
Multiplying Binomials and Special Products in Algebra
Explore the concepts of multiplying binomials and special products in algebra, including the difference of two squares, squaring binomials, and special product examples. Enhance your understanding of algebraic expressions and equations with visual aids.
Download Presentation

Please find below an Image/Link to download the presentation.
The content on the website is provided AS IS for your information and personal use only. It may not be sold, licensed, or shared on other websites without obtaining consent from the author. If you encounter any issues during the download, it is possible that the publisher has removed the file from their server.
You are allowed to download the files provided on this website for personal or commercial use, subject to the condition that they are used lawfully. All files are the property of their respective owners.
The content on the website is provided AS IS for your information and personal use only. It may not be sold, licensed, or shared on other websites without obtaining consent from the author.
E N D
Presentation Transcript
5.10 MULTIPLYING 5.10 MULTIPLYING BINOMIALS: SPECIAL BINOMIALS: SPECIAL PRODUCTS PRODUCTS Algebra Concepts Algebra Concepts
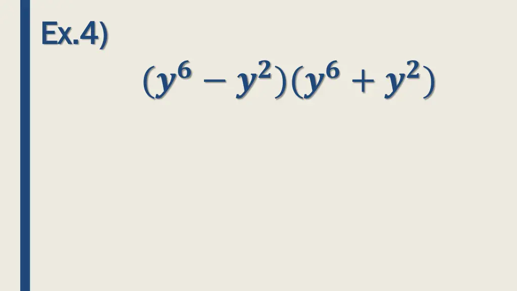
Difference of Two Squares Difference of Two Squares (A + B)(A (A + B)(A B) = A B) = A2 2 B B2 2 Square of the first minus square of the Square of the first minus square of the second second
Ex.1) Ex.1) (r + 2)(r (r + 2)(r 2) 2)
Ex.2) Ex.2) (2x + 3)(2x (2x + 3)(2x 3) 3)
Ex.3) Ex.3) (2x (2x3 3+ y)(2x + y)(2x3 3 y) y)
Ex.4) Ex.4) (?? ??)(??+ ??)
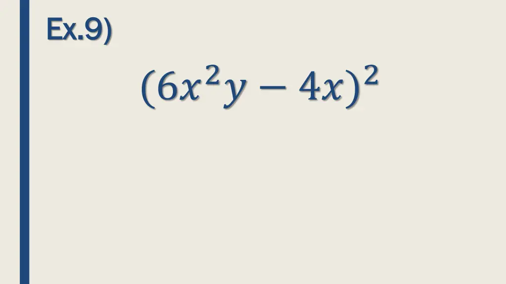
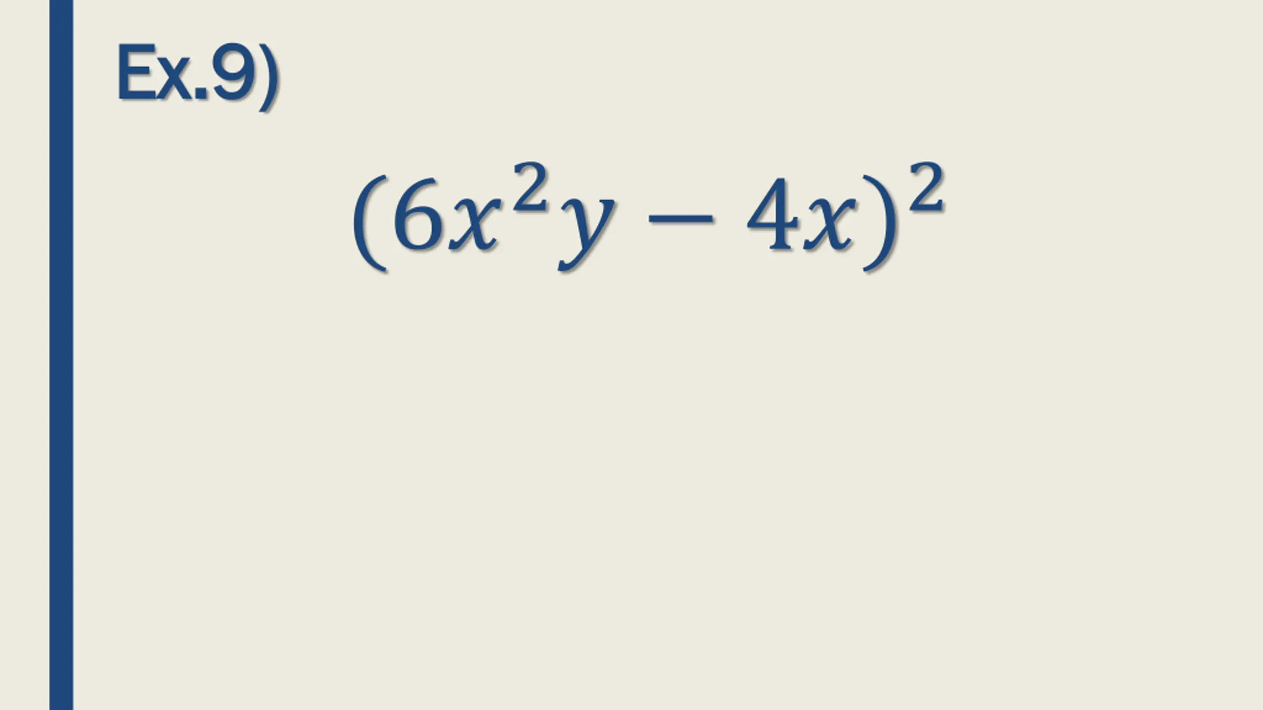
Squaring a Binomial Squaring a Binomial (? ?)2
EX. 5) EX. 5) (? + 2)2
EX. 6) EX. 6) (3? + 5)2
EX. 7) EX. 7) (5?2+ 4)2
EX. 8) EX. 8) (2? 3?)2
Ex.9) Ex.9) (6?2? 4?)2
Ex.10) Ex.10) (2?3 4?)2