
Two-Port Matching and Power Gains in Networks
Learn about scattering parameters, incident and reflected waves, port power, properties of scattering parameters, and examples like transmission line elements. Explore how to obtain scattering parameters, analyze power gains, and apply this knowledge in network configurations.
Download Presentation

Please find below an Image/Link to download the presentation.
The content on the website is provided AS IS for your information and personal use only. It may not be sold, licensed, or shared on other websites without obtaining consent from the author. If you encounter any issues during the download, it is possible that the publisher has removed the file from their server.
You are allowed to download the files provided on this website for personal or commercial use, subject to the condition that they are used lawfully. All files are the property of their respective owners.
The content on the website is provided AS IS for your information and personal use only. It may not be sold, licensed, or shared on other websites without obtaining consent from the author.
E N D
Presentation Transcript
Two-port Matching and Power Gains 1. Scattering Parameters 2. Two-port Matching and Power Gains 3. Coding Example 4. Using Online Python 1
1. Scattering Parameters Scattering parameter, S-parameter - Scattering parameters: S11, S12, S21, S22 - Scatterin matrix = + b 11 1 S a 12 2 S a 1 = + b 21 1 S a 22 2 S a 2 :normalized incident voltage at port 1 a 1 :normalized reflected voltage at port 1 b 1 b b S S S S a a 1 11 12 1 = 2 21 22 2 S S S S 11 12 = [ ] S 21 22 2
- Incident and reflected waves + + 1 2 V V Z I Z = = = 0 i i i i ( 1,2) a i i |Re( )| |Re( )| Z 0 0 i i * 0 1 2 V V Z I Z = = i i i i a i |Re( )| |Re( )| Z 0 0 i i + , : incident and reflected voltages at port V V i i i , : total voltage and current at port V I i i i : reference or characte ristic impedance of port i Z 0 i 3
- Obtaining the scatterin parameters b a = 1 (port 2 terminated with ) S Z 11 0 1 = 0 a 2 b a = 2 (port 2 terminated with ) S Z 21 0 1 = 0 a 2 b a = 1 (port 1 terminated with ) S Z 12 0 2 = 0 a 1 b a = 2 (port 1 terminated with ) S Z 22 0 2 = 0 a 1 4
- Port power 2 | | (incident power upon port ) a + = i P i i 2 2 | | (reflected power from port ) b = i P i i 2 2 2 | | | | (power delivered to port ) a b + = = i i P P P i i i i 2 5
