
Splitting Fields in Advanced Abstract Algebra
Learn about splitting fields in advanced abstract algebra, where polynomials split completely into linear factors. Explore definitions, examples, theorems, and proofs related to minimal splitting fields and extensions. Dive into concepts presented by Dr. Nandita Tripathy.
Download Presentation

Please find below an Image/Link to download the presentation.
The content on the website is provided AS IS for your information and personal use only. It may not be sold, licensed, or shared on other websites without obtaining consent from the author. If you encounter any issues during the download, it is possible that the publisher has removed the file from their server.
You are allowed to download the files provided on this website for personal or commercial use, subject to the condition that they are used lawfully. All files are the property of their respective owners.
The content on the website is provided AS IS for your information and personal use only. It may not be sold, licensed, or shared on other websites without obtaining consent from the author.
E N D
Presentation Transcript
Paper: Advanced Abstract Algebra Topic: Splitting Fields Presented By: Dr. Nandita Tripathy Associate Professor in Mathematics PG Department of Mathematics BJB Autonomous College
Definition: The extension field ? of ? is called a splitting field for the polynomial ?(?) ?[?] if ?(?) factors completely into liner factors (or splits completely) in ?[?] and ?(?) does not factor completely into linear factors over any proper subfield of ? containing ?. If ?(?) is of degree ? then ?(?) has at most ? roots in ?, and has precisely ? roots (counting multiplicities) in ? iff ?(?) splits completely in ?[?]. If ? ? = ? ? ?1 ? ?2 ? ??,? ? ?,?? ?? then we say that ?(?) splits up in ?[?] (or splits over ?) and ? is called a splitting field of ?(?) over ?.
? is minimal splitting field of ?(?) over ?. If ?(?) can be expressed as product of liner factors in ? ? and it cannot be so factored over any proper subfield of ?. In above case ?(?1,?2, ,??) is minimal splitting field of ? ? over ?. Example:? ? = ?2+ 1 ? ? ,?2+ 1 = (? + ?)(? ?) splitting field of ? over ? will be ? ? . If ? ? = ?2+ 1 is taken as a polynomial over than its splitting field is ? = the field of complex numbers. Theorem- 25: For any field ?, if ?(?) ?[?] then there exists an extension of ? of ? which is a splitting field for ?(?).
Proof: We first show that there is an extension ? of ? over which ?(?) splits completely into linear factors by induction on the degree ? of ?(?). If ? = 1 take ? = ?. Suppose ? > 1, if the irreducible factors of ? ? over ? are all of degree1, then ? is splitting field for ? ? and we may take ? = ?. Otherwise at least one of the irreducible factors, say ? ? of ? ? in ?[ ?] is of degree at least 2. By a Theorem Let ? be a field and let ? ? ?[?] be an irreducible polynomial. Then there exists a field ? containing an isomorphic copy of ? in which ? ? has a root. Identifying ? with this isomorphic copy shows that there exists an extension of ? in which ? ?has a root.
So, there is an extension ?1 of ? containing a root ? of ? ? . Over ?1 the polynomial ? ? has the linear factor ? ?. The degree of the remaining factors ?1(?) of ? ? is ? 1 , so by induction there is an extension ? of ?1 continuing all the roots of ?1(x). Proof: We first show that there is an extension ? of ? over which ?(?) splits completely into linear factors by induction on the degree ? of ?(?). If ? = 1 take ? = ?. Suppose ? > 1, if the irreducible factors of ? ? over ? are all of degree1, then ? is splitting field for ? ? and we may take ? = ?. Otherwise at least one of the irreducible factors, say ? ? of ? ? in ?[ ?] is of degree at least 2. By a Theorem Let ? be a field and let ? ? ?[?] be an irreducible polynomial. Then there exists a field ?
containing an isomorphic copy of ? in which ? ? has a root. Identifying ? with this isomorphic copy shows that there exists an extension of ? in which ? ?has a root. So, there is an extension ?1 of ? containing a root ? of ? ? . Over ?1 the polynomial ? ? has the linear factor ? ?. The degree of the remaining factors ?1(?) of ? ? is ? 1 , so by induction there is an extension ? of ?1 continuing all the roots of ?1(x). Since ? ?, E is an extension of ? continuing all the roots of ?(?). Now let ? be the Intersection of all the subfields of ? continuing ? which also contain all the roots of ?(?). Then ? is a field which is a splitting field for ?(?). Note: Any two splitting fields for ?(?) are isomorphic.
