Scattering Analysis in Classical Mechanics: Lecture 5 Wrap-Up and Summary

Download Presenatation
phy 711 classical mechanics and mathematical n.w
1 / 38
Embed
Share

Dive into the conclusive breakdown of scattering analysis, focusing on the evaluation of differential scattering cross-sections in the center of mass frame, with a special emphasis on Rutherford scattering. Explore transformations to the lab frame and key equations for a comprehensive understanding. Scholarly lectures and engaging discussions await in this enriching classical mechanics session.

  • Classical Mechanics
  • Scattering Analysis
  • Center of Mass Frame
  • Rutherford Scattering
  • Mathematical Methods

Uploaded on | 2 Views


Download Presentation

Please find below an Image/Link to download the presentation.

The content on the website is provided AS IS for your information and personal use only. It may not be sold, licensed, or shared on other websites without obtaining consent from the author. If you encounter any issues during the download, it is possible that the publisher has removed the file from their server.

You are allowed to download the files provided on this website for personal or commercial use, subject to the condition that they are used lawfully. All files are the property of their respective owners.

The content on the website is provided AS IS for your information and personal use only. It may not be sold, licensed, or shared on other websites without obtaining consent from the author.

E N D

Presentation Transcript


  1. PHY 711 Classical Mechanics and Mathematical Methods 10-10:50 AM MWF Online or (occasionally) in Olin 103 Discussion notes for Lecture 5 Wrap up of scattering analysis Chap 1 F&W 1. Summary of equations in the center of mass frame. 2. In center of mass frame, analytical evaluation of the differential scattering cross section in general and for Rutherford scattering. 3. Summary of results including transformation to lab frame. 9/04/2020 PHY 711 Fall 2020 -- Lecture 5 1

  2. Schedule for weekly one-on-one meetings Nick 11 AM Monday (ED/ST) Tim 9 AM Tuesday Bamidele 7 PM Tuesday Zhi 9 PM Tuesday Jeanette 11 AM Friday Derek 12 PM Friday 9/04/2020 PHY 711 Fall 2020 -- Lecture 5 2

  3. For Monday, please read the annotated lecture notes for Lecture 6 (available <7 AM on 9/6/2020). There will be no homework for Monday s lecture, leaving more time for HW #4. 9/04/2020 PHY 711 Fall 2020 -- Lecture 5 3

  4. 9/04/2020 PHY 711 Fall 2020 -- Lecture 5 4

  5. Your questions From Tim & Nick 1. Questions about HW #3 From Jeanette 1. In E = E_CM + E _rel, what does rel mean? Relative? 2. Slide 16 - E_rel only has one term, but in slide 14 it had 3 terms. What happened to the other 2 terms? From Bamidele Slide 13: What conditions made the m2 become |v1 v2|2 ; =m1m2/(m1+m2) Slide 14: Where does the term for the kinetic energy from angular momentum come from. 9/04/2020 PHY 711 Fall 2020 -- Lecture 5 5

  6. From Nick 1. The last line on slide 20 of lecture 4...can you clarify? From Derek 1. On slide 14, does the large curve that r(phi) points to represent the trajectory of the scattering particle in the center of mass frame? I'm having difficulty understanding what is being illustrated on that slide. 9/04/2020 PHY 711 Fall 2020 -- Lecture 5 6

  7. Reviewing scattering in the laboratory detector Figure from F&W: 9/04/2020 PHY 711 Fall 2020 -- Lecture 5 7

  8. Differenti d cross al section d Number of detected particles at per target particle = Number of incident particles per unit area Area = of scattered is that beam incident detector into = angle at d d bdb d = b d sin d d d d b db b db = = d d d sin sin Figure from Marion & Thorton, Classical Dynamics 9/04/2020 PHY 711 Fall 2020 -- Lecture 5 8

  9. Total energy of system: 1 2 2 1 2 ( ) ( ) r = + + + + 2 2 E m m V r V 1 2 CM 2 2 r For scattering analysis only need to know trajectory before and after the collision. 9/04/2020 PHY 711 Fall 2020 -- Lecture 5 9

