Closed Loop System in Process Control Course II Lecture 1
A comprehensive overview of closed loop systems in process control, distinguishing open loop vs. closed loop systems, components, variables, and transfer functions. Explore the concepts through detailed explanations, diagrams, and practical examples. Understand the significance of closed systems being under control, ensuring stability and desired outcomes. Dive into signal flow block diagrams for both open and closed systems, shedding light on regulators vs. servo loops.
Download Presentation

Please find below an Image/Link to download the presentation.
The content on the website is provided AS IS for your information and personal use only. It may not be sold, licensed, or shared on other websites without obtaining consent from the author.If you encounter any issues during the download, it is possible that the publisher has removed the file from their server.
You are allowed to download the files provided on this website for personal or commercial use, subject to the condition that they are used lawfully. All files are the property of their respective owners.
The content on the website is provided AS IS for your information and personal use only. It may not be sold, licensed, or shared on other websites without obtaining consent from the author.
E N D
Presentation Transcript
Process Control Course II Lecture 1 Closed Loop system
Outline 1- Open loop Vs closed loop system 2- Definition of closed loop system 3 -Variables in open loop and closed loop system 4- Components of closed loop system 5- Transfer function of closed loop 6- Regulator VS. Servo loop
Open loop VS. Closed loop system Open loop system In simple words Open system is the system which is not under control. It means that To will be changed if any change occurs in Ti or Q or m. As an example ,Let s take the CSTH(continuous stirred tank heater) m Ti cp Variables M m To cp Input variables output variables m Ti Q To Q Fig.1 CSTH (open loop system)
Transfer function of open loop Previously we discussed the transfer function of the CSTH and we found that ?? = ? ( ??,?,?) ?1 ?2 ?3 To = ?? + 1??+ ?? + 1? ?? + 1? The signal flow Block diagram (SFBD)is shown in Fig.2 ?1 Ti(s) ?? + 1 + + ?2 Q(s) To(s) 1 ?? + 1 - ?3 m(s) ?? + 1 Fig.2 SFBD for open system.
Closed loop system In simple words Closed system is the system which is under control. It means that To will remain constant if any change occurs in Ti or Q or m. Components of closed system m cp Ti 1- Process Temperature measuring element 2- measuring element M 3Comparator m cp To Process 4- Controller Steam in 5- Final Control Element (Control Valve) Q P E Tm Controller Final control element Control Valve Comparator Tsp Fig.3 Closed System.
Variables in Closed loop System Variables Load variables Controlled variable Manipulating variable m Ti Q To
Signal Flow Block Diagram (SFBD) for closed system Ti Load 1 + + m Load 2 Controlled variable Comparator + Q + P Tsp E + Control valve To Process Controller Set point - Tm Measuring element To Measured variable
Signal flow block diagram always written in terms of transfer function as below Ti ??1 + + m ??2 Controlled variable Comparator + Q + P Tsp E + To ?? ?? ?? Set point - Tm ?? Controller Transfer Function Valve Transfer Function ?? To Measured variable ?? Process Transfer Function ?? Measuring element Transfer function Load Transfer Function ?? ??
Transfer function of closed loop The transfer function of a closed system depends mainly upon Load variables and set point Type equation here.Referring to the previous example of CSTH, we can construct three transfer functions as follows ?1? =??(?) ,?2? =??(?) ?3? =??(?) ??(?) ? (?) , ???(?)
Ti (s) ??1 + + m(s) ??2 Controlled variable Comparator + Q + P Tsp (s) Set point E + To(s) ?? ?? ?? - Tm ?? To Measured variable ?1? =??(?) ??1 ??(?) = 1 + ???? ???? ?2? =??(?) ??2 ? (?) = 1 + ???? ???? ?3? =??(?) ???? ?? 1 + ???? ???? ???(?) =
Derivation of Transfer function of a closed loop system We try to derive the transfer function ?1? =??(?) ??(?) Note that the only input variable is Ti Ti (s) ??1 Z2 + + So, m and Tsp are both constants m=0 and Tsp=0 m(s) ??2 Z3 Controlled variable Z1 Comparator + Q + P Tsp (s) Set point E + To(s) ?? ?? ?? Z4 - ??? = ?1 + ?4 (1) Tm ?1 = ?3 + ?2 ?? Measured variable To Z1= ? ? .??2+ ??(?)??1 Z1= ? ? .??2+ ??? ??1 ??? ? ? = 0 ???????? Z1= ??? ??1 ..(2) Subs. Eq.(2) in (1) gives ??? = ??? ??1+ ?4 (3)
??? = ??? ??1+ ?4 (3) Ti (s) ??1 Z2 ?4 = ??? + ?4 = ????? + m(s) ??2 Z3 ?4 = ?????? E ?4 = ?????? ??? ?? ??? ???= 0 Controlled variable Z1 Comparator + Q + P Tsp (s) Set point E + To(s) ?? ?? ?? Z4 - ?4 = ?????? ?? . 4 Subs. Eq.(4) in (3) gives Tm ?? Measured variable To ??? = ??? ??1 ?????? ?? (5) ??? = ??? ??1 ??????????(?) ??? (1 + ????????) = ??? ??1 ??? ??? ??1 ?1? =??? ??1 = = 1 + ???????? ??? 1 + ???????? In the same way, we can derive the other two transfer functions. ?3? =??(?) ???? ?? 1 + ???? ???? ?2? =??(?) ??2 ???(?) = and ? (?) = 1 + ???? ????
