
New Probe into Gravity Modifications in Galaxy Clusters
Explore the use of outer regions of galaxy clusters as a new probe to test modifications to gravity, collaborating with experts in the field. Dive into topics such as the widely accepted Cold Dark Matter model, beyond General Relativity, modified gravity, and chameleon screening. Discover the Caustic Method for analyzing clusters and the results of studies on specific clusters A2029 and A2142.
Download Presentation

Please find below an Image/Link to download the presentation.
The content on the website is provided AS IS for your information and personal use only. It may not be sold, licensed, or shared on other websites without obtaining consent from the author. If you encounter any issues during the download, it is possible that the publisher has removed the file from their server.
You are allowed to download the files provided on this website for personal or commercial use, subject to the condition that they are used lawfully. All files are the property of their respective owners.
The content on the website is provided AS IS for your information and personal use only. It may not be sold, licensed, or shared on other websites without obtaining consent from the author.
E N D
Presentation Transcript
Outer regions of galaxy clusters as a new probe to test modifications to gravity Minahil Adil Butt In Collaboration With: Sandeep Haridasu, Antonaldo Diaferio, Francesco Benetti, Andrea Lapi, Carlo Baccigalupi
CDM is one of the most widely accepted model for the structure and evolution of the universe
Beyond GR: Modified Gravity When dark matter searches come up empty and tensions grow, it s time to ask ourselves: are we using the wrong gravity? 0.001 cm 1 AU 1 kpc 1 Mpc 1000 Mpc GR MOND MG
Modified Gravity Chameleon Screening Terukina 13
Possible Probe: The Caustic Method Diaferio 05
Most literature takes ?= 0.5 or ?= 0.65 We do a full analysis in Butt et al. 2024 Diaferio 99, 09
In Butt et al. 2024 we study two clusters: A2029 (982 galaxies) A2142 (2239 galaxies)
Results - CS ? ,2 0.18 at 3? C.L. Butt et al. 24
The Caustic Method Independent of the dynamical state of the cluster and effective for individual cluster analysis. Dependent on accurate galaxy velocity measurements and limited by the number of spectroscopically confirmed members. STACKED CLUSTERS!
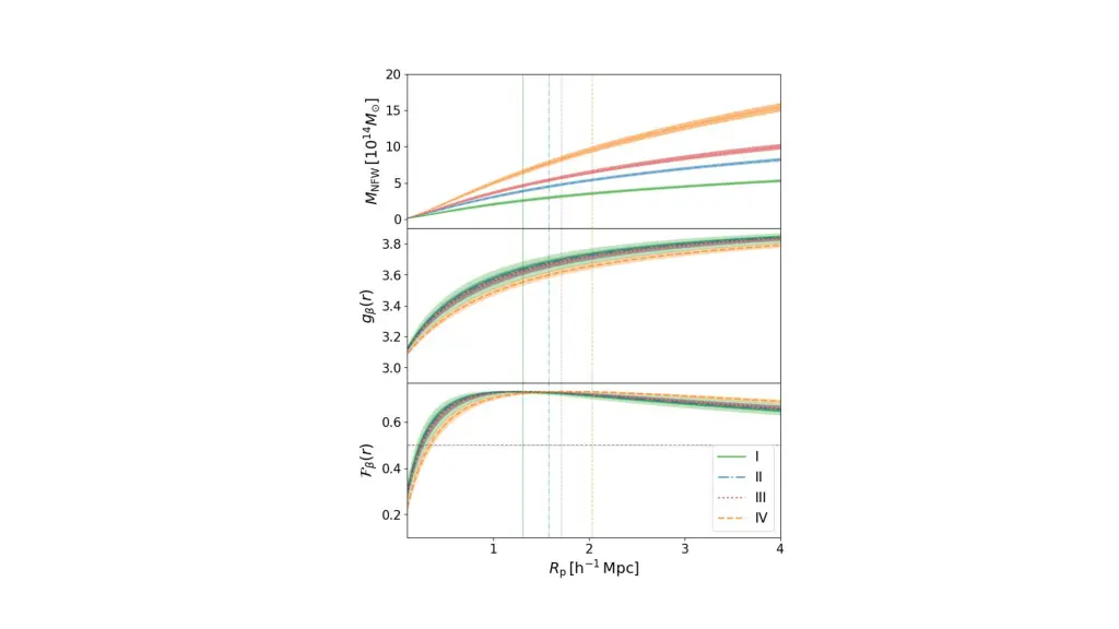
Stacking Clusters 3.74 5.85 (1014? ) 0.30 2.40 (1014? ) 5.85 18.64 (1014? ) 2.40 3.74 (1014? )
Concentration-Mass relation ? = 3.66 0.16,? = 0.14 0.52,? = 0.32 0.18
Constraints on ?(?) In contrast with ?= 0.4 estimated from the IllustrisTNG compilation. (Pizzardo et al. 23)
Constraints on Modified Gravity ? ,2= 1 exp(? 10 4???) ?2= ?/(1 + ?)