
Understanding Functions and Inverse Functions in Mathematics II
Explore the definitions and properties of inverse functions, functions, and their notation. Learn through examples and theorems how to determine if an inverse function exists and its characteristics in the realm of mathematics.
Download Presentation

Please find below an Image/Link to download the presentation.
The content on the website is provided AS IS for your information and personal use only. It may not be sold, licensed, or shared on other websites without obtaining consent from the author. If you encounter any issues during the download, it is possible that the publisher has removed the file from their server.
You are allowed to download the files provided on this website for personal or commercial use, subject to the condition that they are used lawfully. All files are the property of their respective owners.
The content on the website is provided AS IS for your information and personal use only. It may not be sold, licensed, or shared on other websites without obtaining consent from the author.
E N D
Presentation Transcript
Foundation of Mathematics II Dr. Entisar Abdul Latif Ali
Some Types of Functions 1.Inverse Function and Its Properties We start this section by restate some basic and useful concepts. Definition 1.1.1. (Inverse of a Relation) Suppose ? ? ? is a relation between ?and ?then the inverse relation ? 1 ? A is defined as the relation between ?and ?and is given by ?? 1?if and only if ???. That is,? 1= {(?,?) ? ? (?,?) ?}. Definition 1.1.2. (Function) (i) A relation ? from ? to ? is said to be function iff ? ? !? ? such that (?,?) ? (ii) A relation ? from ? to ? is said to be function iff ? ? ?,? ?, if ?,? ? (?,?) ?, then ? = ?. (iii) A relation ? from ? to ? is said to be function iff (?1,?1) and (?2,?2) ? such that if ?1= ?2, then ?1= ?2. This property called thewell-defined relation.
Notation 1.1.3. We write ? (?) = ? when (?,?) ? where ? is a function. We say that ? is the image of ? under ?, and ? is a preimage of ?. Question1.1.4. It is clear from Definition 1.1 and 1.2 that if ? ? ? is a function, does ? 1: ? ? exist? If Yes, does ? 1: ? ? is a function? Example 1.1.5. (i) Let ? = {1,2,3}, ? = {?,?} and ?1 be a function from ? to ? defined bellow. ?1= { 1,? , 2,? , 3,? }. Then ?1 (ii) Let ? = {1,2,3}, ? = {?,?,?,?} and ?2 be a function from ? to ? defined bellow. ?2= { 1,? , 2,? , 3,? }. Then ?2 (iii) Let ? = {1,2,3}, ? = {?,?,?,?} and ?3 be a function from ? to ? defined bellow. ?3= { 1,? , 2,? , 3,? }. Then ?3 (iv) Let ? = {1,2,3}, ? = {?,?,?,} and ?4 be a function from ? to ? defined bellow. ?4= { 1,? , 2,? , 3,? }. Then ?4 (v) Let ? = {1,2,3}, ? = {?,?,?,} and ?5 be a relation from ? to ? defined bellow. ?5= { 1,? , 1,? , 3,? }. Then ?5 is -------------------- and ?5 --------- . Definition 1.1.6. (Inverse Function) The function ?:? ? is said to be has inverse if the inverse relation ? 1: ? ? is function. 1 is ------------------------ . 1 is ------------------------ . 1is ------------------------ . 1 is ------------------------ . 1 is --------
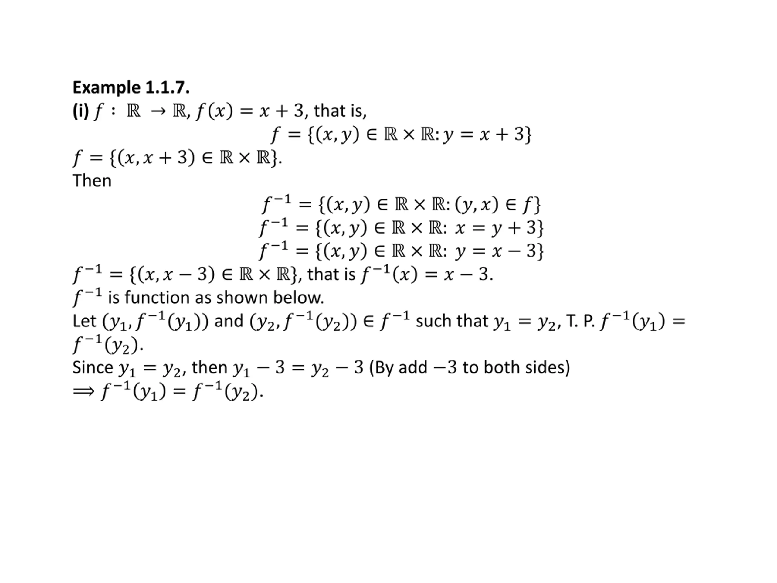
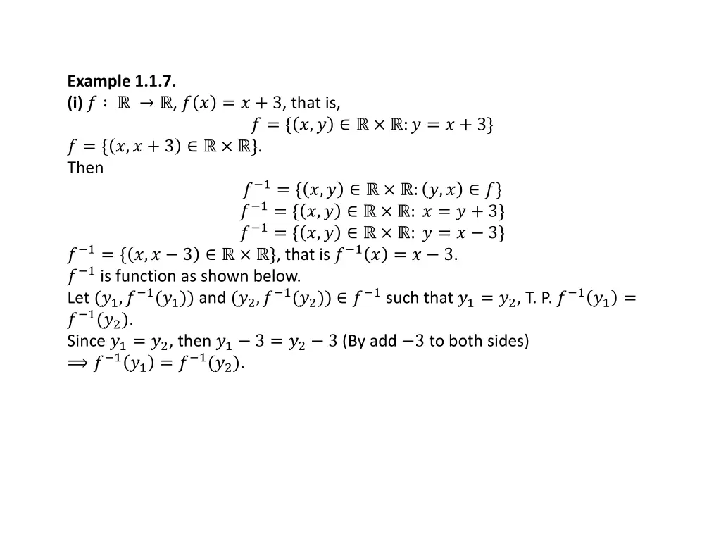
Example 1.1.7. (i)? , ? ? = ? + 3, that is, ? = { ?,? :? = ? + 3} ? = { ?,? + 3 }. Then ? 1= { ?,? : ?,? ?} ? 1= { ?,? : ? = ? + 3} ? 1= { ?,? : ? = ? 3} ? 1= { ?,? 3 }, that is ? 1? = ? 3. ? 1 is function as shown below. Let (?1,? 1(?1)) and (?2,? 1(?2)) ? 1 such that ?1= ?2, T. P. ? 1?1 = ? 1(?2). Since ?1= ?2, then ?1 3 = ?2 3 (By add 3 to both sides) ? 1?1 = ? 1(?2).