Example 1: A closed loop system consists of the following items: - Process: ? ? = ? ? ? ,? ? ? ??? ? ? ?? ???? ???????? ??? ? ? ?? ???????????? ????????. ? ? = 3?+1? ? + 2 4 10?+1?(?) - Controller transfer function: ??? = 0.2 - Valve transfer function: ??? = 2 - Measurement transfer function: ??? = 1 2?+1 Construct the signal flow block diagram (SFBD) for the closed system. Solution X(s) 2 3? + 1 + Z + P ysp (s) Set point E + 4 y(s) 0.2 2 10? + 1 - ym y 1 2? + 1
Regulator VS. Servo loop Regulator Loop: It is a closed loop in which the load is varied and the set point is constant. Servo Loop: It is a closed loop in which set point is varied and the load is constant. Consider the closed loop shown below X(s) ??(?) + + P ysp (s) Set point Z E + y(s) ??(?) ??(?) ??(?) - y ym ??(?) For the regulator loop, the transfer function is ??(?) ? ? =?(?) ?(?)= 1 + ??(?)??(?)??(?)??(?) For the Servo loop, the transfer function is ?(?) ???(?)= ??(?)??(?)??(?) 1 + ??(?)??(?)??(?)??(?) ? ? =
Example 2 A close loop system in which the output variable ?? is function of both load variable?? and the set point ???. i.e. ??= ?(??,???). The system has the following elements with their transfer functions: 3 10?+1 Process : ??? = 1 Load : ??? = 10?+1 Measurement :??? = 1 Control Valve : ?? ? = 1.5 Controller : ?? ? = 2 a. Draw the block diagram for this closed loop. b. Find the transfer function if the system operates as servo. c. Find the transfer function if the system operates as regulator. d. Find the response, if a unit step change occurs in the load and sketch it.
Solution a. The block diagram is shown below 1 ?L (s) 10? + 1 + ?sp (s) + + 3 ?(s) 2 1.5 10? + 1 _ 1 b. Transfer function for Servo problem 3 (s) 2(1.5)( ? 10?+1)(1) = 0.9 10?+1) 3 ? ? = ?sp (s) = ?+1 1+2(1.5)(