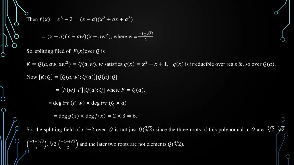
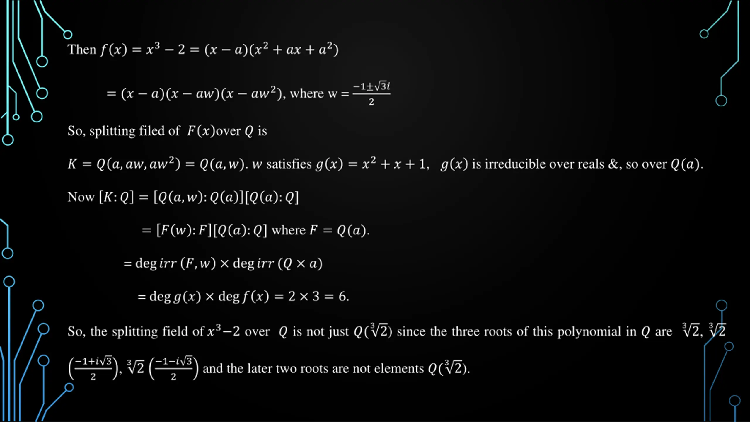
Definition: If ? is an algebraic extension of ? which is the splitting field over ? for s allocation of polynomials ?(?) ?[?] then ? called a normal extension of ?. Example: 1. The splitting Field for ? 2 over ? is just ?( 2). Since the two roots are 2 and - 2 ?( 2). ?2 2 = (? 2)(? + 2) 2. The splitting field for (?2 2)(?2 3) is the field ?( 2, 3) generated over ? by 2 & 3. Since the roots of the polynomial are 2, 3. This is an extension of degree 4 over ? 3. Splitting field of ?3 2, over ?, the field of rationals. Soln: Let ? ? = ?3 2. By extension s criterion, ? ? is irreducible over ?. Since ? ? is of odd degree, it has a real root, say a
Then ? ? = ?3 2 = (? ?)(?2+ ?? + ?2) = (? ?)(? ??)(? ??2), where w = 1 3? 2 So, splitting filed of ? ? over ? is ? = ? ?,??,??2= ?(?,?). ? satisfies ? ? = ?2+ ? + 1, ? ? is irreducible over reals &, so over ?(?). Now ?:? = ? ?,? :? ? [? ? :?] = ? ? :? [? ? :?] where ? = ?(?). = deg??? ?,? deg???(? ?) = deg?(?) deg? ? = 2 3 = 6. 32) since the three roots of this polynomial in ? are 32, 32 So, the splitting field of ?3 2 over ? is not just ?( 1+? 3 2 1 ? 3 2 32 32). , and the later two roots are not elements ?(
32 & Any field continuing 3 contains all three roots. 32 , 3) is splitting field of ?3 2 over ?. ? = ?( 32) is at most 2. 3 satisfies ?2+3 = 0, the degree of this extension over ?( Since 32 , 32 , 32)] [( 32):?] = 2 3 = 6) [?( 3):?] = 6. ( [?( 3):?( Proposition 26: A splitting field of a polynomial &... degree ? over ? is of degree at most ?! over ?. If ?(?) ?[?] is a polynomial of degree ?, then adjoining one root of ?(?) to ? generates an extension ?, of degree, at most ? (equal to ? if ?(?) is irreducible). Over ?1 the polynomial ?(?) now has at least one linear factor, so that so that any other root of ?(?) satisfies an equation of degree at most not over ?1. Adjoining such a root to ?1. We obtain an extension of degree, at most ? 1 of ?1 etc. Using the multiplicative of extension degrees, splitting field the polynomial of degree n over ? is of degree at most ?(? 1)(? 2) 1=n! over ?.
Example: (Splitting field of ?? ?: cyclotomic fields) Consider the splitting field of the polynomial ?? 1 over ?. The roots of this polynomial are called the ?? roots of unity. Every nonzero complex no. ? + ?? can be written uniquely in the form. ???? +???? ,?>0,0 ? 2?. = ?cos ? which is representing the point at ? + ?? in the complex plane in terms of polar coordinates: ? is the distance of (a, b) from the origin & ? is the angle made with the real positive ?-axis. Over there are n distinct solutions of the equation ??= 1. 2???= cos(2?? ?) + ? sin(2?? The elements are ? ?) for ? = 0,1, ,? 1. These points are given geometrically by ? equally spread points stating with the point (1,0) (corresponding to ? =0) on a circle of radius 1 in the complex plane. These are all ?? roots of unity. 2????)?= ?( 2????)?= ?2???= 1. (?