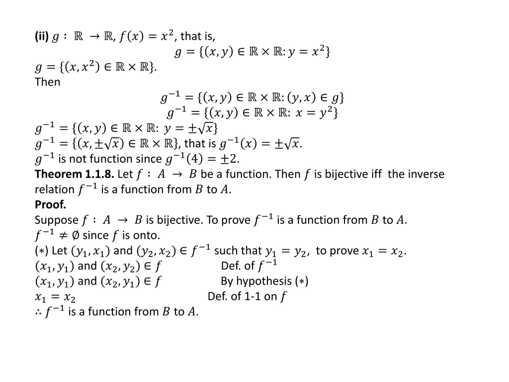
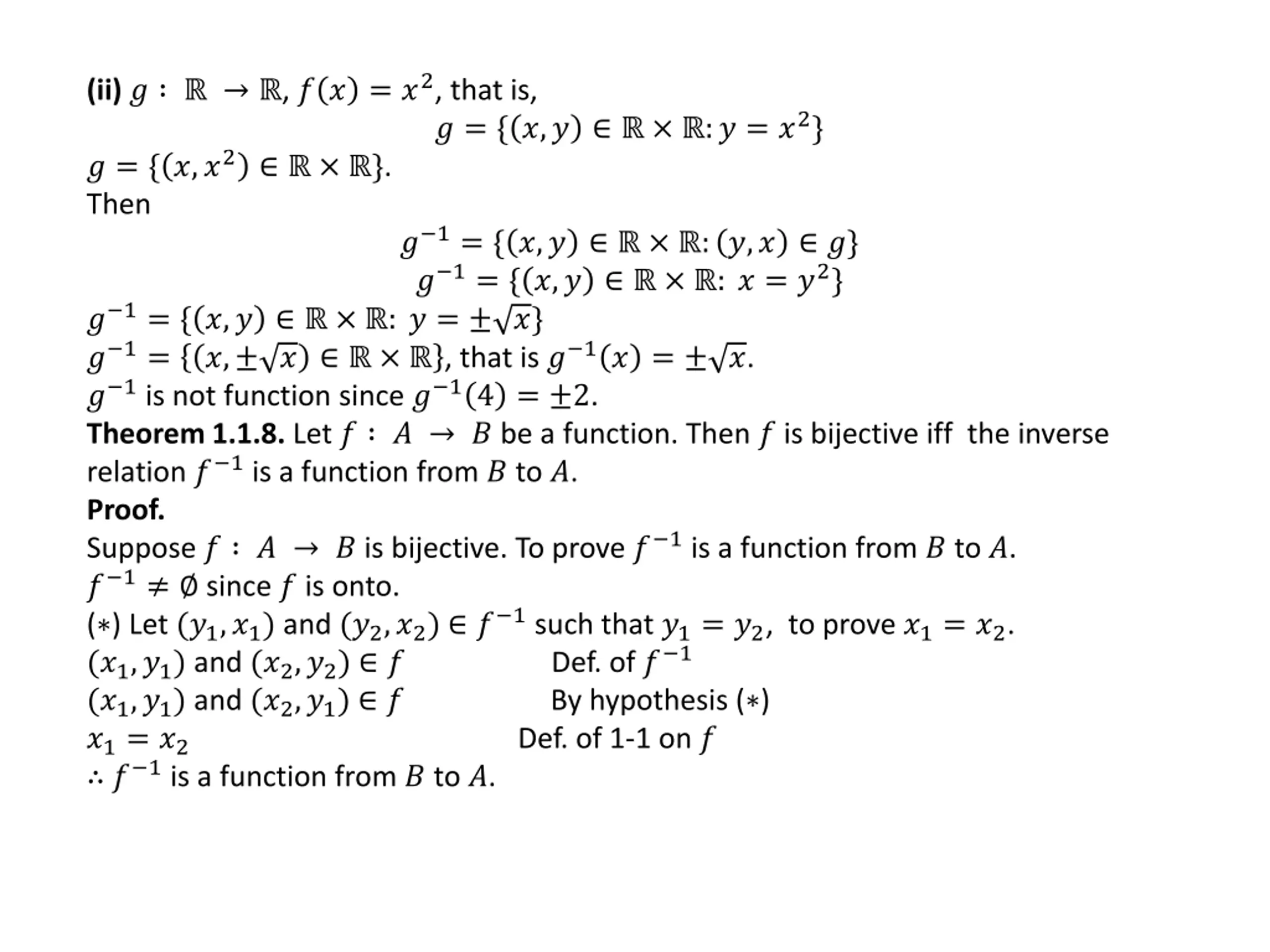
(ii)? , ? ? = ?2, that is, ? = { ?,? :? = ?2} ? = { ?,?2 }. Then ? 1= { ?,? : ?,? ?} ? 1= { ?,? : ? = ?2} ? 1= { ?,? : ? = ?} ? 1= ?, ? , that is ? 1? = ?. ? 1 is not function since ? 14 = 2. Theorem 1.1.8. Let ? ? ? be a function. Then ? is bijective iff the inverse relation ? 1is a function from ? to ?. Proof. Suppose ? ? ? is bijective. To prove ? 1is a function from ? to ?. ? 1 since ? is onto. ( ) Let (?1,?1) and (?2,?2) ? 1 such that ?1= ?2, to prove ?1= ?2. (?1,?1) and (?2,?2) ? Def. of ? 1 (?1,?1) and (?2,?1) ? By hypothesis ( ) ?1= ?2 Def. of 1-1 on ? ? 1is a function from ? to ?.