  10. Some details -- Relationship between center of mass and laboratory frames of reference. At and time t, the following relationships apply -- Definition of center of mass m m m m + = + + = + = r r R R CM ( ( ) ) 1 1 r 2 2 r R 1 2 CM ( ) + V m m m m m m 1 1 2 2 1 2 1 2 CM CM R d R V Note that CM CM CM dt 1 2 1 2 1 2 ( ) = + + 2 2 r r E m 1 1 v m 2 2 v V 1 2 1 2 ( ) ( ) 2 = + + + 2 v v r r m m V V 1 2 1 2 1 2 CM m m where: 1 + 2 m m 1 2 9/04/2020 PHY 711 Fall 2020 -- Lecture 5 10

  11. More details m m = 1 + 2 Total energy of system: 1 2 + Recall that = r m m 2 1 2 1 2 ( ) ( ) r = + + + + 2 2 E m m V r V 1 2 CM 2 2 r = E E relative E CM r r 1 2 Since r(t) represents motion in a plane, we will analyze the system in that plane and use polar coordinates. = = = + r x y ( ) ( ) ( ) y t ( ) ( )cos( ( )) ( )sin( ( )) r t ( ) y t t x t r t 2 = + 2 2 r Note that ( ) ( ) ( ) t x t y t x t t t + 2 2 2 = ( ) ( ) ( ) t r t r t 9/04/2020 PHY 711 Fall 2020 -- Lecture 5 11

  12. Also note that the relative angular momentum of the system is a constant 2 = r 1 2 1 2 1 2 ( ) 2 ( ) r = + 2 2 2 So that ( ) ( ) ( ) t t r t r t 2 r t + 2 = ( ) 2 2 r 2 1 2 ( ) r = + + 2 E r V rel 2 2 r 9/04/2020 PHY 711 Fall 2020 -- Lecture 5 12

  13. For a continuous potential interaction in center of mass reference frame: E 2 1 2 ( ) r = + + 2 r V rel 2 2 r 2 + ( ) V r 2 2 r Need to relate these parameters to differential cross section d d ( ) V r CM CM Erel 2 2 r 2 rmin m m 1 + 2 =angular momentum m m 1 2 9/04/2020 PHY 711 Fall 2020 -- Lecture 5 13

  14. Trajectory of relative vector in center of mass frame r ( ) r( ) m Need to find an equation for r( ) rmin center of scattering. 2 1 2 ( ) r = + + 2 E r V rel 2 2 r 9/04/2020 PHY 711 Fall 2020 -- Lecture 5 14

  15. How is this related to scattering? max max Note that here is used for the scattering angle 9/04/2020 PHY 711 Fall 2020 -- Lecture 5 15

  16. Questions: 1. How can we find ( )? 2. If we find ( ), how can we relate to ? 3. How can we find ( )? b r r d d b db d = sin CM 9/04/2020 PHY 711 Fall 2020 -- Lecture 5 16

  17. d d d dt ( ) = r = = 2 r Evaluation of constants far from scattering center -- r r r t = b r t = al s o: ( ) 1 2 = ( ) 2 = = ( ) E r t rel 2 b E rel = ( ) ( ) r t + r r ( ) t ( ) r t t 9/04/2020 PHY 711 Fall 2020 -- Lecture 5 17

