
Viscosity: Key Concepts in Fluid Mechanics
Explore the fundamental principles of viscous fluids, including the Navier-Stokes equation, viscous stress tensor, and effects of viscosity on sound waves. Delve into the equations for motion of non-viscous fluids and viscosity effects in a comprehensive lecture series.
Download Presentation

Please find below an Image/Link to download the presentation.
The content on the website is provided AS IS for your information and personal use only. It may not be sold, licensed, or shared on other websites without obtaining consent from the author. If you encounter any issues during the download, it is possible that the publisher has removed the file from their server.
You are allowed to download the files provided on this website for personal or commercial use, subject to the condition that they are used lawfully. All files are the property of their respective owners.
The content on the website is provided AS IS for your information and personal use only. It may not be sold, licensed, or shared on other websites without obtaining consent from the author.
E N D
Presentation Transcript
PHY 711 Classical Mechanics and Mathematical Methods 10-10:50 AM MWF in Olin 103 Notes on Lecture 35: Chap. 12 in F & W Viscous fluids 1. Viscous stress tensor 2. Navier-Stokes equation 3. Example for incompressible fluid Stokes law 4. Viscous effects on sound waves => next time 11/15/2024 PHY 711 Fall 2024 -- Lecture 35 1
11/15/2024 PHY 711 Fall 2024 -- Lecture 35 2 2
11/15/2024 PHY 711 Fall 2024 -- Lecture 35 3
