Understanding Trigonometric Functions of Acute Angles

trigonometric functions of acute angles n.w
1 / 13
Embed
Share

Explore the history, applications, and fundamental relations of trigonometric functions in this comprehensive guide by M. Jaya Krishna Reddy. Discover mnemonic devices, practical applications in fields like physics and astronomy, and proofs of fundamental trigonometric identities.

  • Trigonometry
  • Acute Angles
  • Mathematics
  • Applications
  • History

Uploaded on | 0 Views


Download Presentation

Please find below an Image/Link to download the presentation.

The content on the website is provided AS IS for your information and personal use only. It may not be sold, licensed, or shared on other websites without obtaining consent from the author. If you encounter any issues during the download, it is possible that the publisher has removed the file from their server.

You are allowed to download the files provided on this website for personal or commercial use, subject to the condition that they are used lawfully. All files are the property of their respective owners.

The content on the website is provided AS IS for your information and personal use only. It may not be sold, licensed, or shared on other websites without obtaining consent from the author.

E N D

Presentation Transcript


  1. TRIGONOMETRIC FUNCTIONS OF ACUTE ANGLES By M. Jaya krishna Reddy Mentor in mathematics, APIIIT-Basar, Adilabad(dt),A.P. India.

  2. Acute Angle Acute Angle: : An angle whose measure is greater than zero but less than 90 is called an acute angle ACUTE ANGLE T E R M I N A L R A Y o Initial ray

  3. hyp opp c b opp hyp b c A = = cos ec = = sin hyp adj adj opp c a a b c adj hyp opp adj a c b a = = sec = = cos b = = = = tan cot B C a Commonly used mnemonic for these ratios : Some Old Houses Can t Always Hide Their Old Age

  4. History: Trigonometric functions(also called circular functions) are functions of an angle. They are used to relate the angles of a triangle to the lengths of the sides of a triangle. Sumerian astronomers measure, using a division of circles into 360 degrees. The sine function was first defined in the surya siddhanta and its properties were further documented by the fifth century Indian mathematician and astronomer Aryabhatta . By 10th century the six trigonometric functions were used. introduced angle

  5. Applications Applications: : In 240 B.C. a mathematician named Eratosthenes discovered the radius of the earth as 4212.48 miles using trigonometric functions.. In 2001 a group of European astronomers did an experiment by using trigonometric functions and they got all the measurement, they calculate the Venus was about 105,000,000 km away from the sun and the earth was about 150, 000, 000 km away. Optics and statics are 2 early fields of Physics that use trigonometry. It is also the foundation of the practical art of surveying

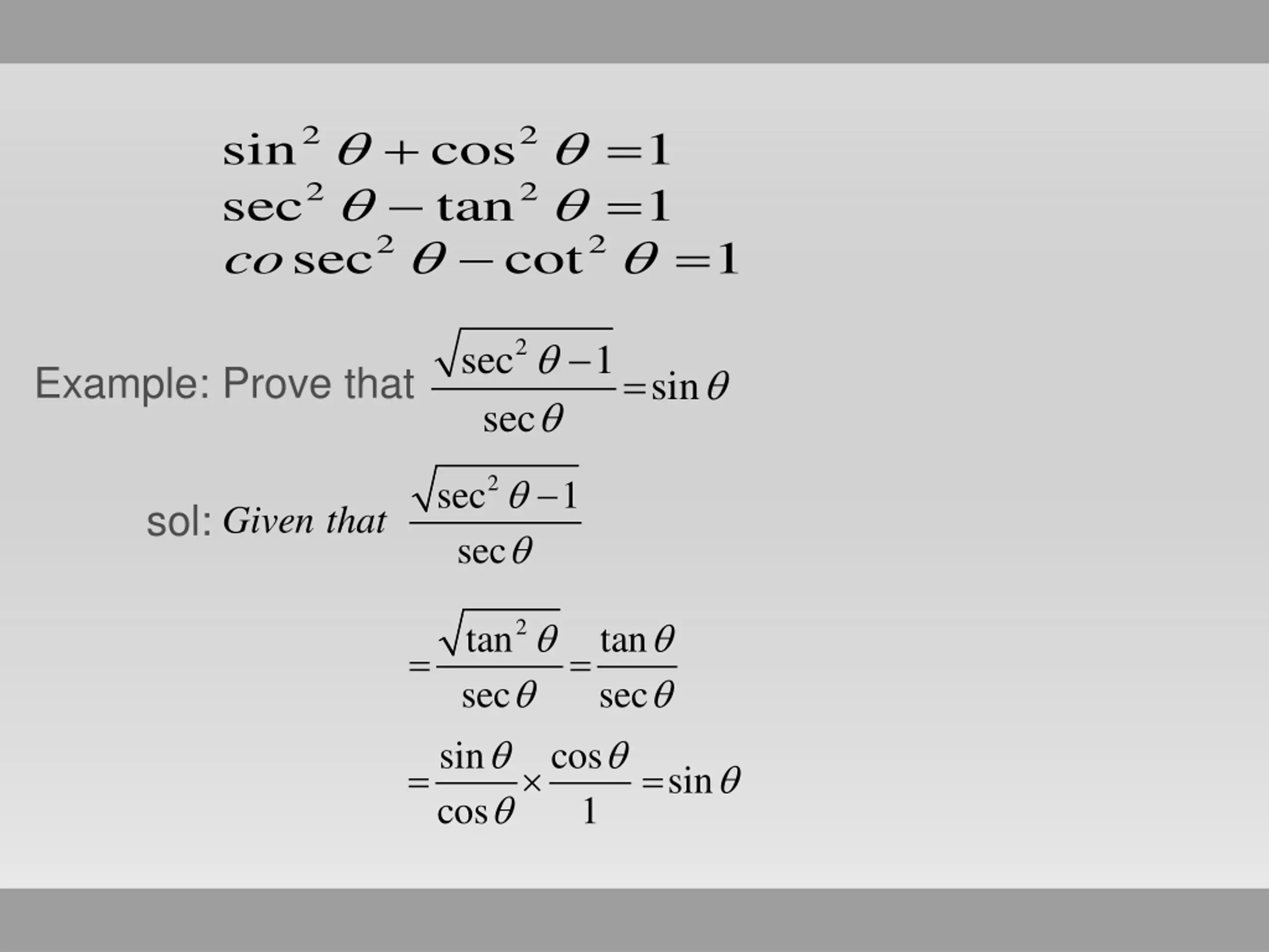
  6. cos .tan = 1. Prove that sin sin cos cos .tan = = cos . sin Sol: sin sec cos cosec = sin .cos 2. Prove that sin sec cos cos sin cos = Sol: 1 1 ec cos sin sin sin sin .cos sin .cos cos cos = =