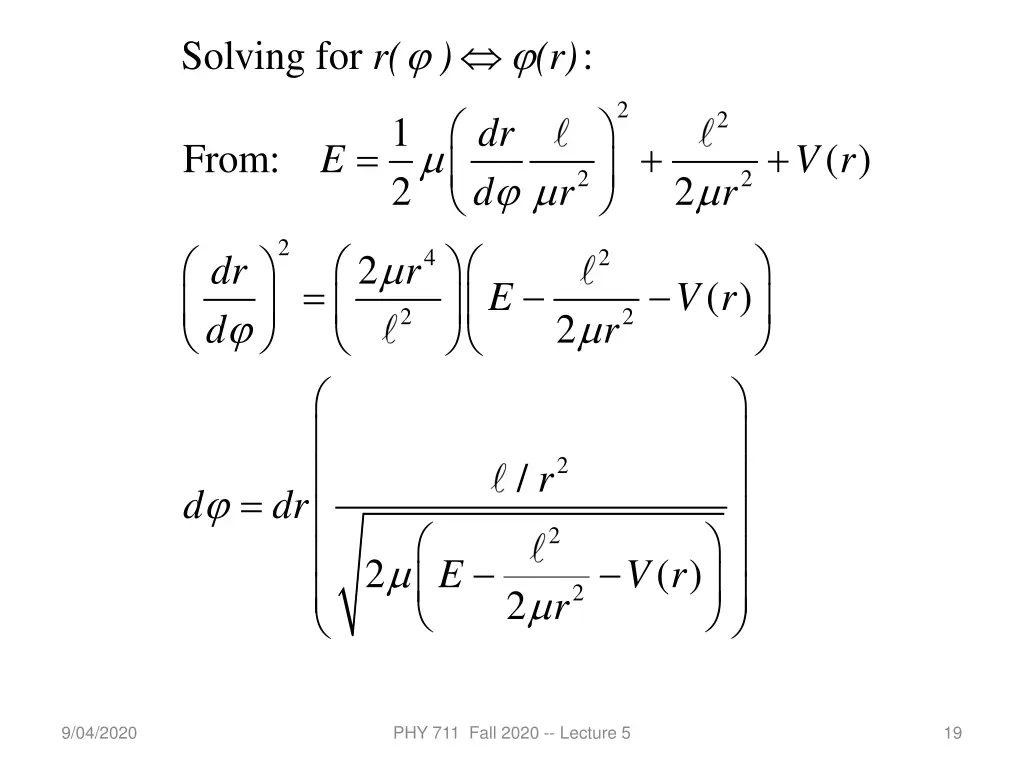
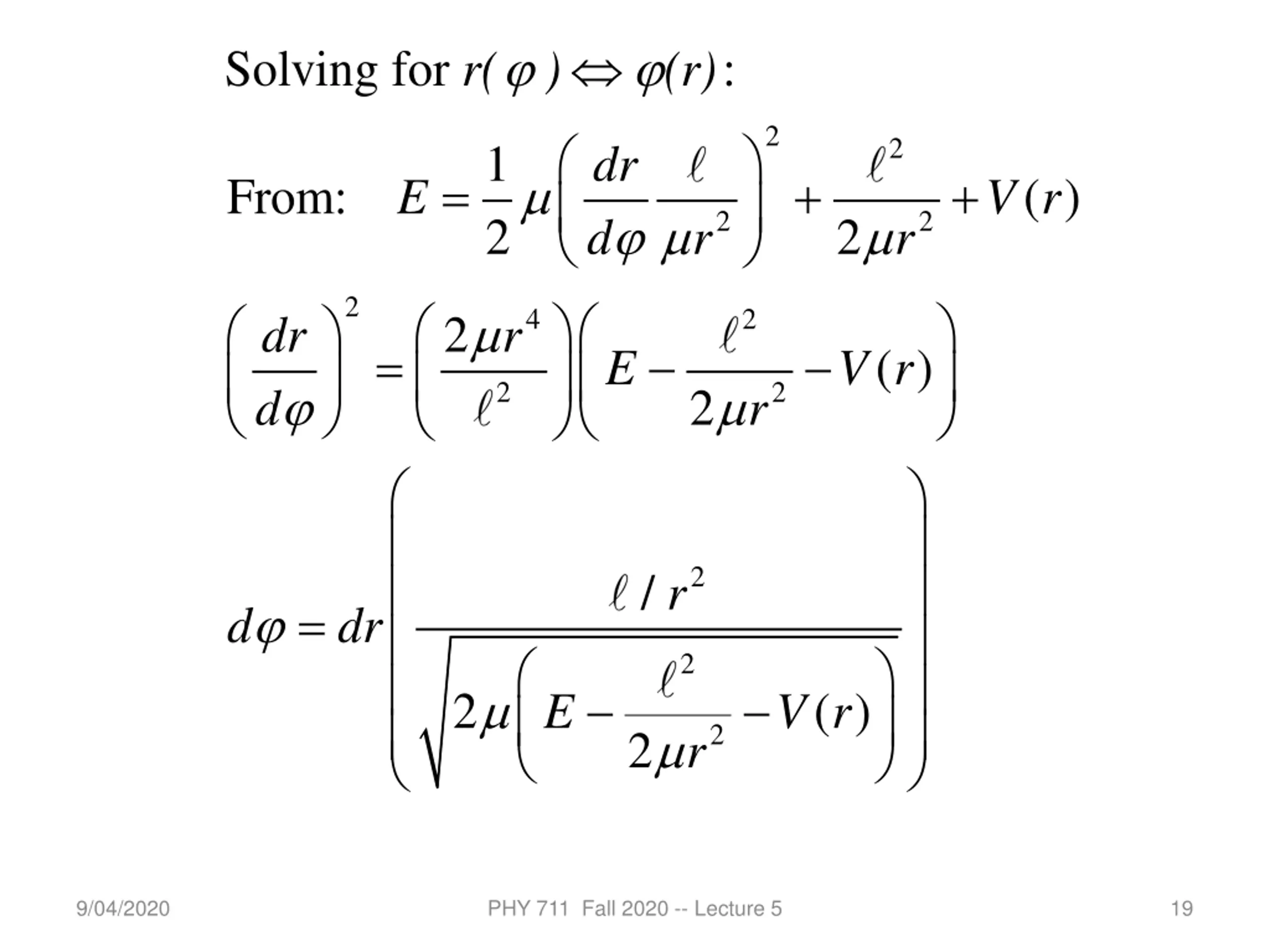
  18. Conservation of energy in the center of mass frame: 2 2 1 2 dr dt = + + ( ) E E V r rel 2 2 r Transformation of trajectory variables: ( ) ( ) r t r dr dr d dr dt d dt d = = 2 r d dt = 2 Here, constant angular momentum is: r 2 2 1 2 dr d = + + ( ) E V r 2 2 2 r r 9/04/2020 PHY 711 Fall 2020 -- Lecture 5 18