Equations for motion of non-viscous fluid N ew ton -Eul er eq uation f mo on: o t i v ( ) + = v v f p applied t Continuity equation: + ( ) ( ) = + = v v v 0 0 t t Add the two equa + t ion s: v ( ) ( ) + + v ( x ) = v v v v f p applied t t v jv 3 ( ) v = t 1 j j 11/15/2024 PHY 711 Fall 2024 -- Lecture 35 4
Equations for motion of non-viscous fluid -- continued Modified Newton-Euler equation in terms of fluid momentum: = ( ) ( ) v v x v 3 j + = f p applied t 1 j j ( ) ( ) v v x v 3 j + + = f p applied t = 1 j j v Fluid momentum: + Stress tensor: T vv p ij i j ij th component of Newton-Euler equation: v i ( ) T x 3 i j + = i f i t = 1 j j 11/15/2024 PHY 711 Fall 2024 -- Lecture 35 5
Now consider the effects of viscosity In terms of stress tensor: + = ideal ij T = viscous ij p + T T ij = ideal ij T ideal ji v v T i j ij As an example of a viscous effect, consider -- Newton's "law" of viscosity v y A Fx F = x x vx(y) y A x material dependent parameter 11/15/2024 PHY 711 Fall 2024 -- Lecture 35 6
Effects of viscosity Argue that viscosity is due to shear forces in a fluid of the v y A form: drag F = x Formulate viscosity stress tensor with tracel = + ess and diagonal terms: 2 3 v x v x ( ) ( ) viscous kl T v v k l kl k l l k bulk viscosity viscosity Total stres = = + deal kl T viscous kl T i s tensor: + T kl dea kl T i l k l v v p kl 2 3 v x v x ( ) ( ) = + visc kl T ous v v k l kl k l l k 11/15/2024 PHY 711 Fall 2024 -- Lecture 35 7
