
Understanding the Significance of Normal Distribution in Statistics
Delve into the essence of normal distribution, a fundamental concept in statistics that forms the basis for various analytical methods. Discover how the parameters μ and σ² define the mean and variance of a random variable X. Uncover the key characteristics and formulas associated with normal distribution.
Download Presentation

Please find below an Image/Link to download the presentation.
The content on the website is provided AS IS for your information and personal use only. It may not be sold, licensed, or shared on other websites without obtaining consent from the author. If you encounter any issues during the download, it is possible that the publisher has removed the file from their server.
You are allowed to download the files provided on this website for personal or commercial use, subject to the condition that they are used lawfully. All files are the property of their respective owners.
The content on the website is provided AS IS for your information and personal use only. It may not be sold, licensed, or shared on other websites without obtaining consent from the author.
E N D
Presentation Transcript
Lecture Nine Normal Distribution
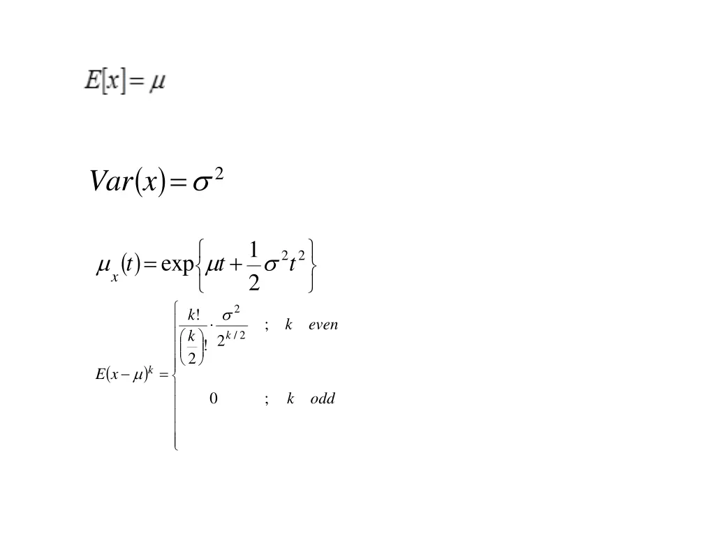
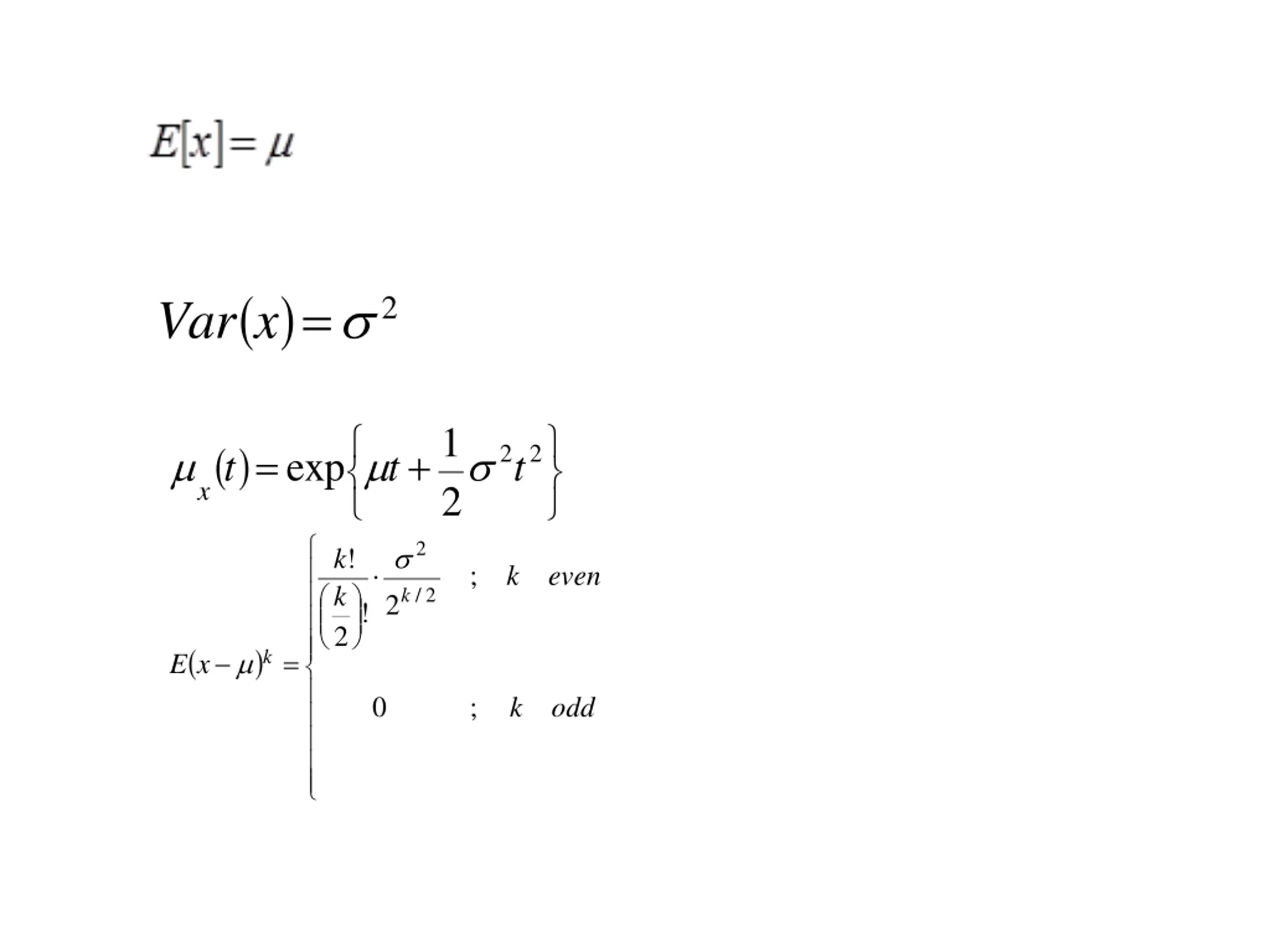
Normal distribution is the most famous in statistics science. Moreover, many methods of statistical analyses are based on normality. The parameters and 2represent the mean and variance respectively. A r.v. X has Normal dist. with parameters ( ) & ( 2), 2>0 if:
( ) x = 2 Var 1 ( ) t = + 2 2 exp t t x 2 2 ! k ; k even k 2 / 2 k 2 ! ( ) = k E x 0 ; k odd