- Properties of the scattering parameters = (reciprocal network) S S mn nm 2 2 * t = ] [ ] [ ] (lossless network; unitary condition) S I = | | | | , [ a b S i i 2 2 ... | + + = | | | 1 (lossless network) S S 1 i in 2 2 | | | | (lossy network) a b i i = | | = (complex linear gain), | | (s calar linear gain) G S G S 21 21 = 20log | | (dB) (logarithmic gain) g S 10 21 = 20log | | (dB) (insertion loss) IL S 10 21 = 20log | | (dB) (input return loss) RL S in 10 11 = 20log | | (dB) (output return loss) RL S out 10 22 = = , 22 (reflection coefficient) S S in 11 out 6
Examples - Transmission line l j 0 e = [ ] S l j 0 e - Series element on transmission line Z Z Z Z Z S Z Z Z Z Z + + + Z Z 0 + + 2 2 0 0 Z = [ ] 0 + 2 2 Z 0 0 - Shunt element on transmission line 2 Y Y + 0 + 2 2 Y Y Y Y 0 0 = [ ] S 2 Y Y + 0 + 2 2 Y Y Y Y 0 0 7
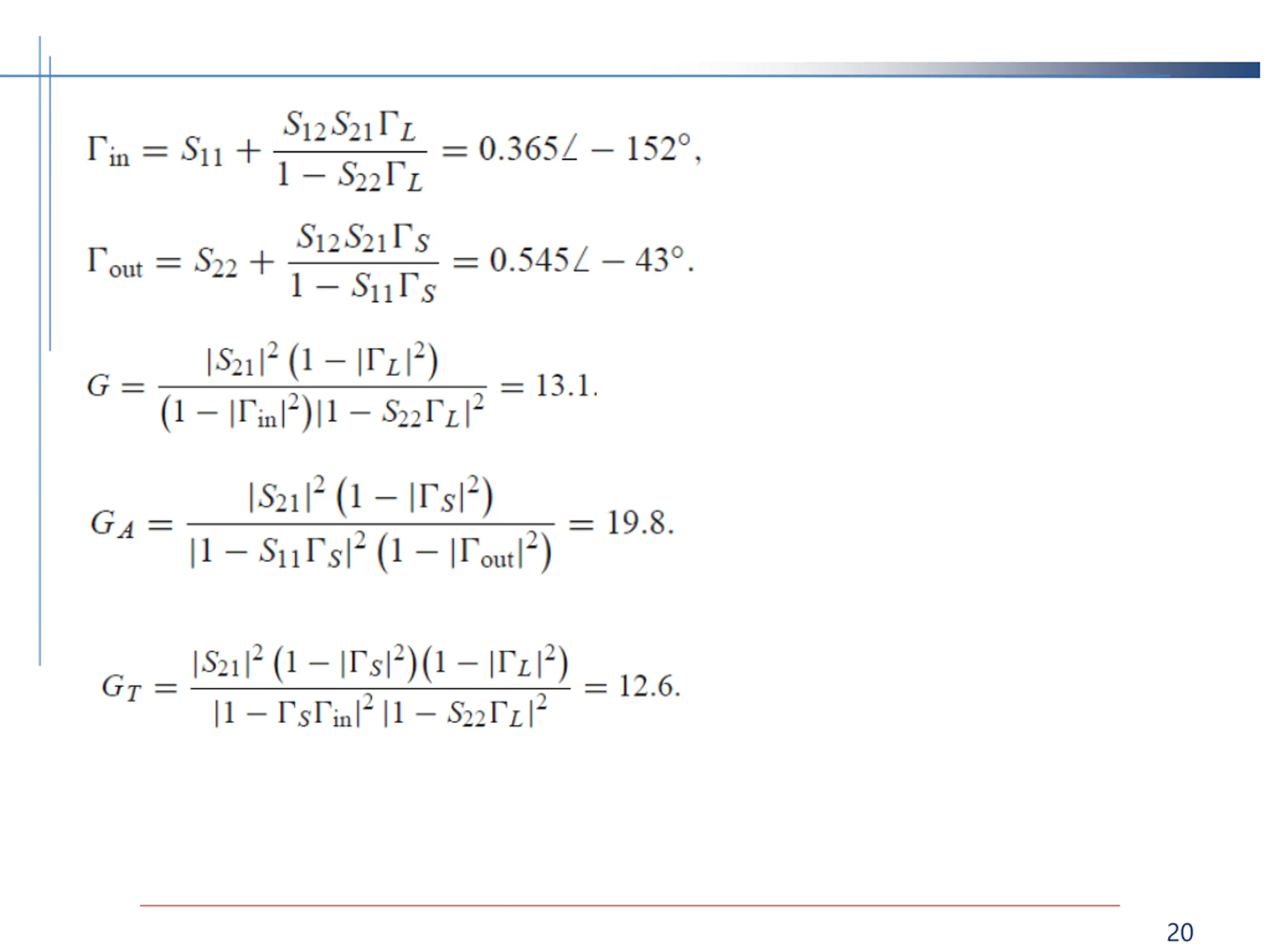
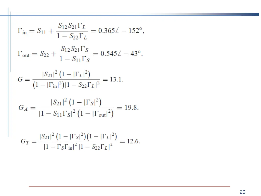
2. Two-port Matching and Power Gains Two-port network with input and output matching network Zs Two port network [S] Output matching network Input matching network ZL Vs Z0 Z0Z0 Z0 Z0 Z0 in,Zin out,Zout L,ZL L Zs s s, Input and output reflection coefficients - Two-port network without input/output matching = + = + Z Z Z Z 12 21 S S S in 0 L S in 11 1 22 in 0 L + 12 21 S S Z Z Z Z = + = out 0 S S out 22 1 S 11 out 0 S + + Z Z Z Z Z Z Z Z = = 0 0 L S , L S 0 0 L S 8
Input voltage and current + + + = + = + V 11 1 S V 12 2 S V 11 1 S V S V 1 12 2 L + + + = + = + V 21 1 S V 22 2 S V 21 1 S V S V 2 22 2 L Eliminate to obtain V 2 + Z Z Z Z V V 12 21 S S S = = + = in 0 1 L S in 11 + 1 22 in 0 L 1 Z + + + = = + = + in (1 ) V V V V V 1 1 1 1 in S Z Z in S + 1 1 = in Z Z in 0 in 1 (1 ) V V + V = = in S S S S , V 1 1 2 1 2 1 9 in in S S
Input voltage and current + (1 )(1 ) V = in S S V 1 2 1 in S + + (1 )(1 ) (1 )(1 ) 1 1 Z V V V Z = = = in in 1 in S S S S I 1 1 2 1 2 1 Z in 0 in in 0 in S S Power supplied by the source to the network 1Re( 2 * 1 = ) P V I S S Power input to the two-port network + 2 2 2 | | |1 | 1 2 | | V V * 2 2 = = (1 | = (1 | 1 Z S Z S Re( ) | ) | ) P 1 1 V I in in in 2 2 8 |1 | 0 0 in S 10
Output votage and current + + + = + = + V 21 1 S V 22 2 S V 21 1 S V S V 2 22 2 L (1 ) V S S S + = = 21 21 S S V V 2 1 1 2 (1 )(1 ) S 22 22 in L L S + = V V 2 2 L + (1 S )(1 ) V S = 21 S S L V 2 2 (1 )(1 ) 22 in L S + + (1 S )(1 ) (1 S )( 1 ) 1 1 Z V S V S V Z = = = 21 21 2 S S L S S )(1 L L I L 1 2 (1 )(1 ) 2 (1 ) Z 0 22 in 0 22 in L L L S L S 11
Power consumed in the load 2 2 2 | | | (1 S )| (1 | )(1 | ) )| 1Re( 2 V S * L = = 21 S Z S L ) P V I 2 L 2 8 |(1 0 22 in L S Power available from the source: input power with input conjugate matching + 2 2 2 | | |1 | 1 2 | | V V * 2 2 = = (1 | = (1 | 1 Z S Z S Re( ) | ) | ) P 1 1 V I in in in 2 2 8 |1 | 0 0 in S * in * in = = (input conjugate matching for maximum power tranfer) Z Z S S * in + Transform from ( )/( ) to using an input match ing network Z Z Z Z 0 0 S S S 2 2 | | |1 | | V = = S Z S avs P P * in in = 2 1 | 8 S 0 S 12
