Understanding Time Series Analysis Components and Models

time series analysis n.w
1 / 18
Embed
Share

Explore the components - Trend, Seasonality, Cyclic, and Irregular - in time series analysis, along with additive and multiplicative models. Learn how to choose between these models and methods of isolating trends. Dive into practical examples to comprehend the concepts.

  • Time Series
  • Analysis
  • Components
  • Models
  • Trend

Uploaded on | 3 Views


Download Presentation

Please find below an Image/Link to download the presentation.

The content on the website is provided AS IS for your information and personal use only. It may not be sold, licensed, or shared on other websites without obtaining consent from the author. If you encounter any issues during the download, it is possible that the publisher has removed the file from their server.

You are allowed to download the files provided on this website for personal or commercial use, subject to the condition that they are used lawfully. All files are the property of their respective owners.

The content on the website is provided AS IS for your information and personal use only. It may not be sold, licensed, or shared on other websites without obtaining consent from the author.

E N D

Presentation Transcript


  1. TIME SERIES ANALYSIS Tides Sunspots Dow Jones Industrial Averages

  2. FOUR COMPONENTS: Trend (T) The long-term progression in the data (upward, downward, or stable). Seasonality (S) Regular patterns repeating over specific periods (e.g., monthly, quarterly). Cyclic (C) Fluctuations not of fixed period, usually tied to economic or business cycles. Irregular/Random (R) Random noise or residuals that cannot be explained by other components.

  3. TIME SERIES ANALYSIS Time Secular Trend Short time Oscillation Cyclical Fluctuations Seasonal fluctuations Irregular fluctuations

  4. MODELS Additive Model Multiplicative Model

  5. MULTIPLICATIVE MODEL ? = ? ? ? ? Y Observed value T Trend C Cyclical fluctuation S Seasonal fluctuation I Irregular fluctuation

  6. ADDITIVE MODEL ? = ? + ? + ? + ? Y Observed value T Trend C Cyclical fluctuation S Seasonal fluctuation I Irregular fluctuation

  7. CHOOSING BETWEEN ADDITIVE AND MULTIPLICATIVE Characteristic Additive Model Multiplicative Model Seasonal Variation Constant over time Varies with trend Suitable for Linear trends and stable seasonality Exponential growth or increasing seasonal effects Example Temperature Sales revenue

  8. METHODS OF ISOLATING TRENDS Free hand method Semi average method Method of moving averages Method of least squares

  9. t 1 2 3 4 5 6 7 8 9 10 11 12 13 14 15 16 Year Year 1 Quarter 1 2 3 4 1 2 3 4 1 2 3 4 1 2 3 4 Sales(1000s) 4.8 4.1 6 6.5 5.8 5.2 6.8 7.4 6 5.6 7.5 7.8 6.3 5.9 8 8.4 Year 2 Year 3 Year 4

  10. TIME SERIES ANALYSIS Consider a data of number of disk access for 50 database quires. Number of disk access for 50 database quries 140 120 100 80 60 40 20 0 1 2 3 4 5 6 7 8 9 10 11 12 13 14 15 16 17 18 19 20 21 22 23 24 25 26 27 28 29 30 31 32 33 34 35 36 37 38 39 40 41 42 43 44 45 46 47 4849 50