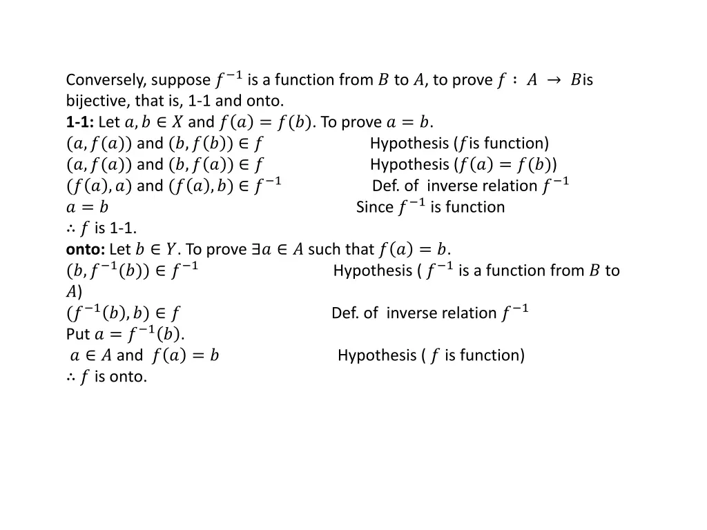
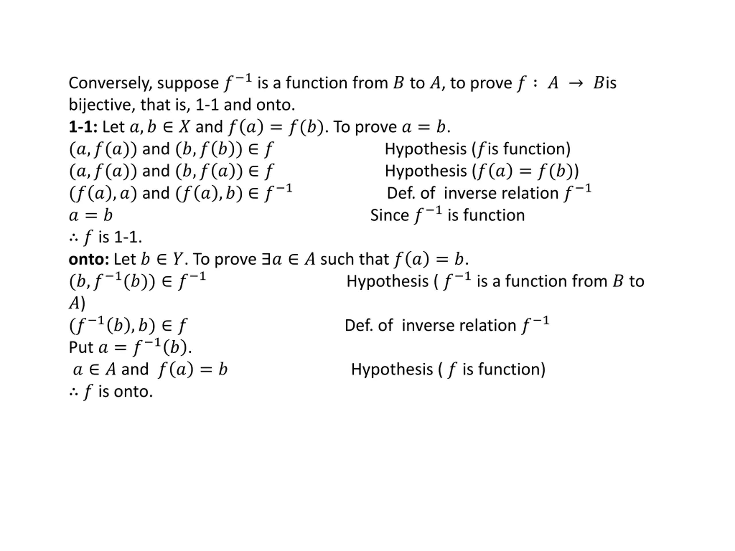
Conversely, suppose ?1is a function from ? to ?, to prove ? ? ?is bijective, that is, 1-1 and onto. 1-1: Let ?,? ? and ? ? = ?(?). To prove ? = ?. (?,?(?)) and (?,? ? ) ? Hypothesis (?is function) (?,?(?)) and (?,? ? ) ? Hypothesis (? ? = ?(?)) (? ? ,?) and (? ? ,?) ? 1 Def. of inverse relation ? 1 ? = ? Since ? 1 is function ? is 1-1. onto: Let ? ?. To prove ? ? such that ? ? = ?. (?,? 1(?)) ? 1 Hypothesis ( ? 1is a function from ? to ?) (? 1? ,?) ? Def. of inverse relation ? 1 Put ? = ? 1? . ? ? and ? ? = ? Hypothesis ( ? is function) ? is onto.
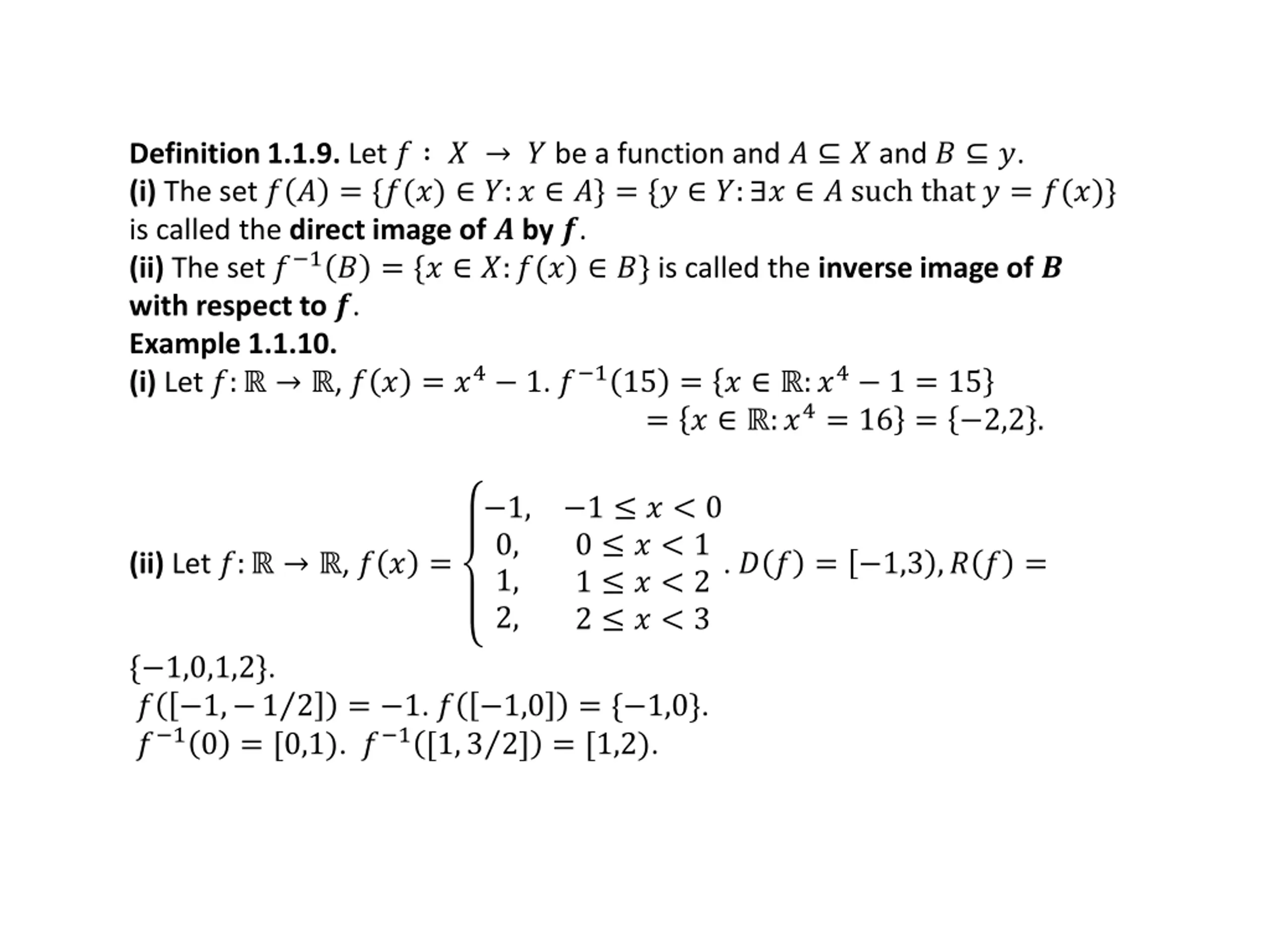
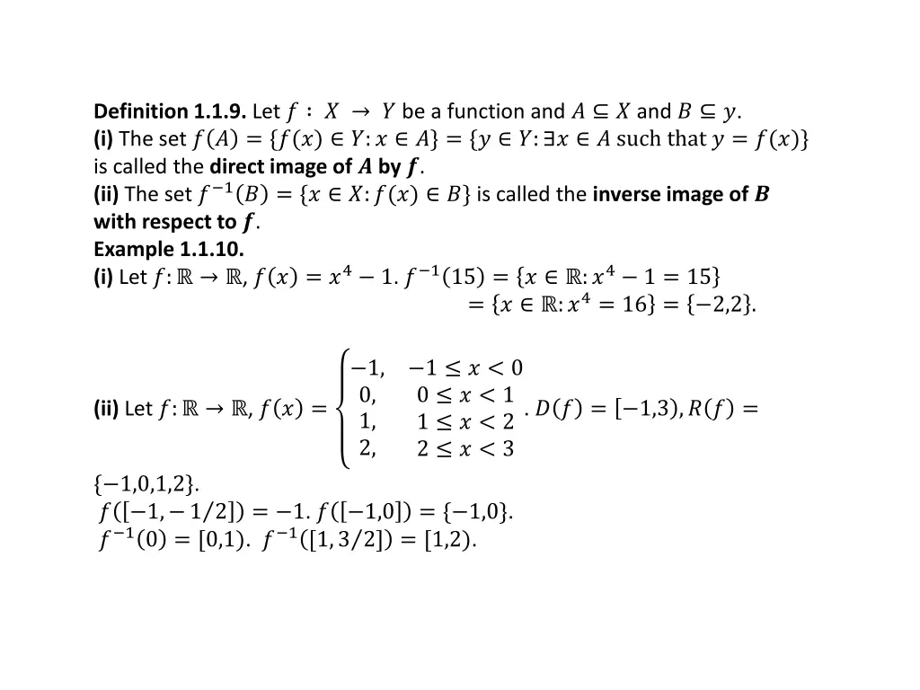