Power available at the output of the two-port network * out * out = = (output conjugate matching for maximum power tranfer) Z Z L L * out + Transform from ( )/( ) to using an output matching network Z Z Z Z 0 0 L L L 2 2 2 | | | (1 S )| (1 | )(1 | ) 1Re( 2 V S * L = = = 21 S Z S L ) avn P P V I * out 2 L = 2 8 |(1 )| L * out 0 22 in L S = L 12 21 S S 12 21 S S S = + = + S L , S S in 11 out 22 1 1 S 22 11 L S = ( )(1 ) 12 21 S S S S out 22 11 S S 13
Power available at the output of the two-port network * out * out ( )(1 S ) S S S S = = 12 21 1 out 22 11 S S 1 1 1 S S in 11 11 S S S * out * out 1 S 22 22 2 1 (1 )(1 | S | ) S S * out * out = = 11 11 1 out S S 1 ( ) S S 22 out 22 * out * out 1 S 22 22 * out 2 = (1 )(1 ) (1 )(1 | | ) S S in 22 11 out S S 2 2 | | | (1 )| V S = 21 S Z S avn P 2 2 8 |1 | (1 | | ) S 0 11 out S 14
Operating power gain 2 2 | | (1 | | (1 | L | ) P P S S = = 21 L L G 2 2 |1 | ) in 22 in Available power gain: input conjugate matchng, output conjugate matching 2 2 | | (1 | | (1 | S | ) avn P P S S = = 21 S G A 2 2 |1 | ) avs 11 out Transducer power gain: input conjugate matching 2 2 2 | | (1 | | )(1 | )(1 | ) S P = = 21 S L L G T 2 avs P |(1 )| S in 22 S L 15
Rollet's stability factor 2 2 2 1 | + | | | | | S S = 11 22 K 2| | 12 21 S S = 11 22 S S 12 21 S S | 1 (unconditionally stable) 1 and | K Edwards-Sinsky stability factor 2 1 | S | S = 11 | | + * 11 | | S 12 21 S S 22 1 (unconditionally stable) 16
Input and output conjugate matching for maximum power transfer * S * L = = and (simultaneous conjugate matching) in out 2 1 2 2 4| | B B C = 1 1 ( 1) K S C 1 2 2 2 2 4| | B B C = 2 2 ( 1) K L C 2 2 2 2 1 | = + | | | | | B S S 1 11 22 2 2 2 1 | = + | | | | | B S S 2 22 11 * 22 = C S S 1 11 * 11 = C S S 2 22 = 11 22 S S 12 21 S S 2 2 | | (1 | | (1 | L | ) S S = = = 21 L G G G A T 2 2 |1 | ) 22 S 17
Input and output impedances for conjugate matching S + + 1 1 1 1 S = Z Z 0 S L = L Z Z 0 L Input matching network: ZS Z'S Output matching network: ZL Z'L 18
Example 19
Example - With Z0 = ZS = ZL = 50 and scattering parameters give by - After input and output conjugate matching 21
3. Coding Example Two-port network input & output matching for maximum power transfer - Input data: vs: source voltage (Vpeak) (real) z0: system reference impedance (ohm) (real) zs: source impedance in real/imaginary form (ohm) zL: load impedance in real/imaginary form (ohm) s11, s12, s21, s22: two-port scattering parameters in polar or real/imaginary form - Output results: 1) Before input/output conjugate matching zin : input impedance at port 1 (ohm) gs : source reflection coefficient (polar) gin : input reflection coefficient at port 1 (polar) v1 : voltage at port 1 (Vpeak) i1 : current at port 1 (Apeak) 22
