Advanced Organic Synthesis Methods: Oxidation Reactions Overview

Download Presenatation
topic oxidation ii n.w
1 / 14
Embed
Share

Explore the intricacies of oxidation reactions in organic synthesis, focusing on Sharpless Asymmetric Epoxidation and related mechanisms. Learn about the Nobel Prize-winning work of K. Barry Sharpless and the application of titanium isopropoxide catalysts. Dive into the enantioselectivity concepts and the Payne rearrangement for isomerization of epoxy alcohols. Discover the role of OsO4 in Sharpless Asymmetric Dihydroxylation for catalytic transformations in organic chemistry.

  • Organic Synthesis
  • Oxidation Reactions
  • Enantioselectivity
  • Mechanisms
  • Nobel Prize

Uploaded on | 5 Views


Download Presentation

Please find below an Image/Link to download the presentation.

The content on the website is provided AS IS for your information and personal use only. It may not be sold, licensed, or shared on other websites without obtaining consent from the author. If you encounter any issues during the download, it is possible that the publisher has removed the file from their server.

You are allowed to download the files provided on this website for personal or commercial use, subject to the condition that they are used lawfully. All files are the property of their respective owners.

The content on the website is provided AS IS for your information and personal use only. It may not be sold, licensed, or shared on other websites without obtaining consent from the author.

E N D

Presentation Transcript


  1. Topic: Oxidation (II) Study Material for M.Sc (P), Department of Chemistry Course Name: Methods in Organic Synthesis Paper Number: 202 Section: B (Group V and VI) Course Instructor: Dr Trapti Aggarwal 1