  19. Solving for : r( ) (r) 2 2 1 2 dr d = + + From: ( ) E V r 2 2 2 r r 2 4 2 2 dr d r = ( ) E V r 2 2 2 r 2 / r = d dr 2 2 ( ) E V r 2 2 r 9/04/2020 PHY 711 Fall 2020 -- Lecture 5 19

  20. 2 / r = d dr 2 2 ( ) E V r 2 2 r v Special values at large separation ( r v ): r = = v b r 1 2 = = 2 E v 2 Eb 9/04/2020 PHY 711 Fall 2020 -- Lecture 5 20

  21. When the dust clears: = = 2 / r d dr 2 2 ( ) E V r 2 2 r 2 / b r b r = d dr 2 ( ) E V r 1 2 ( ) ( ) = ( , ) b E r r min r max 9/04/2020 PHY 711 Fall 2020 -- Lecture 5 21

  22. 2 / b r max = d dr 2 ( E ) b V r 0 min r 1 2 r where : 2 ( ) b V r = 1 0 min E 2 min r 9/04/2020 PHY 711 Fall 2020 -- Lecture 5 22

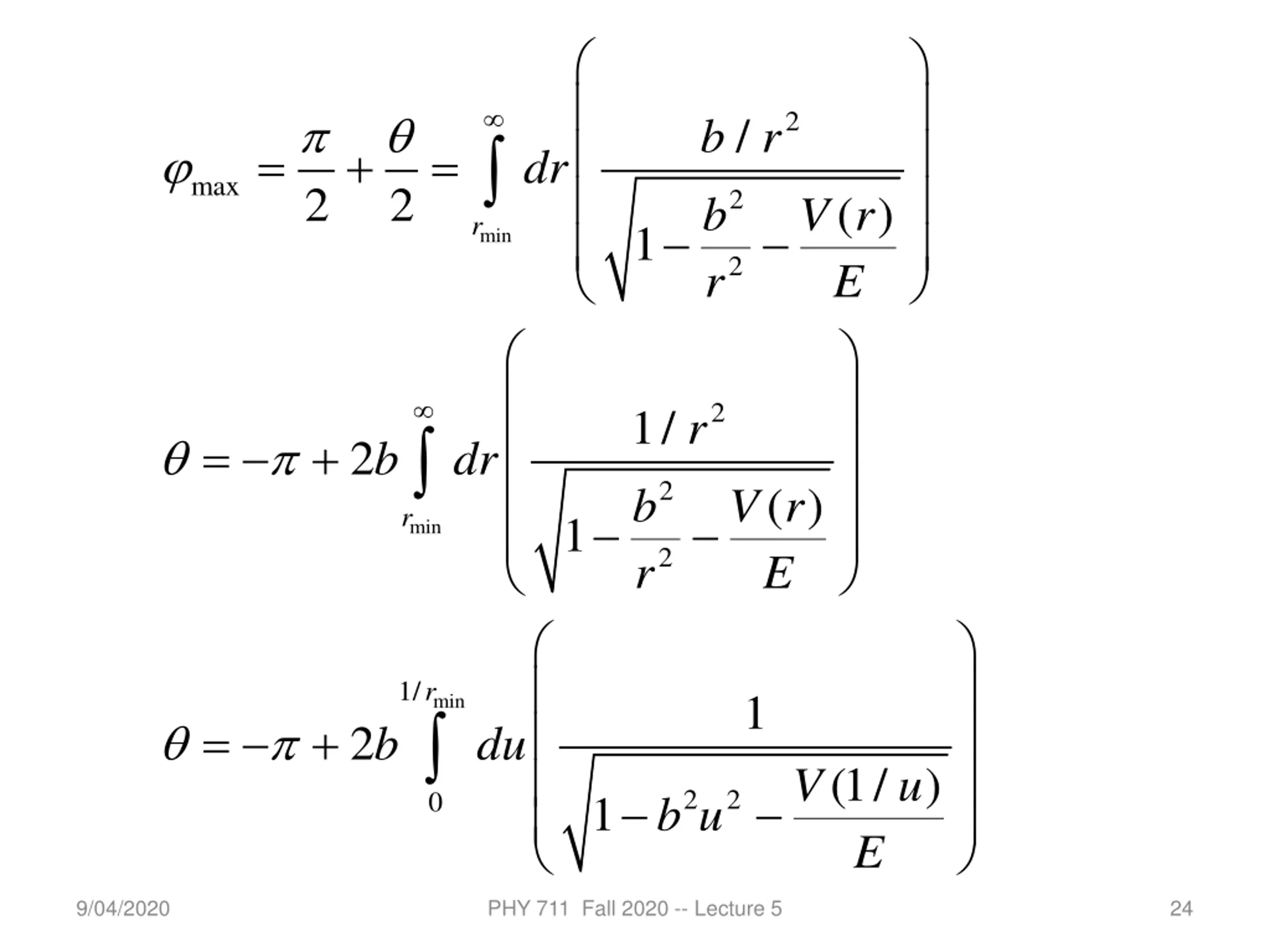
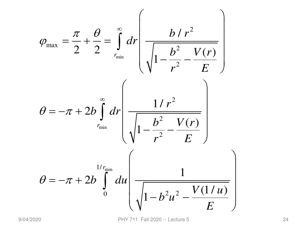
  23. Relationship between max and + + = 2( ) max Using the diagram from your text, represents the scattering angle in the center of mass frame. = max 2 2 9/04/2020 PHY 711 Fall 2020 -- Lecture 5 23

  24. 2 / b r b r = + = dr max 2 2 2 ( ) E V r min r 1 2 2 1/ b r r = + 2 b dr 2 ( ) E V r min r 1 2 1/ min r 1 = + 2 b du (1/ ) E V u 2 2 0 1 b u 9/04/2020 PHY 711 Fall 2020 -- Lecture 5 24

  25. Example: Diagram of Rutherford scattering experiment http://hyperphysics.phy-astr.gsu.edu/hbase/rutsca.html 9/04/2020 PHY 711 Fall 2020 -- Lecture 5 25

  26. where: Scattering angle equation: 2 ( ) b V r = 1 0 min E 1/ min r 1 = + 2 b du 2 min r (1/ ) E V u 2 2 0 1 b u Rutherford scattering example: ( ) 1 E r = 2 V r b =0 2 min r r min 2 1 1 b + + 1 2b 2b min r 1/ min r 1 1 = + = 1 2 2sin b du ( ) 2 2 2 1 b u u + 2 / b 1 0 9/04/2020 PHY 711 Fall 2020 -- Lecture 5 26

  27. Rutherford scattering continued : 1 = 1 2 sin ( ) 2 + 2 / 1 b ( ( ) 2 cos / 2 b = ) 2 / sin d 2 1 d b db = = ( ) d 4 sin 16 sin / 2 9/04/2020 PHY 711 Fall 2020 -- Lecture 5 27