- Output results: zout : output impedance at port 2 (ohm) gL : load reflection coefficient (polar) gout : output reflection coefficient at port 2 v2 : voltage at port 2 (Vpeak) i2 : current at port 2 (Apeak) ps : power supplied by the source (W) pin : input power to the two-port network (W) pavs : power available from the source (W) pL : power consumed in the load (W) pavn : power available from the two-port network output g : operating power gain in linear and dB ga : available power gain in linear and dB gt : transducer power gain in linear and dB k : Rollet's stability factor d_mag : magnitude of the determinant of the scattering matrix of the two-port mu: Edwards-Sinsky stability factor 23
2) After input/output conjugate matching If k 1, simultaneous conjugate matching not possible If k > 1, then zsp, zLp : transformed source and load impedances (ohm) g : operating power gain in linear and dB ga : available power gain in linear and dB gt : transducer power gain in linear and dB 24
# Two-port network input & output matching for maximum power transfer # Input data: # vs : source volatage (Vpeak) (real) # z0 : system reference impedance (ohm) (real) # zs : source impedance in real/imaginary format (ohm) # zL : load impedace in real/imaginary format (ohm) # s11, s12, s21, s22 : scattering parameters of the two-port network # in polar or rectangular form # Output results: # 1) Before conjugate matching # v1 : voltage at port 1 (Vpeak) # i1 : current at port 1 (Apeak) # zin : input impedance at port 1 (ohm) # v2 : voltage at port 2 (Vpeak) # i2 : current at port 2 (Apeak) # zout : output impedance at port 2 (Vpeak) # ps : power supplied by the source (W) # pin : input poer to the two-port network (W) # pavs : power available from the source (W) 25
# g : operating power gain (linear/dB) # ga: avalable power gain (linear/dB) # gt : transducer power gain (linear/dB) # k : Rollet's stability factor # d_mag : absolute value of scattering-matrix determinant # mu : Edwards-Sinsky stability factor # 2) After conjugate matching # If k <= 1: # print 'Input/output conjugate matching not possible...' # If k > 1: # zsp: transformed source impedance (ohm) # zLp: transformed load impedance (ohm) # g : operating power gain (linear/dB) # ga: avalable power gain (linear/dB) # gt : transducer power gain (linear/dB) 26
import cmath