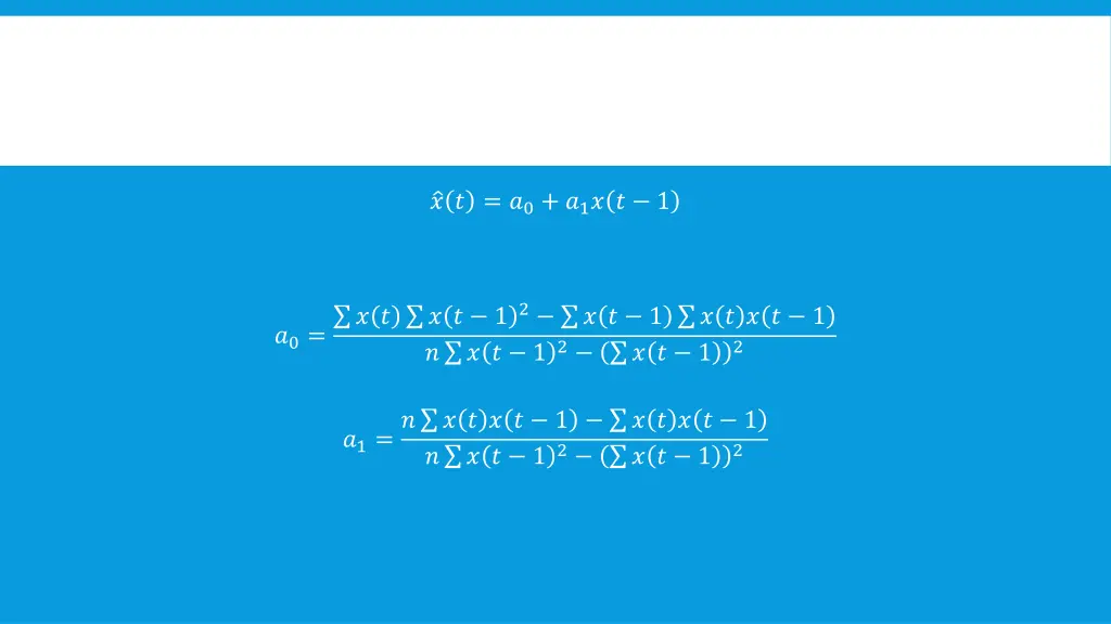
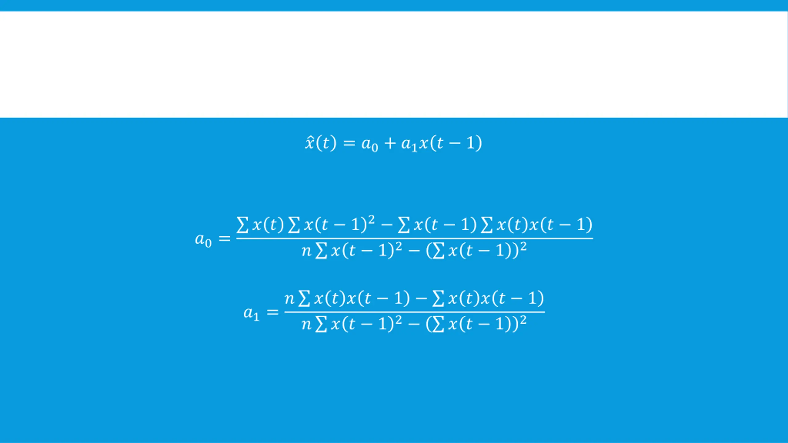
  11. AUTOREGRESSIVE MODEL Predict the variable as a linear regression of the immediate past value ? ? = ?0+ ?1? ? 1

  12. ? ? = ?0+ ?1? ? 1 + ?2? ? 2 + + ??? ? ? ? ? = ?0+ ?1? ? 1 + ?2? ? 2 + +??? ? ? + ? ?

  13. ? ? = ?0+ ?1? ? 1 ?0= ? ? ? ? 12 ? ? 1 ? ? ? ? 1 ? ? ? 12 ? ? 1 2 ?1=? ? ? ? ? 1 ? ? ? ? 1 ? ? ? 12 ? ? 1 2

  14. ? = 2 ? ? = ?0+ ?1? ? 1 + ?2? ? 2 + e ? ? ? ?2 ??? = ?=3 ? 2 ??? = ? ? ?0+ ?1? ? 1 + ?2? ? 2 ?=3 ???? ??0 ???? ??1 ???? ??1 = 0 = 0 = 0

  15. ? 2 ?0+ ?1? ? 1 + ?2? ? 2 = 0 ?=3 ? 2? ? 1 ?0+ ?1? ? 1 + ?2? ? 2 = 0 ?=3 ? 2? ? 2 ?0+ ?1? ? 1 + ?2? ? 2 = 0 ?=3

  16. ? 2 ? ? 1 ? ? 2 ? ? ?0 ?1 ?2 ? ? 12 ? ? 1 ? ? 1 ? ? 2 ? ? ? ? 1 = ? ? 22 ? ? 2 ? ? 1 ? ? 2 ? ? ? ? 2 1 ? 2 ? ? 1 ? ? 2 ? ? ?0 ?1 ?2 ? ? 12 ? ? 1 ? ? 1 ? ? 2 ? ? ? ? 1 = ? ? 22 ? ? 2 ? ? 1 ? ? 2 ? ? ? ? 2

Related


More Related Content