Effects of viscosity -- continued Incorporating generalized str v T t x = ess tensor into Newton-Eu ler e q u ations ( ) 3 ij + = i f i 1 i j ( ) ( ) v x v 2 v v t 2 3 3 3 1 3 v p x i j j + = + + + i f i i 2 j x x x = = = 1 1 1 j j j j i i j Continuity equ a tion ( ) v 3 j + = 0 t x = 1 j j Vector form (Navier-Stokes equation) + = Continuity equation + = v 1 1 1 3 ( ) ( ) + + + 2 v v f v v p t ( ) v 0 11/15/2024 t PHY 711 Fall 2024 -- Lecture 35 8
Newton-Euler equations for viscous fluids Navier-Stokes equation 1 t v 1 1 3 ( ) ( ) + = f + + + 2 v v v v p Continuity condition + Typical viscosities at 20o C and 1 atm: ( ) = v 0 t (m2/s) 1.00 x 10-6 14.9 x 10-6 1.52 x 10-6 1183 x 10-6 (Pa s) 1 x 10-3 0.018 x 10-3 1.2 x 10-3 1490 x 10-3 Fluid Water Air Ethyl alcohol Glycerine 11/15/2024 PHY 711 Fall 2024 -- Lecture 35 9
Example steady flow of an incompressible fluid in a long pipe with a circular cross section of radius R Navier-Stokes equation 1 p t v 1 1 3 ( ) ( ) + = f + + + 2 v v v v Continuity condition + Incompressible flu = 2 v v v Note that ( ) ( ) ( ) = v 0 t = v id 0 v = Steady flow 0 t = v Irrotational flow No applied force =0 0 f ( ) v = 2 Neglect non-linear terms 0 11/15/2024 PHY 711 Fall 2024 -- Lecture 35 10
Example steady flow of an incompressible fluid in a long pipe with a circular cross section of radius R -- continued Navier-Stokes equation becomes: 1 0 p ( ) Assu me that , p v r z p z p v r L = + v 2 R ( ) = v r z t v r L z v(r) = 2 ( ) (independent of ) z z p = Suppo se that L (uniform pressure gradient) = 2 ( ) z 11/15/2024 PHY 711 Fall 2024 -- Lecture 35 11