import math rad=3.141593/180 while True: ipolar=int(input('S-parameter form (1:polar, 2:real/imaginary) = ')) vs=float(input('Source voltage (Vpeak), real = ')) z0=float(input('System reference impedance Z0 (ohm) = ')) rs,xs=map(float,input('Source impedance Zs=Rs+jXs (ohm): Rs, Xs = ').split()) zs=complex(rs,xs) rL,xL=map(float,input('Load impedance ZL=RL+jXL (ohm): RL, XL = ').split()) zL=complex(rL,xL) if ipolar == 1: s11m,s11p=map(float,input('Mag(S11), phase(S11)(deg) = ').split()) s12m,s12p=map(float,input('Mag(S12), phase(S12)(deg) = ').split()) s21m,s21p=map(float,input('Mag(S21), phase(S21)(deg) = ').split()) s22m,s22p=map(float,input('Mag(S22), phase(S22)(deg) = ').split()) s11=cmath.rect(s11m,s11p*rad) s12=cmath.rect(s12m,s12p*rad) s21=cmath.rect(s21m,s21p*rad) s22=cmath.rect(s22m,s22p*rad) 27
elif ipolar == 2: s11r,s11i=map(float,input('Re(S11), Im(S11) = ').split()) s12r,s12i=map(float,input('Re(S12), Im(S12) = ').split()) s21r,s21i=map(float,input('Re(S21), Im(S21) = ').split()) s22r,s22i=map(float,input('Re(S22), Im(S22) = ').split()) s11=complex(s11r,s11i) s12=complex(s12r,s12i) s21=complex(s21r,s21i) s22=complex(s22r,s22i) # Quantities at input side gs=(zs-z0)/(zs+z0); gsm=abs(gs); gsp=cmath.phase(gs)/rad gL=(zL-z0)/(zL+z0); gLm=abs(gL); gLp=cmath.phase(gL)/rad gin=s11+s12*s21*gL/(1-s22*gL); ginm=abs(gin); ginp=cmath.phase(gin)/rad zin=z0*(1+gin)/(1-gin) v1=vs*zin/(zs+zin); v1m=abs(v1); v1p=cmath.phase(v1)/rad i1=v1/zin; i1m=abs(i1); i1p=cmath.phase(i1)/rad 28
print(' ') print(' Source voltage (Vpeak) = ',vs) print(' Input impedance at port 1 (ohm) = ', zin) print(' Source reflection coefficient (polar) = ',gsm,gsp) print(' Input reflection coeffcient at port 1 (polar) = ',ginm,ginp) print(' Input voltage (Vpeak) at port 1 in polar = ',v1m,v1p) print(' Input current (Apeak) at port 1 in polar = ',i1m,i1p) # Quantities at output side gout=s22+s12*s21*gs/(1-s11*gs) zout=z0*(1+gout)/(1-gout) goutm=abs(gout); goutp=cmath.phase(gout)/rad v2=(vs/2)*s21*(1-gs)*(1+gL)/((1-s22*gL)*(1-gs*gin)) v2m=abs(v2); v2p=cmath.phase(v2)/rad i2=v2/zout; i2m=abs(i2); i2p=cmath.phase(i2)/rad print(' ') print(' Output impedance at port 2 (ohm) = ',zout) print(' Load reflection coefficient (polar) = ',gLm,gLp) print(' Output reflection coeffcient (polar) = ',goutm,goutp) print(' Output voltage (Vpeak) in polar = ',v2m,v2p) print(' Output current (Apeak) in polar = ',i2m,i2p) 29
