 J.J. Sun, et al, Physics Letters B, 734, 308-313, 2014
Results 9 CFHB+5DCH Delaroche et al., PRC81, 014303 (2010)
Results 10 CFHB+5DCH Delaroche et al., PRC81, 014303 (2010)
Conclusion The structure of the lowest quadrupole excitations in N=44 isotones has been studied There is good agreement with experimental data and predictions of other approaches Transition probabilities and energies of the lowest states in N=44 isotones are predicted There are some deviations from experimental data in the transition probability ratios for lighter isotones For higher spin states there is a problem of describing experimental data Further research is needed Some results are included in N. N. Arsenyev, E. V. Mardyban, and T. M. Shneidman, Int. J. Mod. Phys. E, 2441021 (2024) N. N. Arsenyev, E. V. Mardyban, and T. M. Shneidman, Physics of Atomic Nuclei, Vol. 88, No. 1, pp. 24 29. (2025) Thank you for your attention! 11
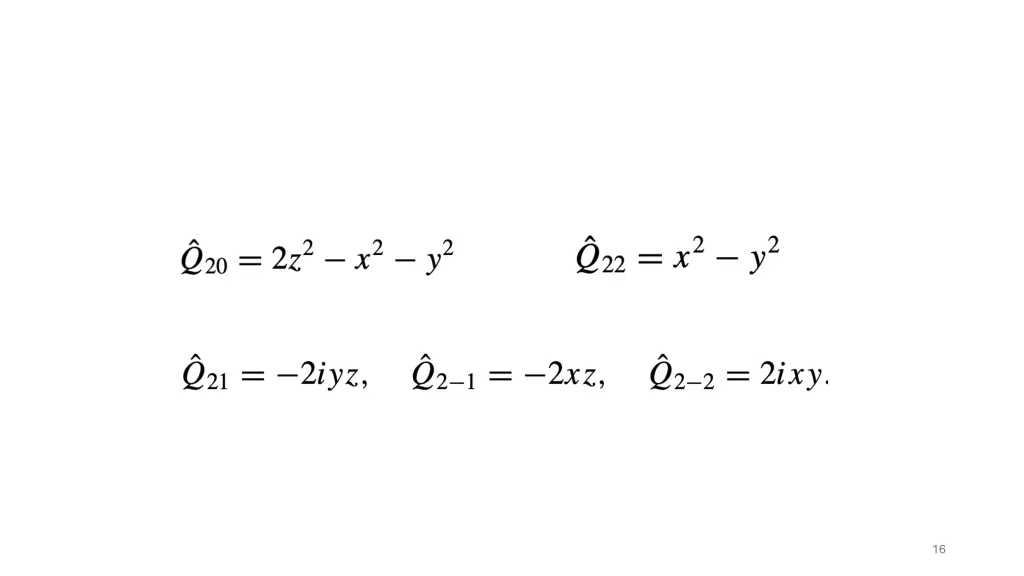
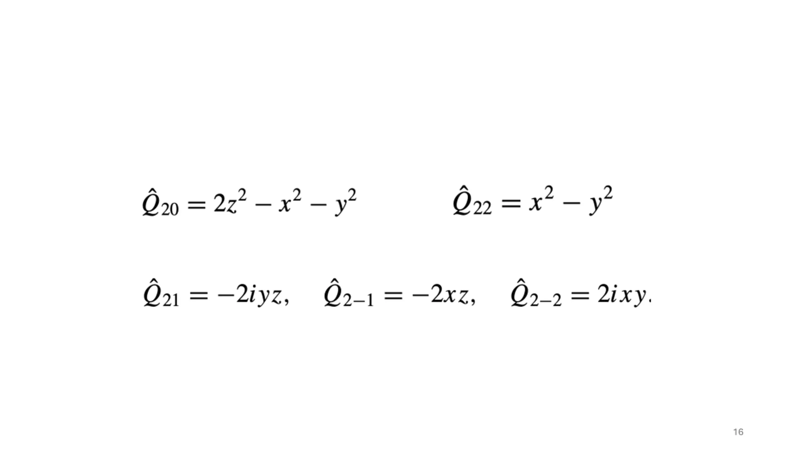
Model Variational principle with trial wave functions in the form leads to the following Hill Wheeler integral equation Assuming a Gaussian overlap approximation (GOA) for wavefunction: can be obtain the collective Hamiltonian Using the components of the quadrupole tensor in the internal coordinate system as a collective coordinate Stanis aw G Rohozin ski 2012 J. Phys. G: Nucl. Part. Phys. 39 095104 T. Niksic, Z.P. Li, D. Vretenar, L. Prochniak, J. Meng, and P. Ring, Phys.Rev. C 79, 034303 (2009) 13
Results IBM 32Ge 3.5 3.0 CHFB+5DCH 2.5 2) (MeV) 2.0 E(0+ 1.5 SM 1.0 0.5 0.0 38 40 42 44 46 48 50 52 54 56 N SM+JUN45 Honma et al., PRC80, 064323 (2009); IBM+D1M Nomura et al., PRC95, 064310 (2017); CFHB+5DCH Delaroche et al., PRC81, 014303 (2010) 14
Results 3.4 PRC 95, 014327 (2017) PRC 107, 044314 (2023) IBM 32Ge 3.2 100 PC-PK1 NL3 DD-PC1; Niksic et al., PRC 89, 044325 3.0 2.8 80 B(E2;J>J-2)(W.u.) 2.6 76Ge 1) 1) / E(2+ 2.4 60 2.2 E(4+ 2.0 CHFB+5DCH Expt. PC-PK1 IBM SM Gogny D1S 1.8 40 1.6 1.4 20 1.2 SM 1.0 2 4 6 8 38 40 42 44 46 48 50 52 54 56 J N SM+JUN45 Honma et al., PRC80, 064323 (2009); IBM+D1M Nomura et al., PRC95, 064310 (2017); CFHB+5DCH Delaroche et al., PRC81, 014303 (2010) 15