Definition1.1.9. Let ? ? ? be a function and ? ? and ? ?. (i) The set ? ? = {?(?) ?:? ?} = {? ?: ? ? such that ? = ?(?)} is called the direct image of ? by ?. (ii) The set ? 1? = {? ?:?(?) ?} is called the inverse image of ? with respect to ?. Example 1.1.10. (i) Let ?: , ? ? = ?4 1. ? 115 = ? :?4 1 = 15 = ? :?4= 16 = 2,2 . 1, 0, 1, 2, 1 ? < 0 0 ? < 1 1 ? < 2 2 ? < 3 (ii) Let ?: , ? ? = . ? ? = 1,3 ,? ? = { 1,0,1,2}. ? 1, ? 10 = [0,1). ? 1[1, 1 2 = 1. ? 1,0 = { 1,0}. 3 2] = [1,2).
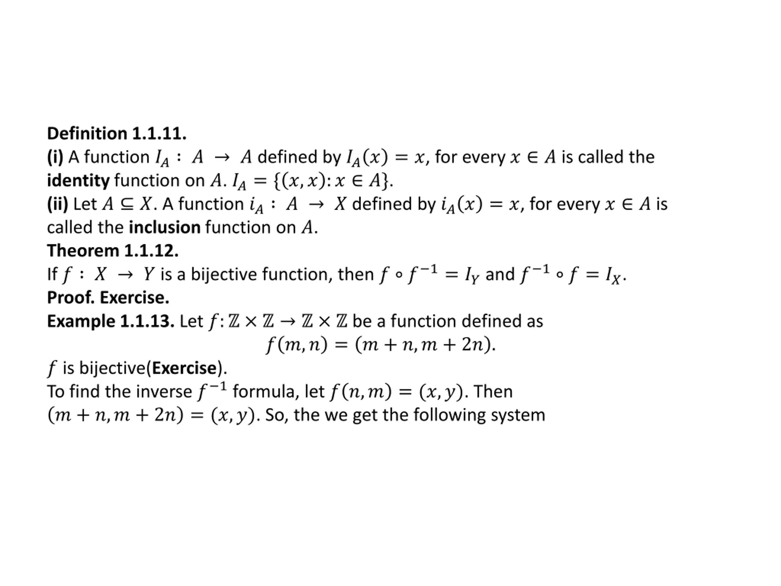
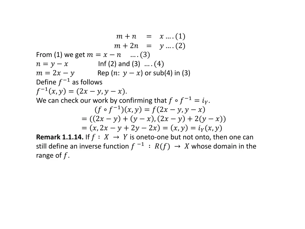
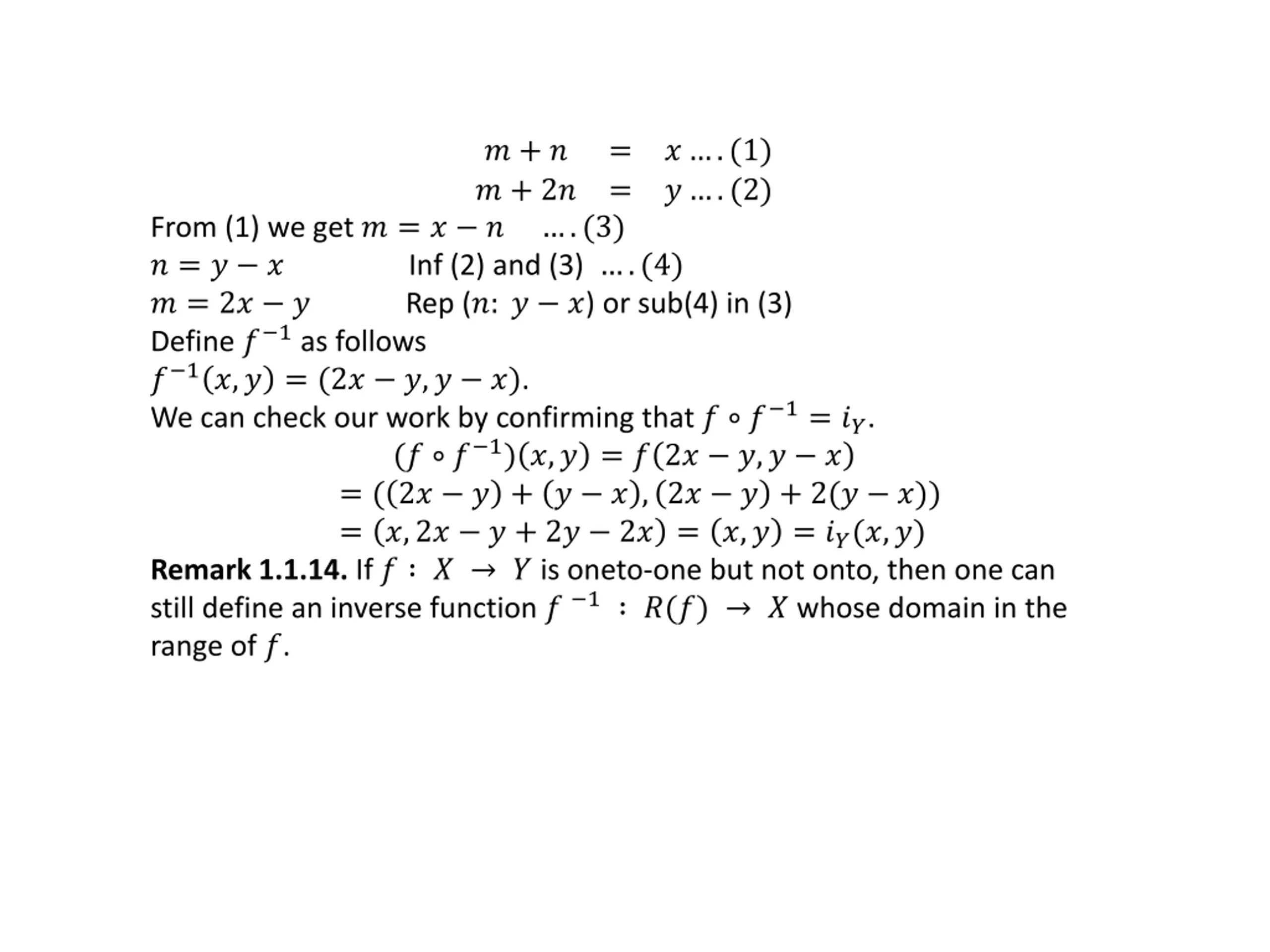
Definition1.1.11. (i) A function ?? ? ? defined by ??? = ?, for every ? ? is called the identity function on ?. ??= { ?,? :? ?}. (ii) Let ? ?. A function ?? ? ? defined by ??? = ?, for every ? ? is called the inclusion function on ?. Theorem 1.1.12. If ? ? ? is a bijective function, then ? ? 1= ?? and ? 1 ? = ??. Proof. Exercise. Example 1.1.13. Let ?: be a function defined as ? ?,? = ? + ?,? + 2? . ? is bijective(Exercise). To find the inverse ? 1 formula, let ? ?,? = (?,?). Then ? + ?,? + 2? = (?,?). So, the we get the following system
? + ? ? + 2? = = ? .(1) ? .(2) From (1) we get ? = ? ? .(3) ? = ? ? Inf (2) and (3) .(4) ? = 2? ? Rep (?: ? ?) or sub(4) in (3) Define ? 1 as follows ? 1?,? = (2? ?,? ?). We can check our work by confirming that ? ? 1= ??. (? ? 1) ?,? = ? 2? ?,? ? = ( 2? ? + ? ? , 2? ? + 2(? ?)) = ?,2? ? + 2? 2? = ?,? = ??(?,?) Remark1.1.14. If ? ? ? is oneto-one but not onto, then one can still define an inverse function ? 1 ?(?) ? whose domain in the range of ?.