# Power calculation ps=vs*i1/2; psr=ps.real pin=abs(vs)**2/(8*z0)*abs(1-gs)**2*(1-abs(gin)**2)/abs(1-gs*gin)**2 pavs=abs(vs)**2/(8*z0)*abs(1-gs)**2/(1-abs(gs)**2) pL=abs(vs)**2/(8*z0)*abs(s21*(1-gs))**2*(1-abs(gL)**2)/abs((1-s22*gL)*(1-gs*gin))**2 pavn=abs(vs)**2/(8*z0)*abs(s21*(1-gs))**2/(abs(1-s11*gs)**2*(1-abs(gout)**2)) print(' ') print(' Sourece power (W) = ',psr) print(' Input power at port 1 (W) = ',pin) print(' Available power from the source (W) = ',pavs) print(' Load power (W) = ',pL) print(' Available power from the network (W) = ',pavn) # Power gain calculation g=abs(s21)**2*(1-abs(gL)**2)/(abs(1-s22*gL)**2*(1-abs(gin)**2)) ga=abs(s21)**2*(1-abs(gs)**2)/ (abs(1-s11*gs)**2*(1-abs(gout)**2)) gt= abs(s21)**2*(1-abs(gs)**2)*(1-abs(gL)**2)/ abs((1-s22*gL)*(1-gs*gin))**2 print(' ') print(' Operating power gain G =',g,'/',10*math.log10(g),'(dB)') print(' Available power gain Ga =',ga,'/',10*math.log10(ga),'(dB)') print(' Transducer power gain Gt =',gt,'/',10*math.log10(gt),'(dB)') 30
# Stability calculation d=s11*s22-s12*s21 k=(1-abs(s11)**2-abs(s22)**2+abs(d)**2)/(2*abs(s12*s21)) mu=(1-abs(s11)**2)/(abs(s22-d*s11.conjugate())+abs(s12*s21)) print(' ') print(' Rollet\'s stability factor K (>1 if stable) = ',k) print(' Rollet\'s stability factor d_mag (< 1 if stable) = ',abs(d)) print(' Edwards stability factor mu (>1 if stable) = ',mu) # Input/output conjugate matching if k > 1: b1=1+abs(s11)**2-abs(s22)**2-abs(d)**2 b2=1+abs(s22)**2-abs(s11)**2-abs(d)**2 c1=s11-d*s22.conjugate() # complex class conjugate function c2=s22-d*s11.conjugate() gsp=(b1-math.sqrt(b1**2-4*abs(c1)**2))/(2*c1) # Transformed source reflection gLp=(b2-math.sqrt(b2**2-4*abs(c2)**2))/(2*c2) # Transformed load reflection zsp=(1+gsp)*z0/(1-gsp) zLp=(1+gLp)*z0/(1-gLp) 31
print(' ') print(' Transformed source impedance: Zsp = ',zsp) print(' Transformed load impedance: ZLp = ',zLp) gL=gLp; gs=gsp gin=gsp.conjugate(); gout=gLp.conjugate() g=abs(s21)**2*(1-abs(gL)**2)/(abs(1-s22*gL)**2*(1-abs(gin)**2)) ga=abs(s21)**2*(1-abs(gs)**2)/ (abs(1-s11*gs)**2*(1-abs(gout)**2)) gt= abs(s21)**2*(1-abs(gs)**2)*(1-abs(gL)**2)/ (abs(1-s22*gL)**2*abs(1-gs*gin)**2) print(' Power gain G =',g,'/',10*math.log10(g),'(dB)') print(' Available power gain Ga =',ga,'/',10*math.log10(ga),'(dB)') print(' Transducer power gain Gt =',gt,'/',10*math.log10(gt),'(dB)') print(' ') else: print(' ') print(' The network cannot be conjugate-matched...') print(' ') 32
''' Sample run S-parameter form (1:polar, 2:real/imaginary) = 1 Source voltage (Vpeak), real = 1 System reference impedance Z0 (ohm) = 50 Source impedance Zs=Rs+jXs (ohm): Rs, Xs = 20 20 Load impedance ZL=RL+jXL (ohm): RL, XL = 40 0 Mag(S11), phase(S11)(deg) = 0.1 2 Mag(S12), phase(S12)(deg) = 0.8 -100 Mag(S21), phase(S21)(deg) = 0.8 -100 Mag(S22), phase(S22)(deg) = 0.1 100 33
