Machine Learning Performance for Hurricane Intensity Predictions

Download Presenatation
mu chieh ko 1 2 3 miroslav kubat n.w
1 / 19
Embed
Share

Explore the effects of resampling on machine learning performance for hurricane intensity predictions. Discover the impact of preprocessing, feature reduction, and resampling techniques on various algorithms used in predicting hurricane intensity. Learn how certain algorithms are improved through preprocessing steps while others remain unaffected.

  • Machine Learning
  • Hurricane Intensity
  • Resampling
  • Preprocessing
  • Feature Reduction

Uploaded on | 0 Views


Download Presentation

Please find below an Image/Link to download the presentation.

The content on the website is provided AS IS for your information and personal use only. It may not be sold, licensed, or shared on other websites without obtaining consent from the author. If you encounter any issues during the download, it is possible that the publisher has removed the file from their server.

You are allowed to download the files provided on this website for personal or commercial use, subject to the condition that they are used lawfully. All files are the property of their respective owners.

The content on the website is provided AS IS for your information and personal use only. It may not be sold, licensed, or shared on other websites without obtaining consent from the author.

E N D

Presentation Transcript


  1. Mu-Chieh Ko1, 2, 3 Miroslav Kubat2, and Sundararaman Gopalakrisnan3 The Effects of Resampling on Machine Learning Performance for Hurricane Intensity Predictions 1 University of Miami, Cooperative Institute for Marine and Atmospheric Studies 2 University of Miami, Electrical and Computer Engineering Department 3 NOAA/ AOML/ Hurricane Research Division

  2. Algorithm Output DATA ML Intensity HWRF K-NN Weakening (<= -10 kts) Neutral (-5 to +5 kts) Intensification (+10 to 30 kts) Rapid Intensification (>= +30kts) 2018 version Training:2015-2017 Verifying:2018 Decision Trees Random Forest Support Vector Machine Artificial Neural Networks Logistic Regression Procedure

  3. DATA Algorithm Output HWRF RI features ML Intensity Storm Location RMW -12h intensity chg Surface Temperature Shear Direction Shear Magnitude RH CAPE Helicity Wave #1 Amp. Procedure

  4. RI HWRF DATA Features/ Predictors Feature Space Reduction Preprocess -ing Resampling Machine Learning RI Prediction Procedure

  5. DATA Prep Redundant Data Removal | z-score Normalization Undersampling - Random | Tomek-Links| ENN | OSS Oversampling - Random | SMOTE | BL-SMOTE | SVM-SMOTE Res FSR PCA | LDA | Auto Encoder ML Pred. Procedure

  6. Prediction Deterministic Prediction W W W W N N N N I I I I RI RI RI RI 100% 100% 100% 100% Probabilistic Prediction W W W 7% 0% W N N N N I I I I RI 2% 8% 24% 73% RI RI RI 67% 17% 26% 62% 11% 6% 5% 13% 58% 21% Procedure

  7. Preprocessing improves certain algorithms performances K-NN, SVM, ANN Preprocessing does not alter other algorithms results Logit, DT, RF Original Preprocessed Preprocessing

  8. Preprocessing

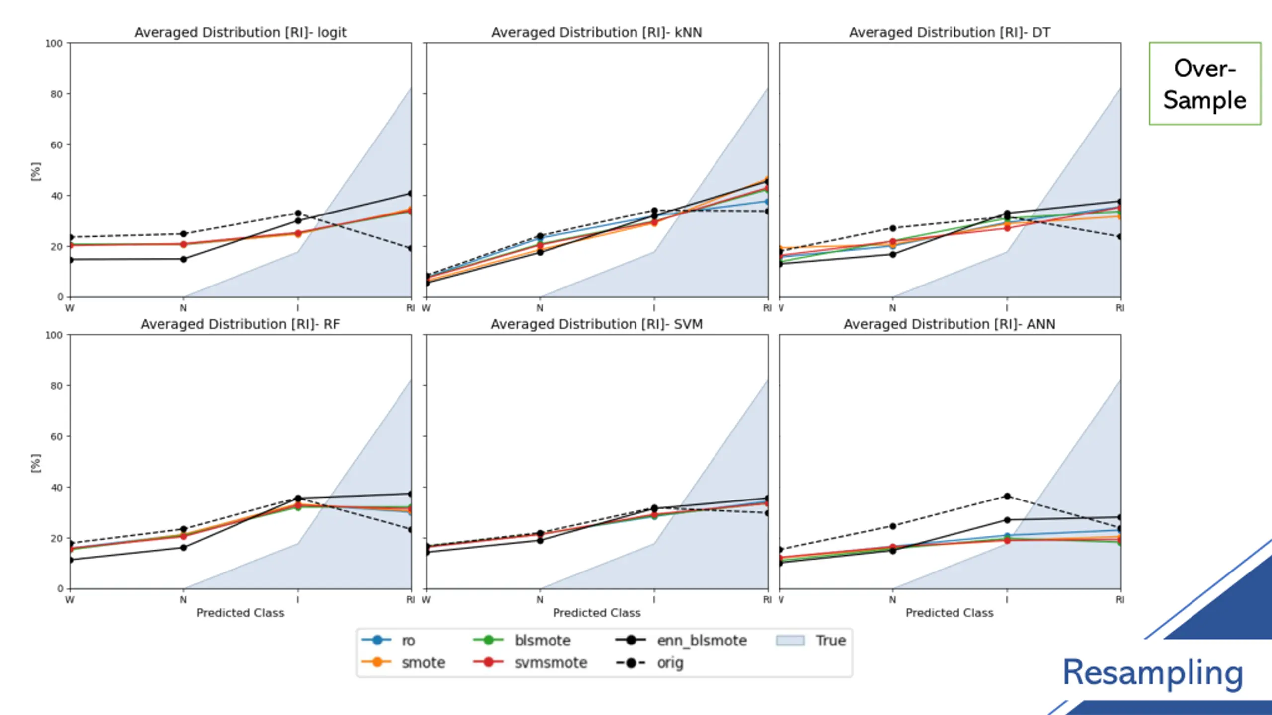
  9. OVER SAMPLING MINOR (I and RI) UNDER SAMPLING MAJOR(W and N) Oversampling - Random | SMOTE | BL-SMOTE | SVM-SMOTE Undersampling - Random | Tomek-Links| ENN | OSS Combination - ENN + BL-SMOTE Resampling

  10. OVERSAMPLING UNDERSAMPLING Resampling

  11. OVERSAMPLING UNDERSAMPLING Resampling

  12. Prep Res Resampling

  13. Prep Res Resampling

  14. Over- Sample Resampling

  15. Highlights Preprocessing is a critical step for SVM and ANN Oversampling is more effective than undersampling Resampling can improve the prediction of RI

  16. Keep the one with the higher information gain Preprocessing

  17. Prep Preprocessing

Related


More Related Content