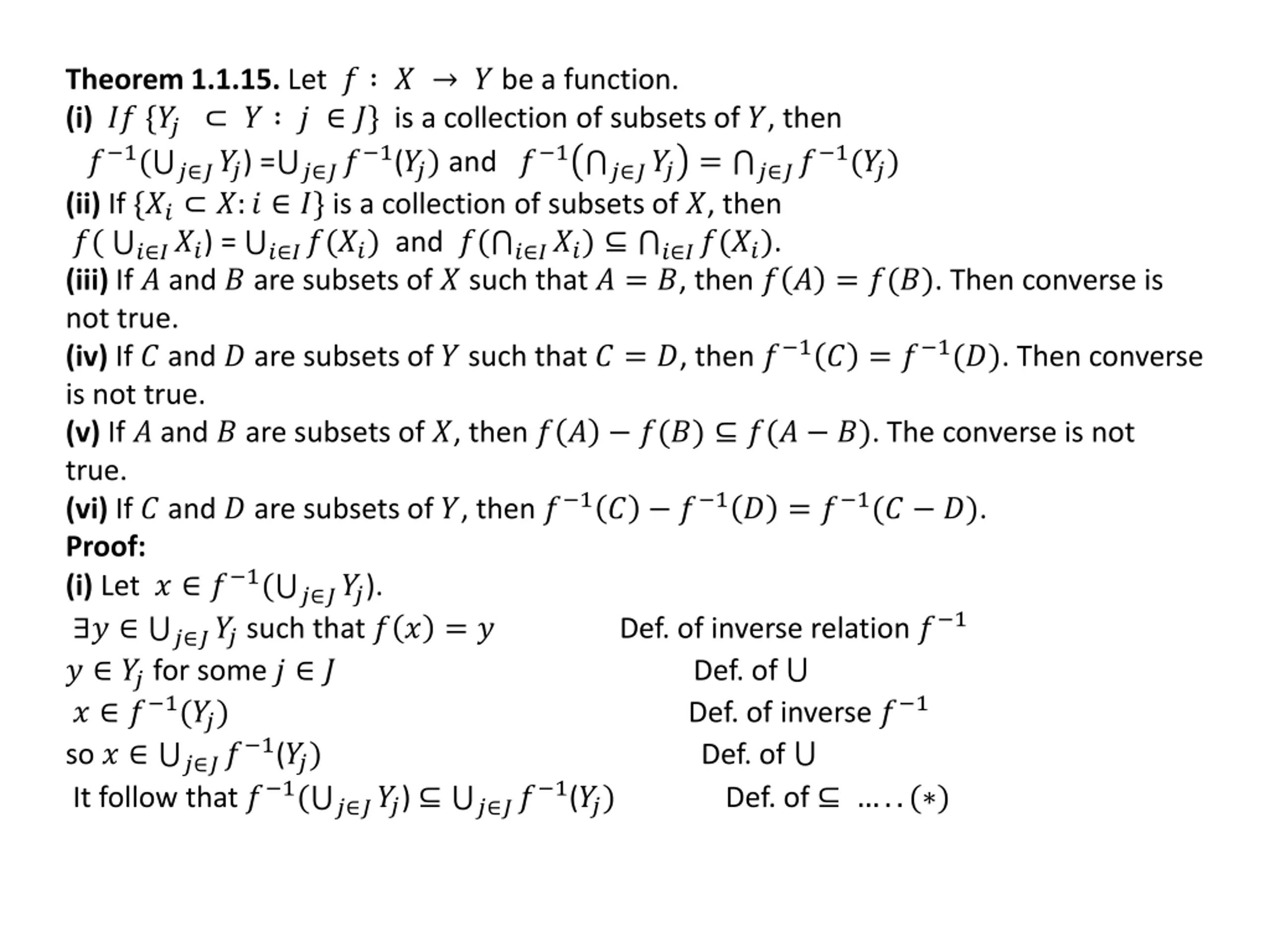
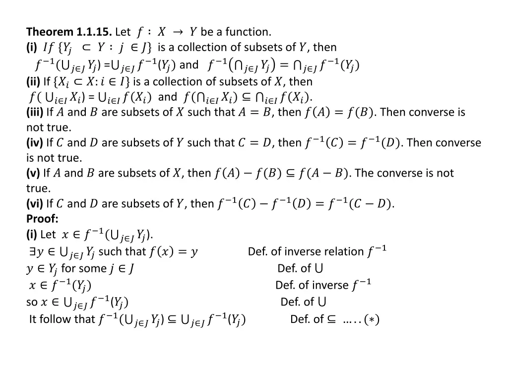
Theorem1.1.15. Let ? ? ? be a function. (i)?? {?? ? ? ?} is a collection of subsets of ?, then ? 1( ? ???) = ? ?? 1(??) and ? 1 ? ??? = ? ?? 1(??) (ii) If {?? ?:? ?} is a collection of subsets of ?, then ?( ? ???) = ? ??(??) and ?( ? ???) ? ??(??). (iii) If ? and ? are subsets of ? such that ? = ?, then ? ? = ?(?). Then converse is not true. (iv) If ? and ? are subsets of ? such that ? = ?, then ? 1? = ? 1(?). Then converse is not true. (v) If ? and ? are subsets of ?, then ? ? ?(?) ?(? ?). The converse is not true. (vi) If ? and ? are subsets of ?, then ? 1? ? 1? = ? 1(? ?). Proof: (i) Let ? ? 1( ? ???). ? ? ??? such that ? ? = ? Def. of inverse relation ? 1 ? ?? for some ? ? Def. of ? ? 1(??) Def. of inverse ? 1 so ? ? ?? 1(??) Def. of It follow that ? 1( ? ???) ? ?? 1(??) Def. of ..( )
Conversely, If ? ???1(??), then ? ?1(??), for some ? ? Def. of So ?(?) ?? and ? ? ? ??? Def. of inverse and ? ? 1( ? ???) Def. of inverse ? 1 It follow that ? ?? 1(??) ? 1( ? ???) Def. of ..( ) ? 1( ? ???) = ? ?? 1(??) From ,( ) and Def. of = Example 1.1.16. Let ?: be a function defined as ? ? = 1. ? ?= . ? ? ? = ? = . But ?( ?) ?( ?) = {1}. 2.Types of Function Definitions 1.2.1. (i)(Constant Function) The function ?:? ? is said to be constant function if there exist a unique element ? ? such that ? ? = ? for all ? ?.