Example steady flow of an incompressible fluid in a long pipe with a circular cross section of radius R -- continued p v r L d dv r p r r dr dr L pr v r C r L = = = = 2 ( ) z 1 ( ) R = z 2 L = + + v(r) ( ) ln( ) C 1 2 z 4 2 pR + 0 ( ) 0 C C v R 1 2 z 4 L p L ( ) = 2 2 ( ) v r R r z 4 11/15/2024 PHY 711 Fall 2024 -- Lecture 35 12
Comment on boundary condition ( ) R zv R = 0 L Fluid approximately stationary at boundary v(r) R 11/15/2024 PHY 711 Fall 2024 -- Lecture 35 13
Example steady flow of an incompressible fluid in a long pipe with a circular cross section of radius R -- continued p L ( ) = 2 2 ( ) v r R r z 4 R Mass flow rate through the pipe: 4 dM dt p R R = = L 2 ( ) rdrv r v(r) z 8 L 0 Poiseuille formula; Method for measuring 11/15/2024 PHY 711 Fall 2024 -- Lecture 35 14
Example steady flow of an incompressible fluid in a long tube with a circular cross section of outer radius R and inner radius R p L = 2 ( ) v r z R 1 r dr ( ) dr d dv r p L R = z r 2 pr = + + L ( ) ln( ) C v r C r 1 2 z 4 L 2 pR = = + + ( ) 0 ln( ) C v R C R 1 2 z 4 L p 2 2 R L = = + + ( ) 0 ln( ) C v R C R 1 2 z 4 11/15/2024 PHY 711 Fall 2024 -- Lecture 35 15
Example steady flow of an incompressible fluid in a long tube with a circular cross section of outer radius R and inner radius R -- continued Solving for an d : C C 1 2 2 2 2 1 pR r R r R R = ( ) 1 ln v r R z 4 l n L L Mass flow rate through th e pipe: ( ) 2 2 1 4 dM dt p R R = = + 4 2 ( ) 1 rdrv r z 8 ln L R 11/15/2024 PHY 711 Fall 2024 -- Lecture 35 16