  28. d 2 1 d b db = = ( ) d 4 sin 16 sin / 2 What happens as 0? From webpage: http://hyperphysics.phy-astr.gsu.edu/hbase/nuclear/rutsca2.html#c3 9/04/2020 PHY 711 Fall 2020 -- Lecture 5 28

  29. Original experiment performed with particles on gold 2 Z Z e Z Z e v 2 = = Au A u E 2 4 8 16 0 0 rel 2 = 1 d d ( ) 4 16 sin / 2 Question What do you think happens for 0? a. Big trouble; need to make sure experiment is designed to avoid that case. b. No problem i. Physics is altered in that case and nothing explodes. ii. Rare event and rarely causes trouble. 9/04/2020 PHY 711 Fall 2020 -- Lecture 5 29

  30. Recap of equations for scattering cross section in the center of mass frame of reference = d d b db d sin 2 1/ b r r = + 2 b dr 2 ( ) E V r min r 1 2 where is found from min r 2 ( ) b V r = 1 0 min E 2 min r 9/04/2020 PHY 711 Fall 2020 -- Lecture 5 30

  31. Digression In general, it is possible to determine the trajectory r( ) -- r 2 / b s b s = ds 2 ( ) E V s min r 1 2 1/ min r 1 = b du (1/ ) E V u 2 2 1 1/ r b u 9/04/2020 PHY 711 Fall 2020 -- Lecture 5 31

  32. For the Rutherford case -- 1/ min r 1 (1/ ) E V u = where b du u (1/ ) E V u 2 2 1 1/ r b u 9/04/2020 PHY 711 Fall 2020 -- Lecture 5 32

  33. PHY 711 -- Assignment #3 Aug. 31, 2020 Read Chapter 1 in Fetter & Walecka. 1.In Lecture 3, we derived equations relating the laboratory scattering angle to the scattering angle in the center of mass reference frame. We also worked out the relationship between the differential scattering cross sections in the laboratory and center of mass frames. After you have convinced yourselves of the validity of those derivations, evaluate both the lab and center of mass scattering angles and the corresponding cross section factors for the following mass ratios a.m1/m2=1 b.m1/m2=1/10 c.m1/m2=10/1 9/04/2020 PHY 711 Fall 2020 -- Lecture 5 33

  34. Transformation between center-of-mass and laboratory reference frames: (assuming that energy is conserved) VCM (lab an = v (center of mass angle gle) vs V ) + = = V V1 1 1 CM v1 + sin cos sin cos sin v v V V 1 1 + V 1 1 CM sin + = = t an cos / co s / V V m m 1 1 2 CM + cos / m m = Also: cos 1 2 m ( ) 2 1 2 + + / cos / m m m 1 2 1 2 9/04/2020 PHY 711 Fall 2020 -- Lecture 5 34

  35. Differential cross sections in different reference frames ( ) ( ) LAB CM d d d d d d = CM LAB CM d LAB sin sin cos cos d d d d = = CM d LAB For elastic scattering: ( ) 3/2 ( ) 2 1 2 + + ( ) ( ) / cos / m m m m = d d 1 2 1 + 2 LAB CM ( ) / cos 1 d d m m 1 2 LAB CM sin + = where: tan cos / m m 1 2 9/04/2020 PHY 711 Fall 2020 -- Lecture 5 35

  36. Want to calculate ( ) = d ( ) LAB 3/2 ( ) 2 1 2 + + / cos / m m m m d 1 2 1 + 2 = ( LAB ) f ( ) ( ) / cos 1 m m d 1 2 CM d CM sin + = where: tan cos / m m 1 2 sin + ( ) = arc n ta c os / m m 1 2 w an t t o ev r me ri p ot of ( ) vs aluat c e fo l r valu f Another example of a parametric plot ( ) vs ( ) x t y t es f o f p a a t ( ) 9/04/2020 PHY 711 Fall 2020 -- Lecture 5 36

  37. Syntax for parametric plot in maple 9/04/2020 PHY 711 Fall 2020 -- Lecture 5 37

  38. Syntax for parametric plot in mathematica 9/04/2020 PHY 711 Fall 2020 -- Lecture 5 38

Related


More Related Content