
Transcendental Functions and Inverse Functions in Calculus II Lecture
Understand transcendental functions and inverse functions in Calculus II from this lecture, covering concepts like one-to-one functions, finding inverses, and examples to illustrate the concepts. Gain insights into special functions that defy conventional understanding.
Download Presentation

Please find below an Image/Link to download the presentation.
The content on the website is provided AS IS for your information and personal use only. It may not be sold, licensed, or shared on other websites without obtaining consent from the author. If you encounter any issues during the download, it is possible that the publisher has removed the file from their server.
You are allowed to download the files provided on this website for personal or commercial use, subject to the condition that they are used lawfully. All files are the property of their respective owners.
The content on the website is provided AS IS for your information and personal use only. It may not be sold, licensed, or shared on other websites without obtaining consent from the author.
E N D
Presentation Transcript
Calculus II Lecture #1 Transcendental Functions Civil Engineering Department College of Engineering Mustansiriayah University May 2020 1 Calculus II, Lecture #1 09/05/2025
Transcendental Functions Transcendental Functions The Transcendental functions are those functions which are special, unusual and cannot be understood in ordinary way. One-to-One Functions A function (x) is one-to-one on a domain D if (x1) (x2) whenever x1 x2 in D. Example 1: ? ? = because ?1 ? ? = sin? is not one-to-one on the interval [0,2 ] because sin? 6 ? is one-to-one on any domain of nonnegative numbers ?2whenever x1 x2. 6= sin5? 2 Calculus II, Lecture #1 09/05/2025