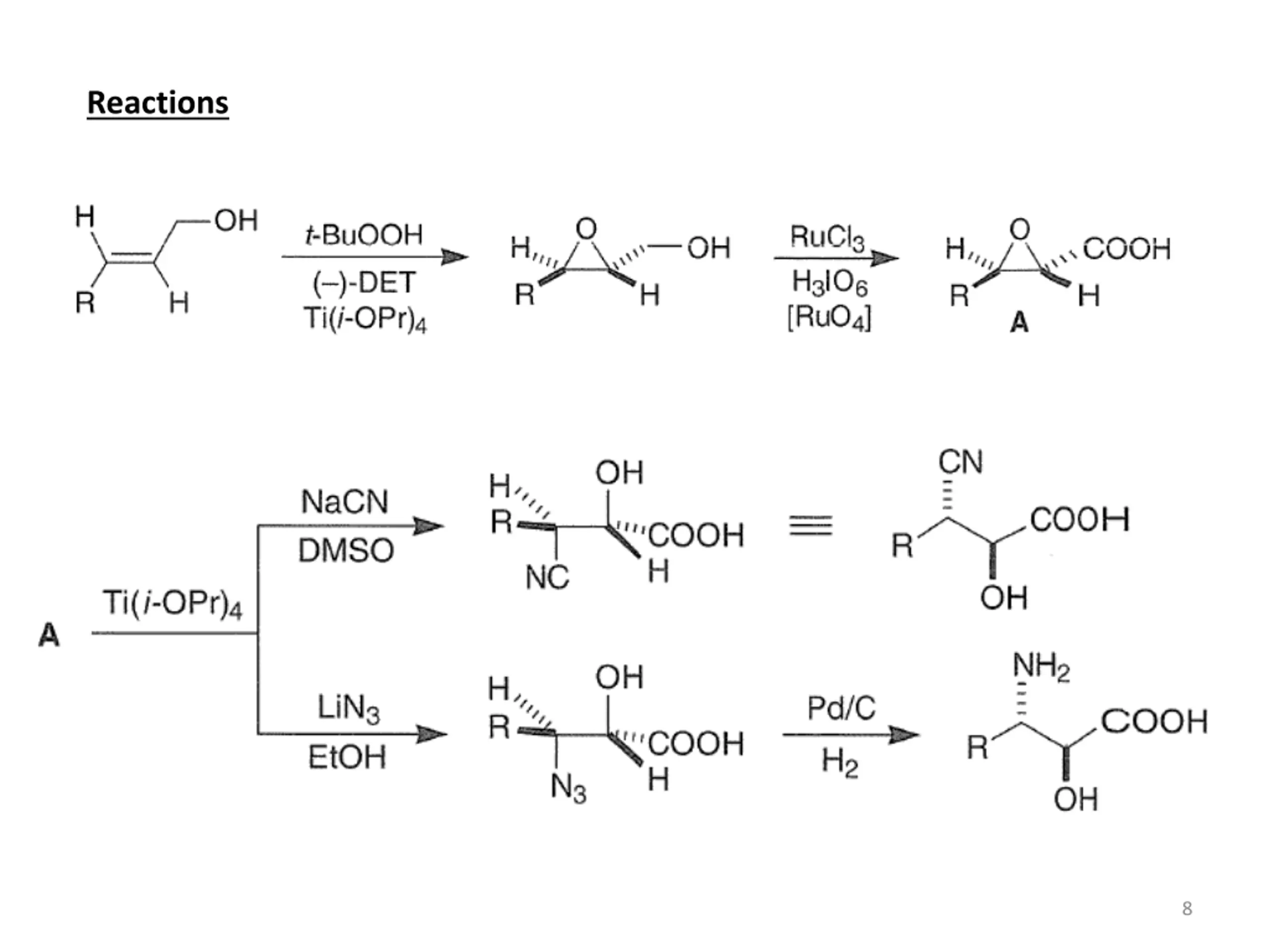
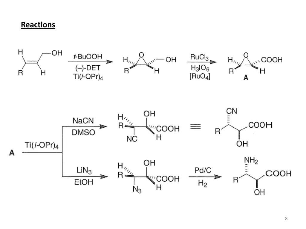
  2. Sharpless Asymmetric Epoxidation In 1980, T. Katsuki and K. B. Sharpless reported the sharpless symmetric epoxidation In 2001, the Nobel Prize in Chemistry was awarded to K. Barry Sharpless "for his work on chirally catalysed oxidation reaction. The Sharpless epoxidation is used for converting steroselectively allylic alcohol to an epoxy alcohol using a titanium isopropoxide catalyst, t-butyl hydroperoxide (TBHP), and a chiral diethyl tartrate (DET). 2

  3. The mechanism initiates with the displacement of the isopropoxide ligands on the titanium by DET, TBHP, and finally by the allylic alcohol reagent. Diethyl tartrate, the allylic alcohol, and the oxidant t-BuOOH displace the isopropoxide groups on titanium to form the active Ti-catalyst in a complex ligand exchange pathway Sharpless proposed that oxygen transfer occurs from a dimeric complex that has one tartaric ester moiety per titanium atom. 3

  4. When the oxidizing agent (t-BuOOH), is added to the mixture, it displaces one of the remaining isopropoxide ligands and one of the tartrate carbonyl groups. Because of the shape of the complex the reactive oxygen atom of the bound hydroperoxide has to be delivered to the lower face of the alkene and the epoxide is formed in high enantiomeric excess. 4

  5. Enantioselectivity in the Sharpless asymmetric epoxidation 5

  6. Reactions 1 2 3 4 6

  7. 5 The Payne rearrangement is the isomerization, under basic conditions, of 2,3- epoxy alcohols to isomeric 2,3-epoxy alcohols with inversion of configuration. 7

  8. Reactions 8

  9. Sharpless Asymmetric Dihydroxylation Catalytic amount of OsO4 can be used along with an oxidizing agent, for the conversion of alkene to racemic product. Sharpless group solve this problem by adding chiral substrate to the osmylation reagents, with the goal of producing a chiral osmate intermediate. The most effective chiral additives were found to be the cinchona alkaloids, such as DHQ and DHQD. 9