More discussion of viscous effects in incompressible fluids Stokes' analysis of viscous drag on a sphere of radius moving at speed in medium with viscosity : 6 D F Ru = R u ( ) u FD Plan: 1. Consider the general effects of viscosity on fluid equations 2. Consider the solution to the linearized equations for the case of steady-state flow of a sphere of radius R 3. Infer the drag force needed to maintain the steady-state flow 11/15/2024 PHY 711 Fall 2024 -- Lecture 35 17
Have you ever encountered Stokes law in previous contexts? a. Milliken oil drop experiment b. A sphere falling due to gravity in a viscous fluid, reaching a terminal velocity c. Other? 11/15/2024 PHY 711 Fall 2024 -- Lecture 35 18
Newton-Euler equation for incompressible fluid, modified by viscous contribution (Navier-Stokes equation): p t v ( ) + = + 2 v v f v applied Kinematic vis cosity Typical kinematic viscosities at 20o C and 1 atm: (m2/s) 1.00 x 10-6 14.9 x 10-6 1.52 x 10-6 1183 x 10-6 Fluid Water Air Ethyl alcohol Glycerine 11/15/2024 PHY 711 Fall 2024 -- Lecture 35 19
Stokes' analysis of viscous sphere a on drag of radius R moving = speed at u medium in with visc osity : ( ) 6 F Ru u D F FD Effects of motion on force drag of particle of mass m with constant force : F du 6 = = with ) 0 ( 0 F R u m u dt 6 R F t = ( ) 1 u t e m 6 R 11/15/2024 PHY 711 Fall 2024 -- Lecture 35 20
Effects of motion on force drag of particle of mass m with constant force : F du 6 = = with ) 0 ( 0 F R u m u dt u 6 R F t = F ( ) 1 u t e m FD 6 R u t 11/15/2024 PHY 711 Fall 2024 -- Lecture 35 21