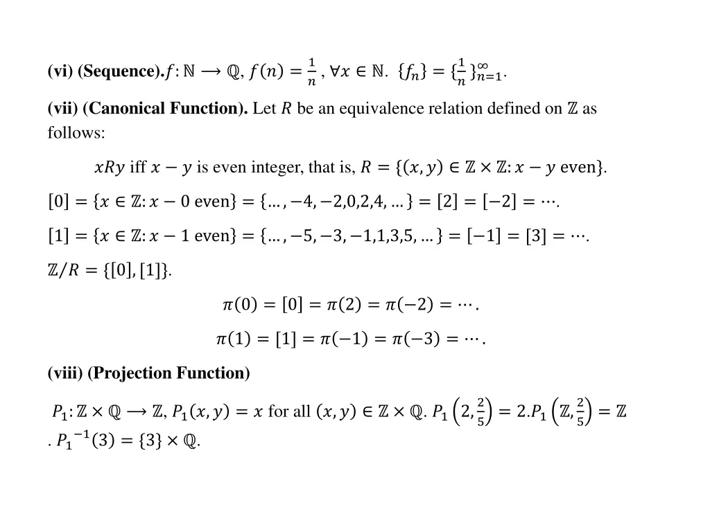
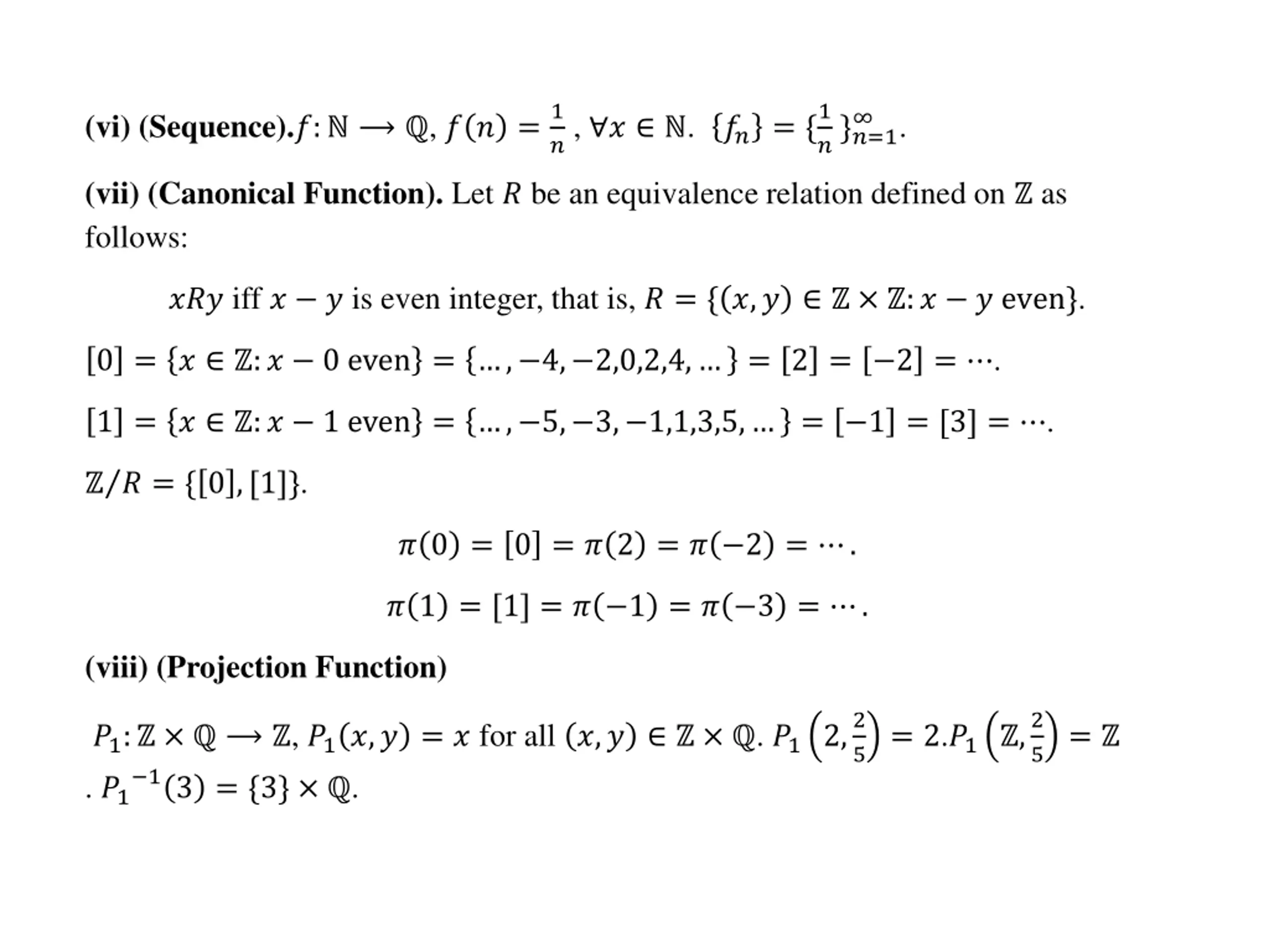
(ii)(Restriction Function) Let ?:? ? be a function and ? ?. Then the function ?:? ? defined by ? ? = ?(?) all ? ? is said to be restriction function of ?and denoted by ? = ??. (iii)(Extension Function) Let ?:? ? be a function and ? ?. Then the function ?:? ? defined by ? ? = ?(?) all ? ? is said to be extension function of ? from ? to ?. (iv) (Absolute Value Function ) The function ?: which defined as follows ? ? = ? = ?, ? 0 ? < 0 ? is called the absolute value function. (v) (Permutation Function) Every bijection function ? on a non empty set ? is said to be permutation on ?. (vi) (Sequence) Let ? be a non empty set. A function ?: ? is called a sequence in ? and denoted by {??}, where ??= ?(?). (vii) (Canonical Function) Let ? be a non empty set, ? an equivalence relation on ? and equivalence class. The function ?:? ? ? defined by ? ? = [?] is called the canonical function. ? ? be the set of all
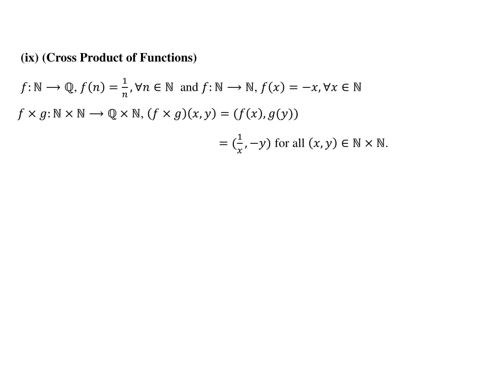
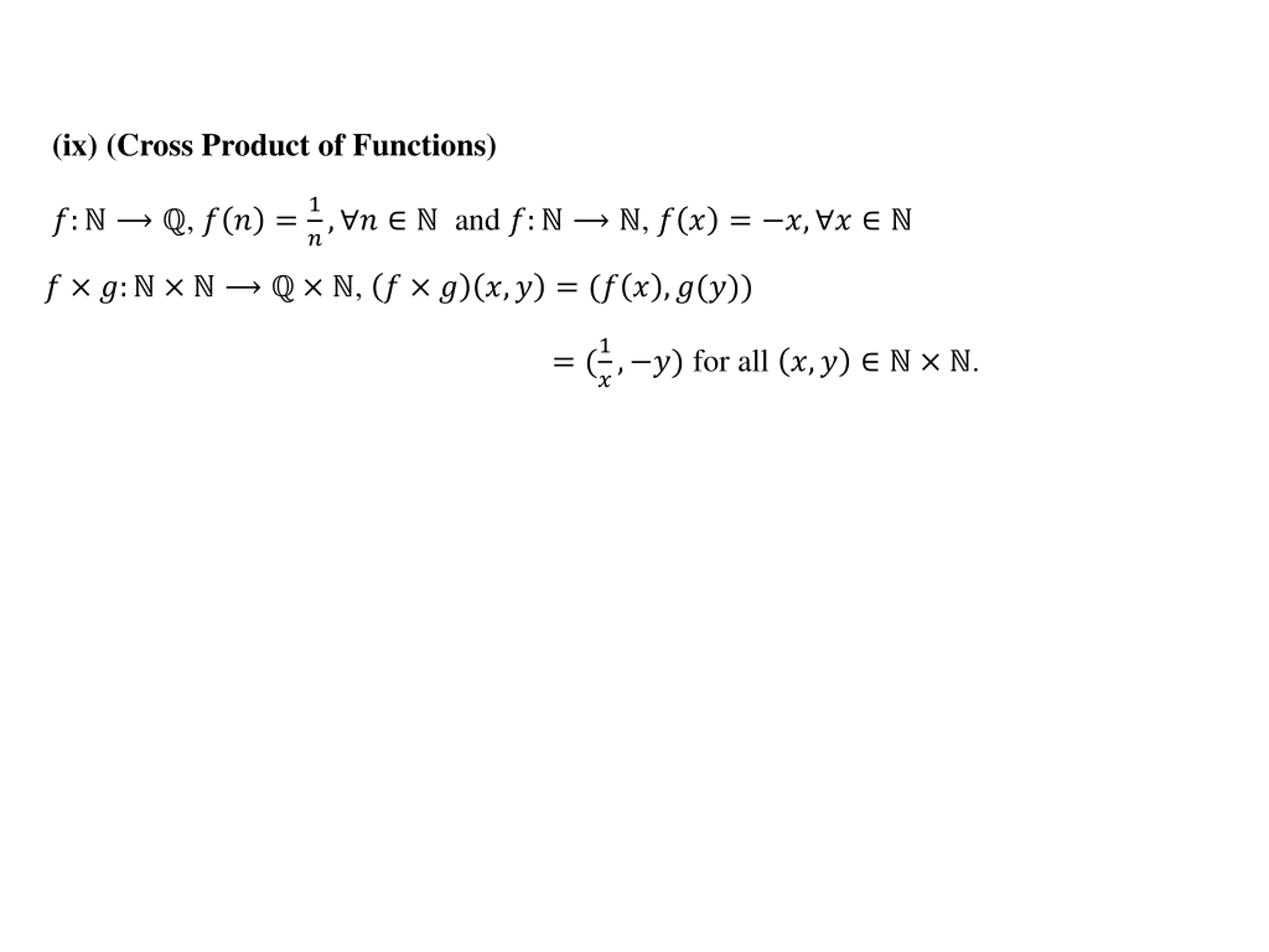
(viii) (Projection Function) Let ?1, ?2 be two sets. The function ?1:?1 ?2 ?1 defined by ?1?,? = ? for all ?,? ?1 ?2 is called the first projection. The function ?2:?1 ?2 ?2 defined by ?2?,? = ? for all ?,? ?1 ?2 is called the second projection. (ix) (Cross Product of Functions) Let ?:?1 ?2 and ?:?1 ?2 be two functions. The cross product of ? with ?, ? ?:?1 ?1 ?2 ?2 is the function defined as follows: ? ? ?,? = (? ? ,?