  7. A Fundamental Relations: opp b hyp c = = sin c b adj hyp a c = = cos C B a Squaring and adding both the equations 2 2 b c a c From the above diagram, By Pythagorean Rule, + + = + 2 2 (sin ) (cos ) cos = + 2 2 2 b a c c = = = 1 2 2 c = 2 2 2 a b c + 2 2 sin 1

  8. A opp adj hyp adj b a c a = = tan c = = sec b Squaring and subtracting the equations, we get C B a 2 2 c a b a = 2 2 (sec ) (tan ) From the above diagram, By Pythagorean Rule, a b + = 2 2 2 c b a a = = = 1 2 2 a 2 2 sec tan 1 = 2 2 2 c = 2 2 sec cot 1 co Similarly,

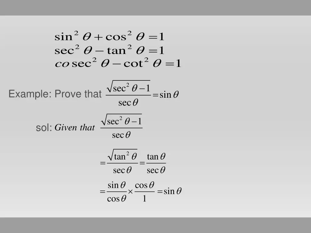
  9. + 2 = = 2 2 sin sec co cos tan 1 1 2 2 = 2 sec cot 1 2 sec sec 1 Example: Prove that = sin 2 sec sec 1 sol: Given that 2 tan sec sin cos tan sec = = cos = = sin 1

  10. Ex: Prove that sec2 - cosec2 = tan2 - cot2 Sol: We know that sec2 - tan2 = 1 = cosec2 - cot2 sec2 - tan2 = cosec2 - cot2 sec2 - cosec2 = tan2 - cot2 2 2 cos cos cos .cos A B A = 2 2 tan tan A B Example: Prove that 2 2 B 2 2 tan tan A B Sol: Given that = = 2 2 sec sec 1 (sec sec 1) A B 2 2 A B 2 2 1 1 cos cos cos .cos A B A = = 2 2 2 2 cos cos A B B

  11. Values of the trigonometrical ratios : 0 00 0 0 30 300 0 1 2 45 450 0 1 2 60 600 0 90 900 0 1 Sin 3 2 Cos 1 0 1 1 2 3 2 2 1 Tan 0 1 3 3 2 Cosec 2 1 2 3 2 Sec 1 2 2 3 1 Cot 1 0 3 3

  12. Example: find the value of tan450.sec300 - cot900.cosec450 Sol: Given that tan450.sec300 -- cot900.cosec450 2 3 Example: If cos = 3/5, find the value of the other ratios Sol: Given that cos = 3/5 = adj / hyp thus using reference triangle adj = 3, hyp = 5,by Pythagorean principle opp = 4 2 = 1 . -- 0. = 2 3 4 5 5 4 opp hyp hyp opp 5 3 hyp adj = = = = sin sec 5 3 4 adj opp = = cos ec = = cot 4 4 3 opp adj = = tan 3

  13. THANK YOU THANK YOU

More Related Content