Effects of drag force on motion of particle of mass with an initial velocity with (0) du R u mdt = m = and no external force u U 0 = 6 u 6 R t ( ) u t U e FD m 0 u t 11/15/2024 PHY 711 Fall 2024 -- Lecture 35 22
Recall: PHY 711 -- Assignment #21 Oct. 30, 2024 Determine the form of the velocity potential for an incompressible fluid representing uniform velocity in the z direction at large distances from a spherical obstruction of radius a. Find the form of the velocity potential and the velocity field for all r > a. Assume that for r = a, the velocity in the radial direction is 0 but the velocity in the azimuthal direction is not necessarily 0. 0 = = + In the present viscous case, we will assume that v(a)=0. 2 3 a ( ) , cos r v r 0 2 2 r 11/15/2024 PHY 711 Fall 2024 -- Lecture 35 23
This treatment follows Landau & Lifshitz, Fluid Mechanics Newton-Euler equation for incompressible fluid, modified by viscous contribution (Navier-Stokes equation): p t = v v ( ) + = + 2 v v f v applied Continuity equation: 0 v = Assume steady state: 0 t Assume non-linear effects small Initially set applied p = v = f 0; 2 11/15/2024 PHY 711 Fall 2024 -- Lecture 35 24
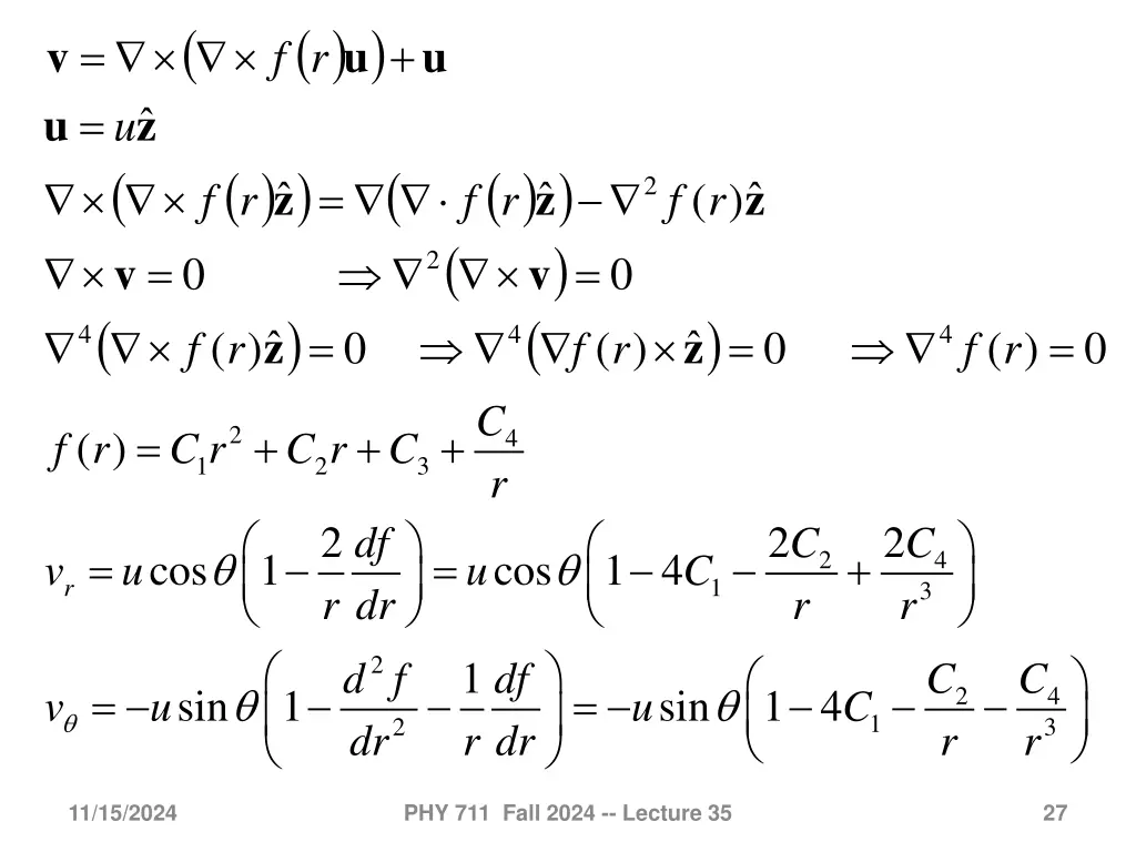
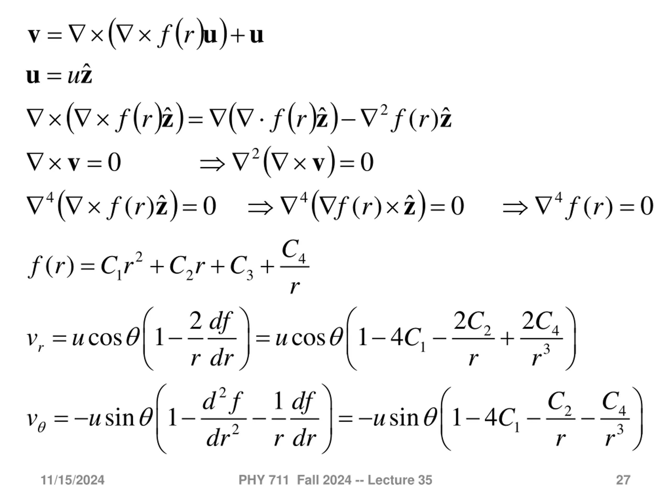
= 2 v p Take curl of both sides of equation: 0 p = = ( ) ( ) 2 v Assume (with a little insight from Landau): = + v u ( ) ( ) f r u where ( ) 0 f r r Note that: ( ) ( ) = 2 A A A 11/15/2024 PHY 711 Fall 2024 -- Lecture 35 25
Digression ( ) ( ) f r = + v u u Some comment on assumption: ( ) f r ( ) = 2 A A A ( ) ( = = = = A u Here ( ) ) ( ) = = 2 v A A 2 v Also note: p ( ) = 2 2 v v 0 or 0 p ( ) ( ) = 2 2 4 A A = 0 11/15/2024 PHY 711 Fall 2024 -- Lecture 35 26