  10. Asymmetric Dihydroxylation The natural dihydroquinidine (DHQD) ester forces delivery of the hydroxyls from the top face Dihydorquinine (DHQ) esters deliver hydroxyls from the bottom face 10

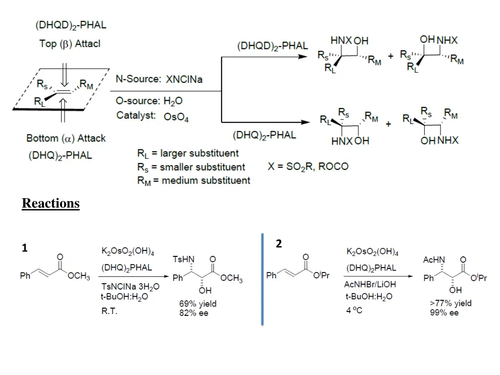
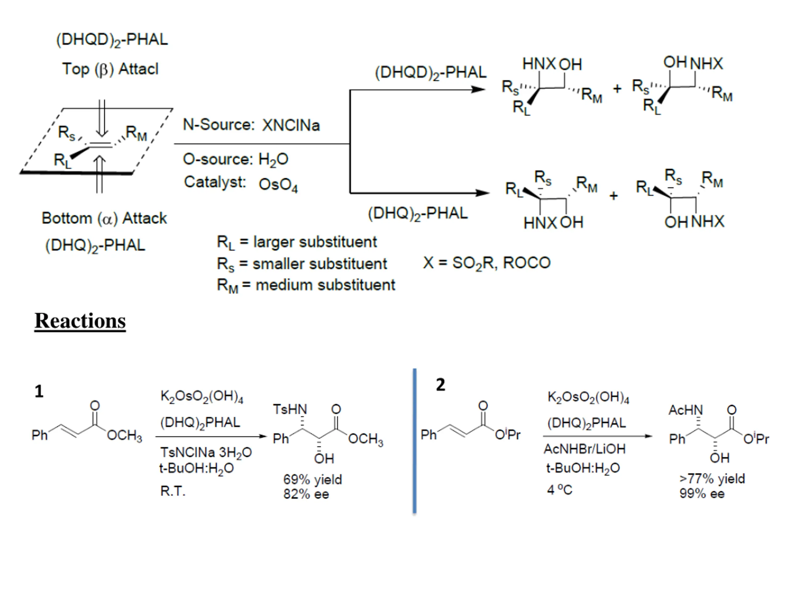
  11. Aminohydroxylation Similar to cis-1,2-dihydroxylation, in this process, alkene reacts with chloroamine in the presence of OsO4 to give sulfonamides that is readily converted into the cis- 1,2-hydroxyamines by cleavage with sodium in liquid ammonia but the major problem is the poor regioselectivity for unsymmetrical alkenes. Mechanism 11

  12. AsymmetricAminohydroxylation The asymmetric cis-1,2-aminohydroxylation of alkenes with chloroamine has been explored using the chiral osmium catalyst derived from OsO4 and cinchona alkaloids, dihydroquinidine ligands (DHQD)2-PHAL and dihydroquinine ligands (DHQ)2- PHAL. 12

  13. Reactions 2 1

  14. The usual selectivity of the Asymmetric Dihydroxylation reaction in described as: DHQD-based ligands will direct OsO4 to dihydroxylate from the top face of the double bond and DHQ-based ligands will direct it to dihydroxylate the bottom. The reason for this must, interaction of the substrate with the osmium ligand complex. The ligand forms the chiral pocket , like an enzyme active site, with the osmium sitting at the bottom of it.and alkenes can only approach the osmium if they are correctly aligned in the chiral pocket. The analogy with an enzyme active site goes even further, since it appears that part of the pocket is attractive to aromatic or strongly hydrophobic groups. This part appears to accommodate RL, which may leads to the selectivity in the dihydroxylation of trans-stilbene. 14

More Related Content