Source voltage (Vpeak) = 1.0 Input impedance at port 1 (ohm) = (69.91203191917708-3.1093010629658027j) Source reflection coefficient (polar) = 0.49526055654364864 130.36452219834987 Input reflection coeffcient at port 1 (polar) = 0.1680111613227668 -7.389831770229386 Input voltage (Vpeak) at port 1 in polar = 0.7649482501639194 -13.185992261202722 Input current (Apeak) at port 1 in polar = 0.010930777203899952 -10.639470812065685 Output impedance at port 2 (ohm) = (56.54525858808134-21.879898520912395j) Load reflection coefficient (polar) = 0.1111111111111111 179.99998015215937 Output reflection coeffcient (polar) = 0.20996778395869814 -61.74091356141908 Output voltage (Vpeak) in polar = 0.46706774279660934 -112.75294363306014 Output current (Apeak) in polar = 0.007703470768125124 -91.59925510327503 Sourece power (W) = 0.005371429766367877 Input power at port 1 (W) = 0.00417661086355489 Available power from the source (W) = 0.006250000000000003 Load power (W) = 0.0027269034545139956 Available power from the network (W) = 0.0029537049807950265 34
Operating power gain G = 0.6528986165096103 / -1.8515425166338568 (dB) Available power gain Ga = 0.47259279692720413 / -3.2551290199820686 (dB) Transducer power gain Gt = 0.4363045527222393 / -3.602102552418523 (dB) Rollet's stability factor K (>1 if stable) = 1.0804039274288189 Rollet's stability factor d_mag (< 1 if stable) = 0.634757455339351 Edwards stability factor mu (>1 if stable) = 1.2634491974830742 Transformed source impedance: Zsp = (78.08792105218402-17.565644004445534j) Transformed load impedance: ZLp = (34.89372207163361-16.192980191048612j) Power gain G = 0.6714141397768333 / -1.7300951688247814 (dB) Available power gain Ga = 0.6714141397768332 / -1.7300951688247823 (dB) Transducer power gain Gt = 0.6714141397768334 / -1.730095168824781 (dB) S-parameter form (1:polar, 2:real/imaginary) = End of sample run ''' 35
4. Using www.online-python.com Getting stared with Online Python 1. Connect to www.online-python https://www.online-python.com/ 2. Copy your code or write your code on the upper window 3. Click [Run] 4. Enter input data in the lower window 5. Results will be printed in the lower window 36
Menus on Online Python - Upper window, menus on top left Open file from disk Save file to disk Undo Redo - Upper window, menus on top right Change theme About site Settings - Lower window, menus on top left Run Share Command Line Arguments - Lower window, menus on left side Copy to clipboard: copy ( Ctrl+v ) Download: txt Clear: Smart terminal: >>> interpreter . Python 1 . help(print) help Expand/Collapse: Expand = , Collapse: , 37