Optimal Gear Design Considerations

Download Presenatation
length of path of contact n.w
1 / 9
Embed
Share

Explore essential aspects of gear design such as path of contact, arc of contact, contact ratio, and minimum teeth requirements to avoid interference. Enhance your understanding of gear mechanisms and design principles.

  • Gear Design
  • Path of Contact
  • Tooth Interference
  • Contact Ratio
  • Gear Mechanisms

Uploaded on | 0 Views


Download Presentation

Please find below an Image/Link to download the presentation.

The content on the website is provided AS IS for your information and personal use only. It may not be sold, licensed, or shared on other websites without obtaining consent from the author. If you encounter any issues during the download, it is possible that the publisher has removed the file from their server.

You are allowed to download the files provided on this website for personal or commercial use, subject to the condition that they are used lawfully. All files are the property of their respective owners.

The content on the website is provided AS IS for your information and personal use only. It may not be sold, licensed, or shared on other websites without obtaining consent from the author.

E N D

Presentation Transcript


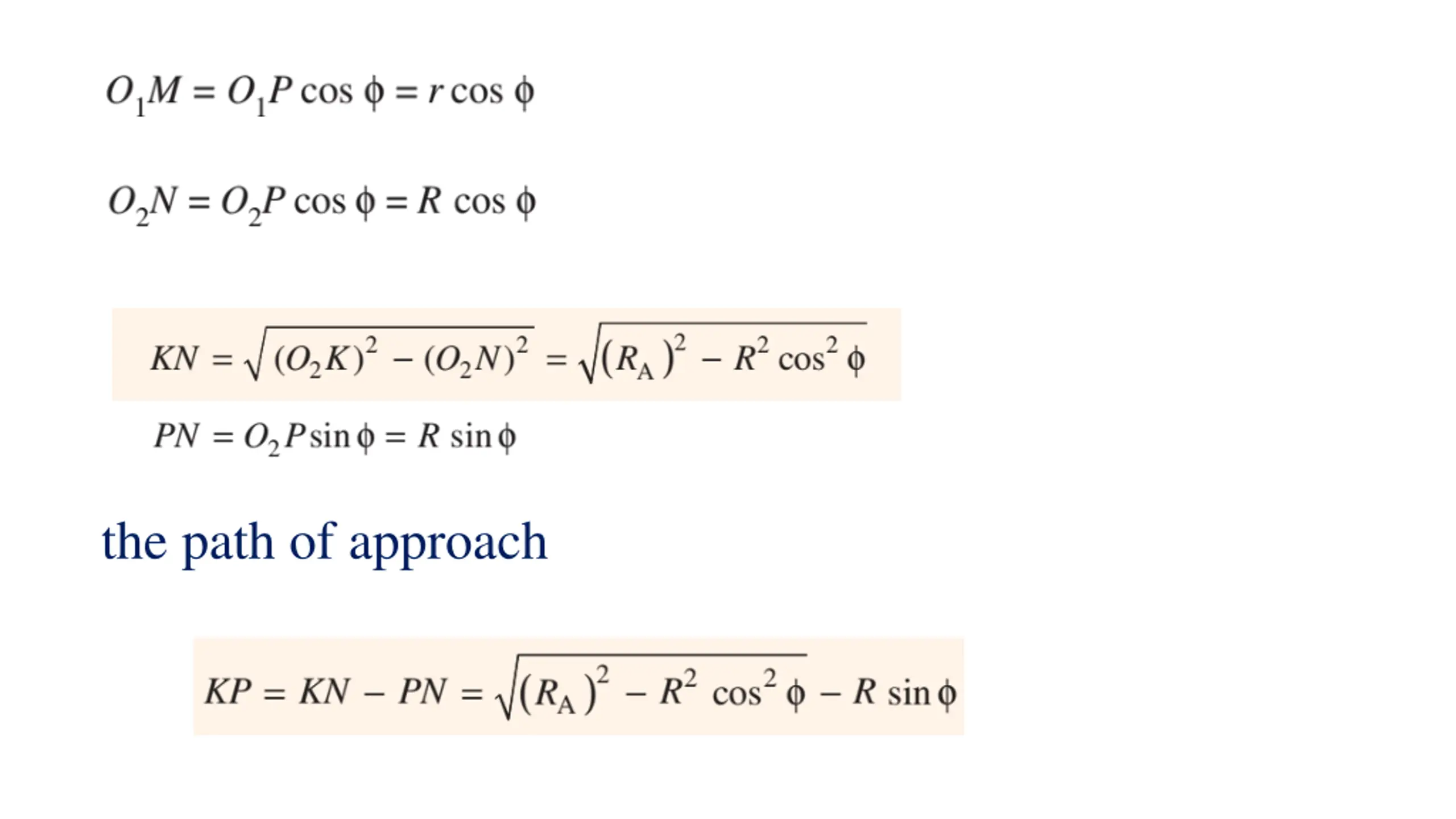
  1. Length of Path of Contact

  2. the path of approach

  3. Similarly from right angled triangle O1ML, path of recess

  4. Length of the path of contact Length of Arc of Contact

  5. Contact Ratio (or Number of Pairs of Teeth in Contact)

  6. Minimum Number of Teeth on the Pinion in Order to Avoid Interference

More Related Content