c. Transfer function for Regular problem 1 ( 10? + 1) ?(s) ?L (s) = 1 0.1 ? ? = = 10(? + 1)= 3 (? + 1) 1 + 2(1.5)( 10? + 1)(1) d. For a unit step change in load of value =1, ??? =1 0.1 ?(?+1)= 0.1(1 ? ?) ? ??? = 1 0.1 ??(?) 0 ?
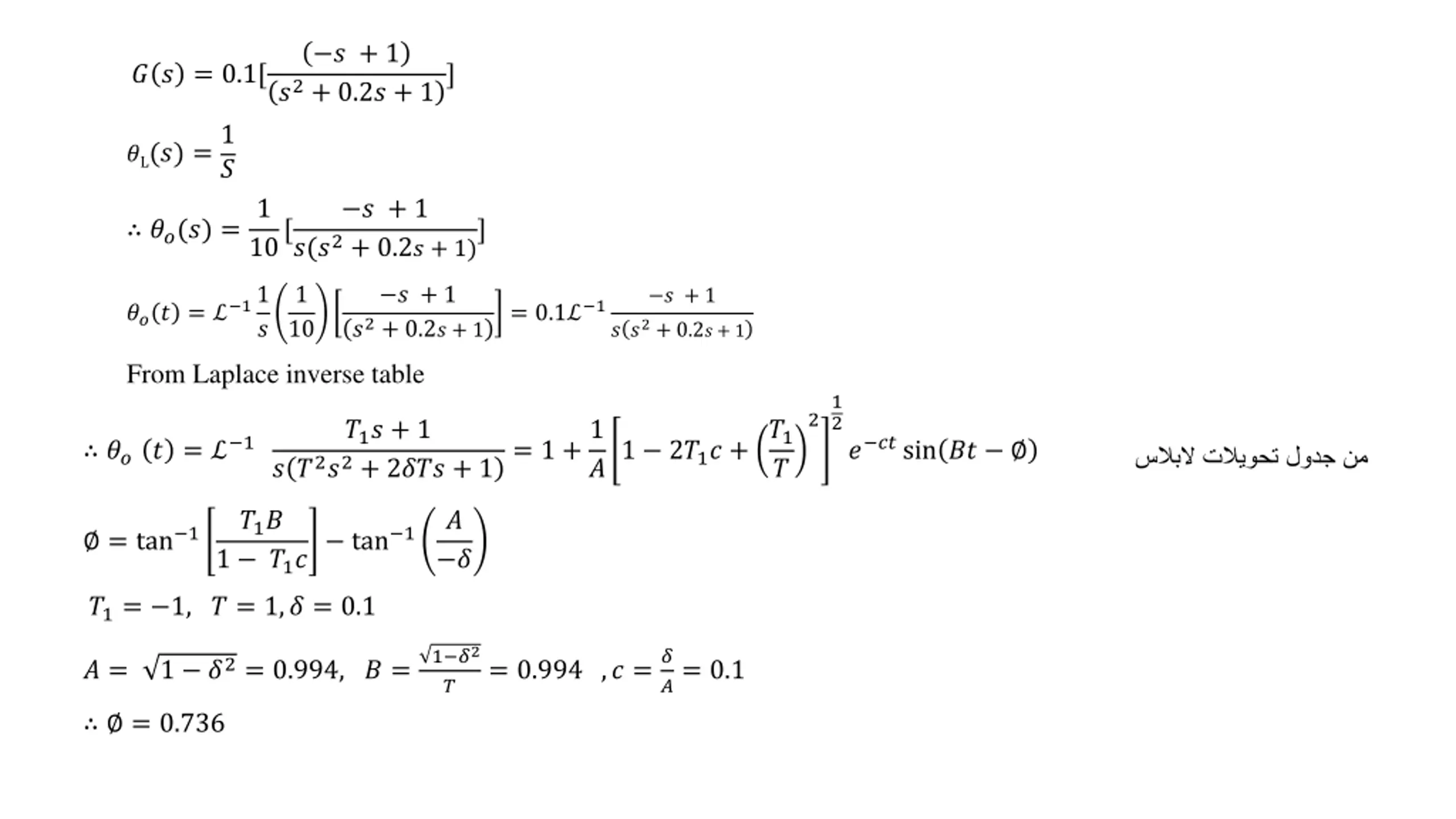
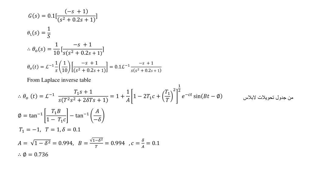
Example 3 A closed loop system has the following items; Process : ??? =3 ? 2? 10?+1 , Load : ??? =? 2? 10?+1 , Measurement: ??? = 1, Valve: ?? ? = 1.5 , ?? ? = 2 The output variable (controlled variable) ?? is function of load variable ?? and set point ??? , ??= ?(??,???). a. Draw the signal flow block diagram. b. Determine the system response for a unit step in load variable ? 2? 10? + 1 ?L (s) Solution + + ?sp (s) 3? 2? 10? + 1 ?(s) a. 2 1.5 + _ 1
a. The change occurs in load variable, so the system is regulator problem. ? 2? 10? + 1 ??? ??? = 1 + ??? .??? ??(?)??(?) ?L? ?L (s) + ? 2? 10? + 1 + ?sp (s) 3? 2? 10? + 1 ?(s) ? ? =??? 2 1.5 = + _ 3? 2? 10? + 1 ) ?L? 1 + 2(1.5)( 1 using pade approximation ? ??=1 0.5 ??? 1 0.5(2)? 1+0.5(2)?= 1 ? 1+? 1+0.5???= 1 ? ? 2? 10? + 1 1 + ?)(10? + 1 9( 1 ? 10? + 1 ? ? = = 1 +2 1.5 3 ? 2?1 10? + 1 1 + ? 1 +
? + 1 ?2+ 0.2? + 1] ? ? = 0.1[ ?L? =1 ? 1 ? + 1 ??(?) = 10[ ?(?2+ 0.2? + 1)] ??? = 11 1 ? + 1 ?2+ 0.2? + 1 ? + 1 = 0.1 1 ? ?2+ 0.2? + 1 ? 10 From Laplace inverse table 1 2 2 ?1? + 1 = 1 +1 ?1 ? ?? ? = 1 ? ??sin ?? ?1 2?1? + ? ?2?2+ 2??? + 1 ?1? ? = tan 1 tan 1 1 ?1? ? ?1= 1, ? = 1,? = 0.1 1 ?2 ? = 0.994 ,? =? 1 ?2= 0.994, ? = ? = ?= 0.1 = 0.736
1 2 2 1 1 1 2 ? (0.1)?sin 0.994? 0.736 ?? ? = 10[1 + 0.9941 2( 1)(0.1) + = 0.1 1 + 1.49? 0.1 ?sin 0.994? 0.736 ??? = 0.1 + 0.149 ? 0.1?sin 0.994? 0.736 o 0.1 0 t