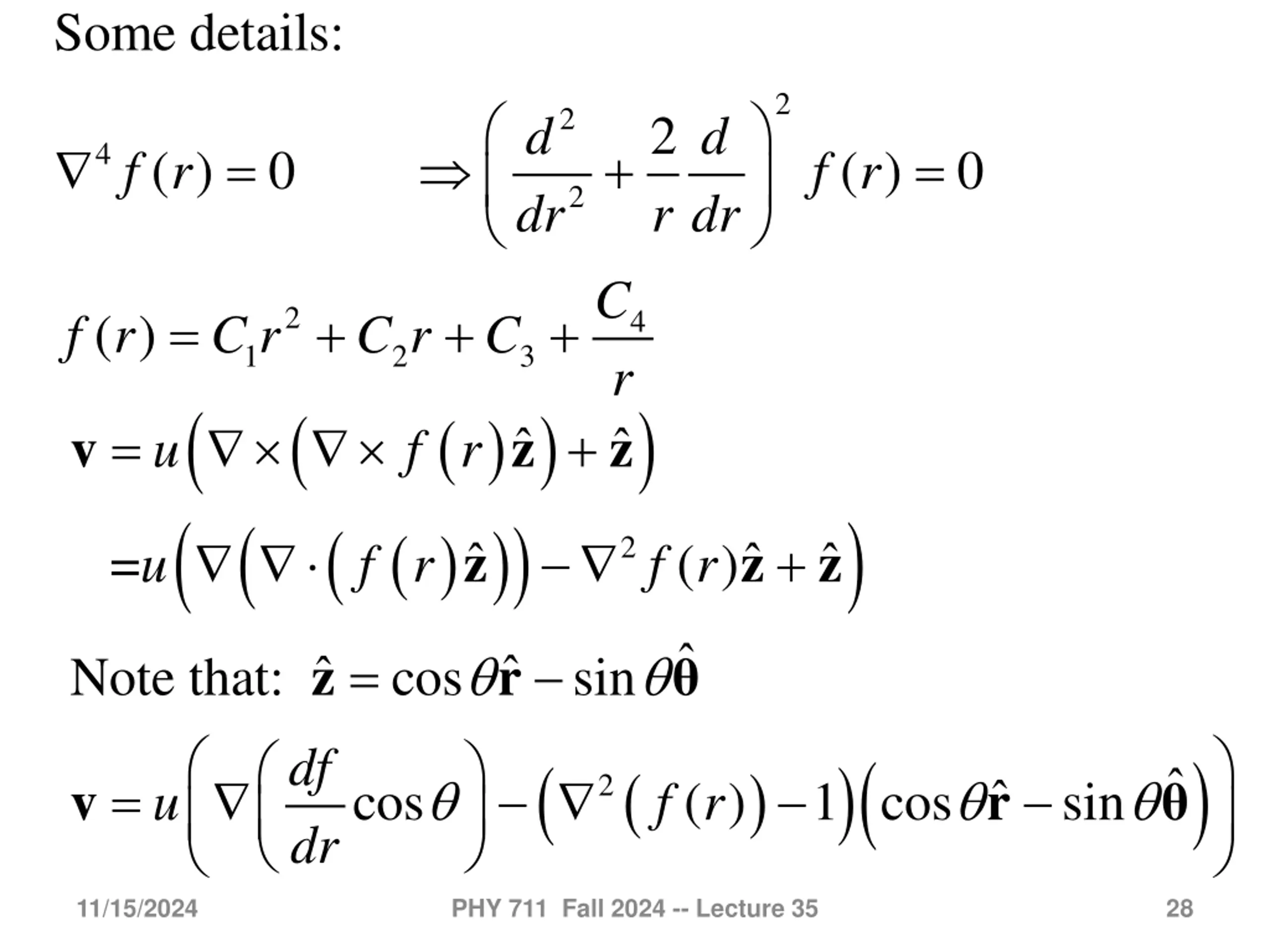
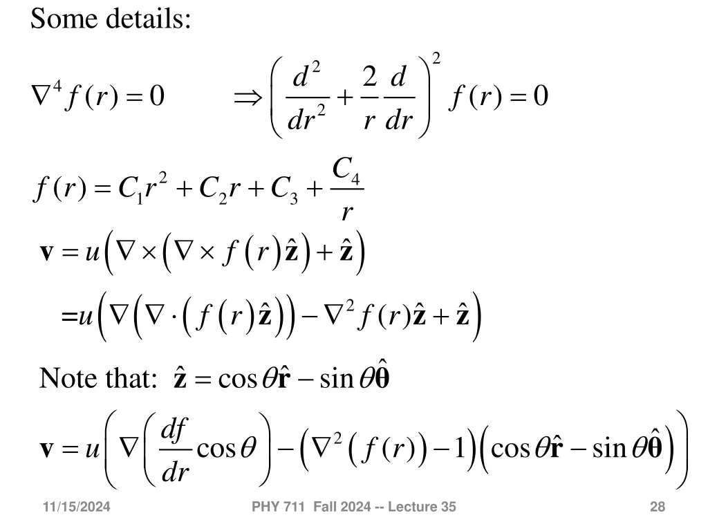
( ( ) r ) = u + v u u f = u z ( v ( ) 0 ) ( ( ) ) ) = 2 z z z ) r ( f r f r f ( = = 2 v = 0 ( ) ( ) C = = 4 4 4 z z ) r ( 0 ( ) 0 ( ) 0 f f r f r = + + + 2 ( ) f r C r C r C 4 1 2 3 r 2 r dr 2 2 df C r C r = = 1 4 + cos 1 cos v u u C 2 4 1 r 3 2 1 r dr d f dr df C r C r = = 1 4 sin 1 sin v u u C 2 4 3 1 2 11/15/2024 PHY 711 Fall 2024 -- Lecture 35 27
Some details: 2 2 2 r dr d dr d = + = 4 ( ) f r 0 ( ) f r 0 2 C r z = + + + ) 2 ( ) f r 4 C r C r C 1 2 3 ( ) ( ( ) f r = + v z u ( ) ( ) ( ) ( ) f r + 2 z z z = ( ) f r u = r z Note that: = cos sin )( ) df dr ( ( ) 2 r v cos ( ) f r 1 cos si n u 11/15/2024 PHY 711 Fall 2024 -- Lecture 35 28
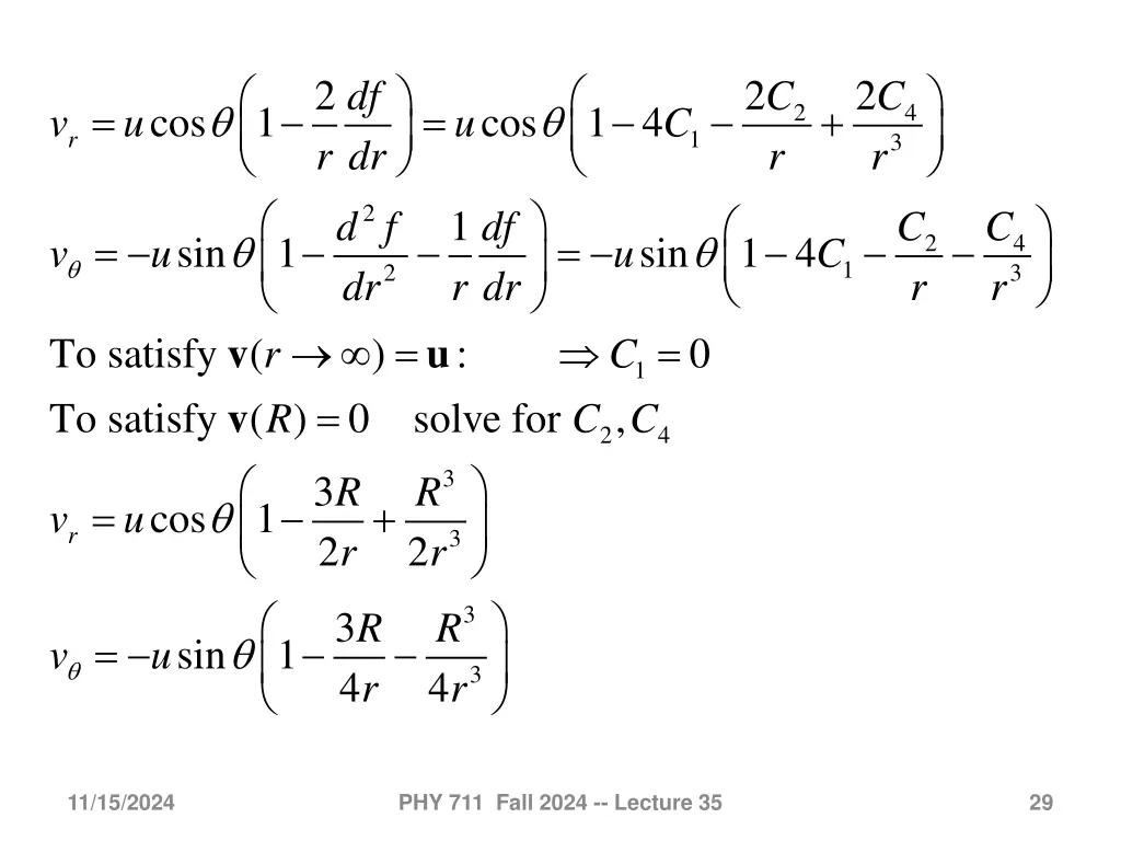
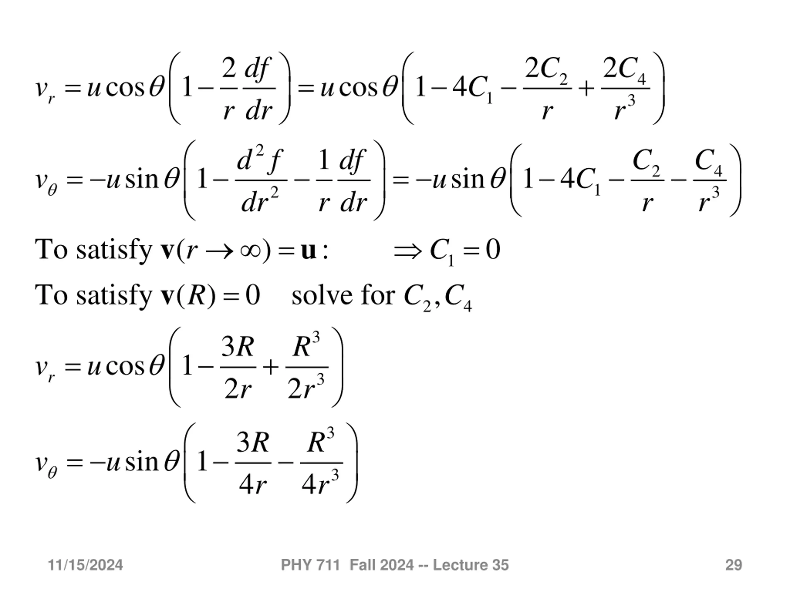
2 r dr 2 2 df C r C r = = 1 4 + cos 1 cos v u u C 2 4 1 r 3 2 1 r dr u d f dr df C r C r = = 1 4 sin 1 sin v u u C 2 4 3 1 2 = = = v v To satisfy ( To satisfy ( ) ) : 0 r R C 1 0 solve for , C C 2 4 3 3 2 R r R = + cos 1 v u r 3 2 r 3 3 4 R r R = sin 1 v u 3 4 r 11/15/2024 PHY 711 Fall 2024 -- Lecture 35 29
3 3 2 R r R = + cos 1 v u r 3 2 r 3 3 4 R r R = sin 1 v u 3 4 r Determining pressure: 3 2 R r = = 2 v cos p u 2 3 2 R r = ( ) p r cos p u 0 2 11/15/2024 PHY 711 Fall 2024 -- Lecture 35 30
3 2 R r = ( ) p r cos p u 0 2 Corresponds to: cos D F ( ) = = cos (6 2 ( ) p R 4 ) p R u R 0 ( ) F = D 6 u R u FD 11/15/2024 PHY 711 Fall 2024 -- Lecture 35 31