So contains a splitting field for ?? 1. The splitting field for ?? 1 over ? is the field generated over ? in ? for ?? 1 the collection of nth roots of unity forms a by the numbers above. In any abstract splitting field ? group under multiplication & this is a cyclic group. Definition: A generator of the cyclic group of all ?? roots of unity is called a primitive nth root of unity. Let ?? denote ?? primitive root of unity. The other primitive ?? roots of unity are the elements ?? ? where 1 ? ? is an integer relatively prime to ?. There are ?(?) primitive ?? roots of unity where ?(?) denotes the Euler-? function. 2??? 2???,? ? ??= ? ?= ?? So ??is one possible generator for the multiplication group of ?? roots of unity. The primitive roots of unity in ? for small n are Definition:The field ?(??) is called the cyclotomic field of ?? roots of unity. Exercise: Q.1. Determine the splitting field & its degree over ? for ?4 2.
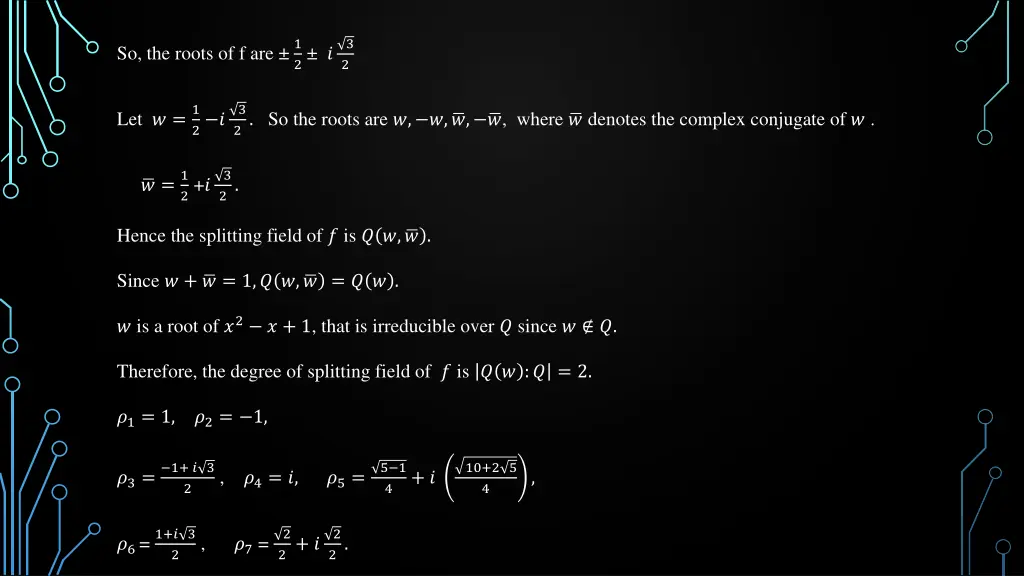
42 , - 42 , i 42, -i 42 . Soln: - Let ? ? = ?4 2. The roots of f are 42 . Hence the splitting field of ? is ? ?, So, the splitting field of ? has degree 42 :? = ? ?, 42 :? 42 ? 42 :?over ?. ? ?, 42 is a root of the irreducible polynomial ?4 2 over ?,then |? ?, 42 :?| = 4 . Since 42), then ?2+ 1 is irreducible over ?( 42)having ? as a root. Since ? ?( 42 :? 42 So ? ?, = 2. 42 :? = 2 4 = 8. Therefore ? ?, Q.2. Determine the splitting field & its degree over ? for ?4+ ?2+ 1. Soln:- Let ? ? = ?4+ ?2+ 1 = (?2+ ? + 1)(?2 ? + 1).
So, the roots of f are 1 3 2 ? 2 Let ? =1 3 2 ? 2. So the roots are ?, ?, ?, ?, where ? denotes the complex conjugate of ? . ? =1 3 2 +? 2. Hence the splitting field of ? is ? ?, ? . Since ? + ? = 1,? ?, ? = ? ? . ? is a root of ?2 ? + 1, that is irreducible over ? since ? ?. Therefore, the degree of splitting field of ? is ? ? :? = 2. ?1= 1,?2= 1, ?3= 1+ ? 3 5 1 4 10+2 5 4 , ?4= ?, ?5= + ? , 2 ?6= 1+? 3 2 2 , ?7 = 2+ ? 2. 2
Q.3. Determine the splitting field & its degree over ? for ?6 4. Soln:- Let ? ? = ?6 4 = ?3 2 ?3+ 2 . 32 , ? 32, ?232 where ? is the primitive 3rd root of unity The roots of ?3 2 are 2? 3 + ? sin(2? 3) = 1 3 2??3= cos i.e. ? = ? 2 2+ 32 , -? 32, -?232 . The roots of ?3+ 2 are - 32 . Therefore, the splitting field of ? is ? ?, 32 :? =[Q (?, 32):?(32)] [?(32) ?]. Then ? ?, 32 is a root of the irreducible polynomial ?3 2 over ?, so 32 has degree 3 over ?. We have 32). Hence the degree of the splitting field of ? is Again ? has degree 2 over ?( 32 :? = [? (?, 32):?(32)] [? 32) ? = 3 2 = 6. ? ?,