Inverse Functions Inverse Functions Definition: Suppose that is a one-to-one function on a domain D with range R. The inverse function -1is defined by: ? 1? = ? if ? ? = ? The domain of -1is the range and the range of -1is the domain. Example 2: Suppose a function y = (x) is given by a table of values: 1 2 3 4 5 6 7 8 x 3 4.5 7 10.5 15 20.5 27 34.5 f(x) 3 Calculus II, Lecture #1 09/05/2025
Inverse Functions Inverse Functions A table for the values of ? = 1(?) can then be obtained by simply interchanging the values in each column of the table for : 3 4.5 7 10.5 15 20.5 27 34.5 y f-1(y) 1 2 3 4 5 6 7 8 Finding Inverses Example 3: Find the inverse of ? =? 2+ 1, expressed as a function of x. Solution: 1. Solve for x in terms of y: ? =? 2+ 1 2? = ? + 2 ? = 2? 2 2. Interchange x and y: ? = 2? 2 4 Calculus II, Lecture #1 09/05/2025
The inverse of the function f(x)=x/2+1 is the function ^(-1) (x) = 2x 2 (see the figure below). To check that, we verify that both composites give the identity function: ? 1? ? ? 2+ 1 2 = ? = 2 =1 ? ? 1? 22? 2 + 1 = ? 5 Calculus II, Lecture #1 09/05/2025
Example 4: Find the inverse of the function ? = ?2, ? 0 expressed as a function of x. Solution: For? 0, the graph satisfies the horizontal line test, so the function is one-to-one and has an inverse. To find the inverse, we first solve for x in terms of y: ? = ?2 ? = ? = ?, because ? 0 We then interchange x and y, obtaining: ? = ? The inverse of the function ? = ?2, is the function ? = ? 6 Calculus II, Lecture #1 09/05/2025