(?)) for all ?,? ?1 ?1. Examples 1.2.2. (i)(Constant Function). ?: , ? ? = 2, ? . ? ? = , ? ? = {1}, ??? ? = .
(ii) (Restriction Function). ?: , ? ? = ? + 1,? . ? ? = , ? ? = , ??? ? = . Let ? = [ 1,0]. ? = ??:? . ? ? = ? ? = ? + 1, ? ?. ? ? = ?, ? ? = [ 1,1], ??? ? = .
(iii) (Extension Function). ?:[1,0] , ? ? = ? + 1,? [1,0]. ? ? = [ 1,0], ? ? = [ 1,1], ??? ? = . Let ? = . ?:? . ? ? = ? ? = ? + 1, ? ?. ? ? = ?, ? ? = , ??? ? = . (iv) (Absolute Value Function ) ?: , ? ? = ? = ?, ? 0 ? < 0. ? ? ? = , , ? ? = [0, ), ??? ? = .
(v) (Permutation Function). ?: , ? ? = ?,? . The function is bijective, so it is permutation function. ? ? = , , ? ? = , ??? ? = .
1 ? , ? . ?? = {1 . (vi) (Sequence).?: , ? ? = ? }?=1 (vii) (Canonical Function). Let ? be an equivalence relation defined on as follows: ??? iff ? ? is even integer, that is, ? = { ?,? :? ? even}. 0 = ? :? 0 even = , 4, 2,0,2,4, = 2 = 2 = . 1 = ? :? 1 even = , 5, 3, 1,1,3,5, = 1 = [3] = . ? = { 0 ,[1]}. ? 0 = 0 = ? 2 = ? 2 = . ? 1 = [1] = ? 1 = ? 3 = . (viii) (Projection Function) ?1: , ?1?,? = ? for all ?,? . ?1 2,2 . ?1 13 = {3} . = 2.?1 ,2 = 5 5
(ix) (Cross Product of Functions) 1 ?, ? and ?: , ? ? = ?, ? ?: , ? ? = ? ?: , ? ? ?,? = (? ? ,?(?)) = (1 ?, ?) for all ?,? .