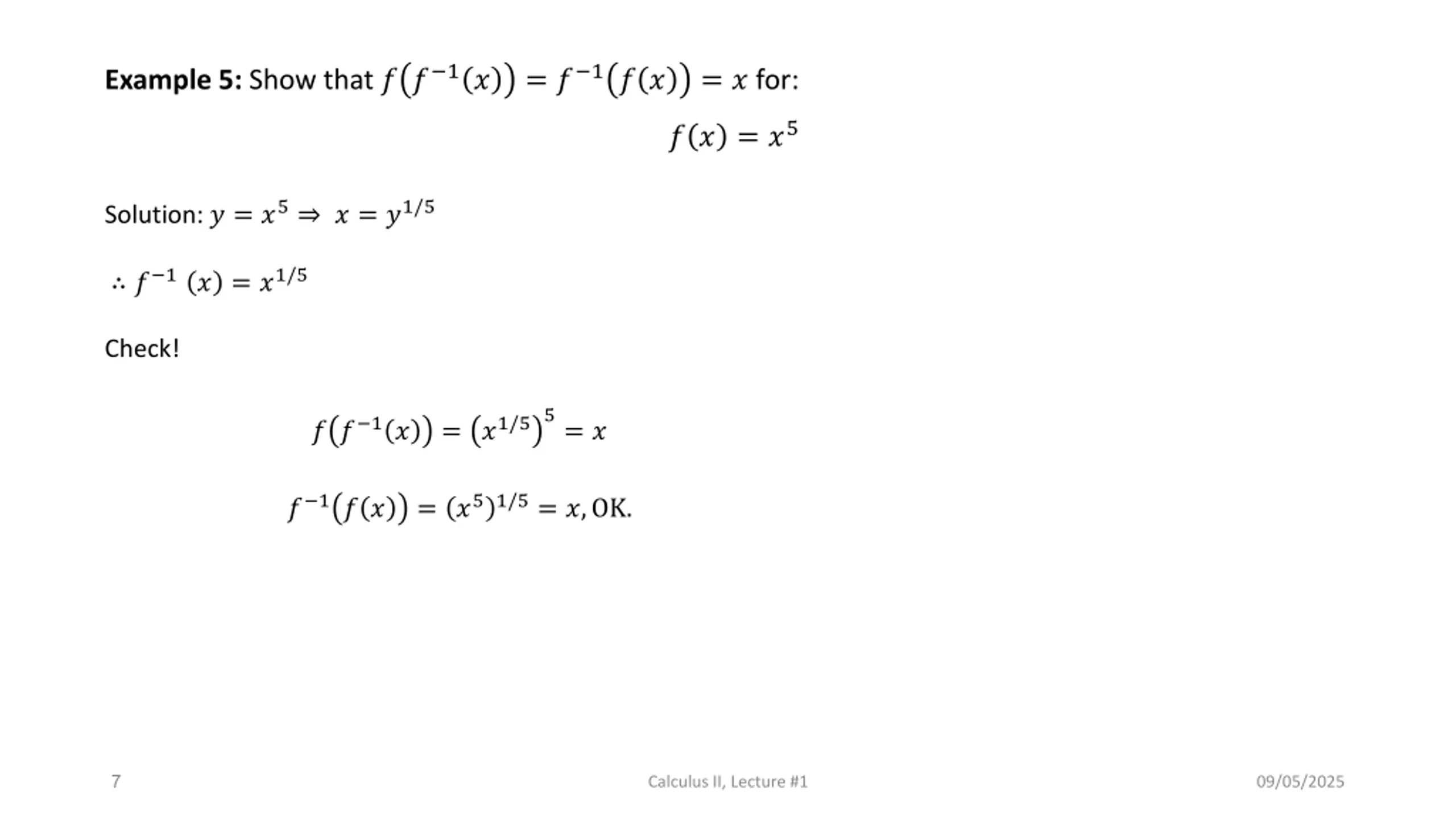
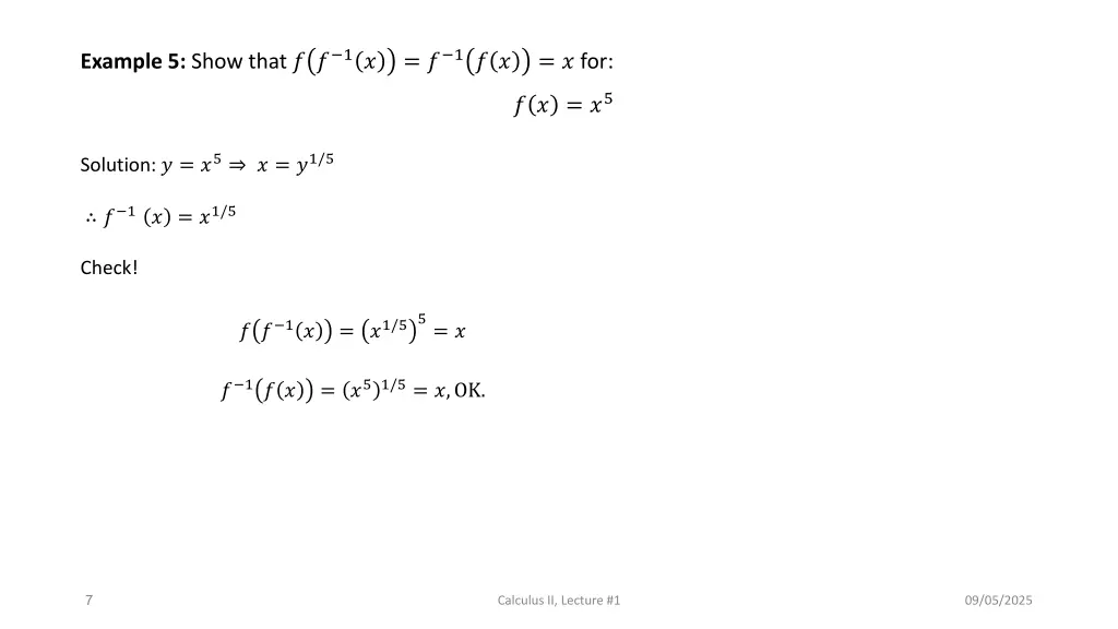
Example 5: Show that ? ?1? = ? 1? ? = ? for: ? ? = ?5 Solution: ? = ?5 ? = ?1/5 ? 1? = ?1/5 Check! = ?1/55= ? ? ? 1? ? 1? ? = ?5 1/5= ?,OK. 7 Calculus II, Lecture #1 09/05/2025
Derivatives of Inverse of Differentiable Functions Derivatives of Inverse of Differentiable Functions 1 ? 1 ? = ? ? 1? ?? 1 ?? 1 or = ?? ???=? 1(?) Example 6: Find the derivative of inverse for ? ? = ?2,? 0 and its value when x=2. Solution: ? ? = ?2,? 0 and its inverse ? 1? = ? ? ? = 2? 1 ? 1 ? = ? ? 1? 1 1 = = 2 ? 1? 2 ? At x=2, ? 2 = 2(2) = 4 and the derivative of ? 1at ?(2), are reciprocals, therefore: 1 ? ? 14 1 2?=1 1 ? 1 4 = = = ? 2 4 8 Calculus II, Lecture #1 09/05/2025
Derivatives of Inverse of Derivatives of Inverse of Differentiable Differentiable Functions Functions Example 7: Find the derivative of inverse for ? ? = 2? + 3, Solution: ? = 2? + 3 ? =? 3 ? 1? =? 3 2 Check! 2 ? 3 2 ? ? 1? = 2 + 3 = ? =2? + 3 3 ? ? = 2 ? 1? ? = ?,OK. 2 1 =1 ? 1 ? = 2 ? ? 1? Check! ? 1 ? =1 2, OK 9 Calculus II, Lecture #1 09/05/2025
Derivatives of Inverse of Differentiable Functions Derivatives of Inverse of Differentiable Functions Example 8: Find the derivative of inverse for ? ? = 2?2,? 0 and its value when x=5. ? 2 Solution: ? ? = 2?2,? 0 and its inverse ? 1? = ? 5 = 2 52= 50 50 ? 150 = = 5 2 ?? 1 ?? 1 ;?? ??= 4? = ?? ???=? 1(?) 1 1 1 = = = 4 5 20 4 ? 1? 10 Calculus II, Lecture #1 09/05/2025